4.2 运动学自行车模型(第四章 车辆的动态建模)
4.2 运动学自行车模型(The Kinematic Bicycle Model)
为了实现对车辆运动的有效控制,在第一阶段需要构建一个数字化运动模型。只有当所建模型精度越高时,在保证能够真实反映车辆特性的同时尽量设计得简单易操作才能使后续跟踪控制效果更好。自行车模型(Bicycle Model)是一种常用的车辆运动学建模方法。该方法基于以下基本假定:
- 忽略垂直方向(Z轴方向)上的运动作用;
- 无论何时左右车轮转向角度和转速完全相同;
- 忽略前后轴载荷变化的影响;
- 假设车身及悬架系统均为刚性结构;
- 以前轮驱动模式作为研究对象





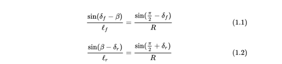
此处计算中, 课程进行了必要的简化, 运用了三角形中的正弦定理以及和差角公式. 具体推导过程如下: cos(a+b)-cos(a-b)= [cos(b)cos(a)-sin(b)sin(a)] - [cos(b)cos(a)+sin(b)sin(a)] = -2 sin(b) sin(a).
cos(a+b)+cos(a-b)=cos(b)cos(a)-sin(b)sin(a)+cos(b)cos(a)+sin(b)sin(a)=2cos(b)cos(a)
sin(a+b)-sin(a+b)=cos(b)sin(a)+sin(b)cos(a)-[cos(b)sin(a)-sin(b)cos(a)]=2sin(b)cos(a)
sin(a+b)+sin(a+b)=cos(b)sin(a)+sin(b)cos(a)+cos(b)sin(a)-sin(b)cos(a)=2cos(b)sin(a)
深入的推导过程可参考上述详细推导过程见 https://zhuanlan.zhihu.com/p/103834150

PPT中所展示的车速v需根据身体姿态进行具体分析。尽管每张图中都列出了三个v值,但在实际计算过程中,则应当以基于最终参考点(前后轮中心和质心)的速度值来进行计算。

其中A点即前轮位置,B即后轮位置;C即为车辆质心位置,O点则是OA和OB线段的交点,并且位于车辆的瞬时滚动中心处;线段OA和OB分别垂直于相应的滚动轮胎的方向;上述[公式]可称为滑移角(Tire Slip Angle),它对应着车辆行进方向与各滚动轮胎指向之间的角度关系;同样地,[公式]则可称为航向角(Heading Angle),它对应于车身相对于X轴的空间取向;



正弦定理:

和差角公式:




