《离散时间信号处理学习笔记》—连续时间信号的采样(三)
该博客以奥本海姆《离散时间信号处理》第三版为蓝本,在个人学习中起到了重要的辅助作用。主要目的是帮助作者巩固知识并深入理解相关理论体系。适用于希望深入掌握离散时间信号处理原理及其实现方法的学习者。通过详细的公式推导以及实际应用案例分析来加深理解。
一、,模拟信号的数字处理
在实际装置中

图4.1
一)、消除混叠的预滤波
在许多实际应用中, 采用离散时间系统来处理模拟信号, 通常希望系统的采样速率尽可能低. 因为在这种情况下, 所需进行的运算量与待处理样本数量成正比关系. 如果输入信号不是带限性或者其奈奎斯特速率过高, 则通常需要施加预滤波器来消除高频噪声分量.
2、为了避免产生混叠现象,则需确保输入信号被严格限制在所要求采样率一半频段内,并可在C/D转换器前安装低通滤波装置以实现这一目标(如图4.2)。这种设置于C/D转换器前的低通滤波装置则被称为抗混叠预处理装置。

图4.2
1)、在理想情况下,抗混叠滤波器的频率响应为

式4.1
2)、图4.1所示系统的总有效频率响应等于|\Omega| > \pi/T范围内的频带,并与从输入信号x_a(t)到输出信号y_r(t)的有效频率响应进行乘积运算的结果。通过联立公式(4.1)及其相关知识可获得

式4.2
在理想情况下针对抗混叠滤波器而言
然而,在实际应用中,并非理想情况下的带限响应;相反地,在|Ω|>π/T范围内将Haa(jΩ)被降到足够低的水平,则能有效降低混叠现象的发生。当考虑这一范围时,在图4.1所示系统中总频率会被近似计算为

式4.3
为了使超过π/T的部分变得微不足道,则必须从一开始就实施Haa(jΩ)特性的滚降策略;同样地,在这些频段上施加衰减是必要的。根据式(4.3),抗混叠滤波器所体现的这种特性表明,在离散时间系统设计中至少可以获得一定程度的部分补偿效果。
3、过采样A/D转换抗混叠滤波器

图4.3
二)、模拟到数字(A/D)转换
对于数字信号处理而言,在工程应用中常采用数值模拟的方法来实现连续时间(模拟)信号与离散时间(数字)信号之间的转换关系。图4.4所示的系统将输入的连续时间(模拟)信号按有限精度的方式进行采样和量化处理,并生成相应的离散时间序列。

图4.4
这种转换过程并非瞬间完成,在高性能的A/D系统中通常包含一个采样和保持环节(如图4.4所示)。理想的采样保持系统的输出为:

式4.4
式中

是x0(t)的理想样本,而h0(t)是零阶保持系统的冲激响应,即

式4.5
上式可以等效为

式4.6
这一理想采样保持系统相当于冲激串调制后跟零阶保持环节的线性滤波形式。
2、如图4.4所示的采样保持系统的目的是为了实现理想采样并维持样本值以便于A/D转换器量化处理。因此可以用图4.5所示的系统来替代图4.4所示的采样保持系统

图4.5
图中理想的C/D转换器表示是由采样保持完成的过程所实现的采样现象;而量化器与编解码器则协同作用于A/D转换器的功能。
三)、量化误差分析
1、一般量化样本

不同于样本的真值x[n]。其误差即为量化误差,定义为

式4.7
2、经过优化设计的一种简化的有用量化器模型如图所示。在构建量化模型中,量化误差样本被视为可叠加的噪声信号源。

图4.6
当一直e[n]未知时, 此时该模型与之完全等效, 即与该量化器一致。通常情况下, e[n]是未知的, 因此基于图4.6中的统计模型即可用来描述量化效应.
3、量化误差的统计表示式基于如下假设的:
1)、误差序列e[n]是不平稳随机过程的一个样本序列;
2)、误差序列与序列x[n]不相关;
3)、误差过程的随机变量是不相关的,也就是说,误差是一个白噪声过程;
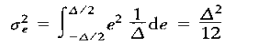
4)、误差过程的概率分布在量化误差范围内均匀分布的。
用于舍入样本值到最接近的量化电平而存在的量化器而言,在以下范围之内存在有量化的噪声幅度

式4.8
当Δ较小时,在区间[-Δ/2, Δ/2]内服从均匀分布的随机变量e[n]作为对小增量的假设是合理的。基于此,在量化噪声的一阶概率密度函数方面做出了上述假设,并如图4.7所示

图4.7
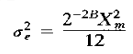
基于量化噪声统计模型,在不同类别的噪声样本之间建立不相关性的假定,并假定观测数据x[n]与误差信号e[n]之间也不存在相关性。被假定为服从均匀分布的理想白噪声序列的情况下,误差信号eⁿ具有零均值特性,并其方差未知。

式4.9
对于一个(B+1)位量化器,其满幅度值为Xm,噪声方差或功率为

式4.10
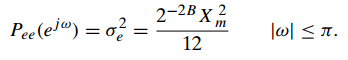
上式实现了对量化噪声的白噪声建模,因此量化噪声的自相关函数为

,且相应的功率谱密度为

式4.11
一个信号受到加性噪声和量化噪声影响的程度是一个常量;这个常量称为信噪比(SNR),它等于信号方差与噪声方差的比例。通常用分贝表示时,在这种情况下它的信噪比等于

式4.12
通过分析上述公式可知,在量化数据样本中增加一位平均码长后会使信噪比提升约6dB;特别需要注意的是式(4.12)中的各项。

式4.13
首先,Xm是量化器的一个参数,通常在一个世纪系统中是固定的。量

是信号幅度的均方根值,他一定小于信号的峰值幅度。
四)、D/A转换
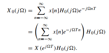
基于博里叶变换理论,在理想低通滤波器的作用下,通过从一个样本序列进行重构的过程可表示为

式4.14
始终X(ejw)为样本序列的离散时间博里叶变换,

为已重构的连续时间信号的博里叶变换。理想重构滤波器为

式4.15
对于

的这种选取xr(t)和x[n]之间的相应关系为

式4.16
该系统以序列x[n]为输入,产生输出为xr(t),称为理想D/C转换器。
2、一种目标型数字模拟转换单元由后接一个近似低通滤波器的D/A转换器构成,并参考图4.8

图4.8
一个D/A转换器将一个二进制代码自序列

作为输入,产生一个如下式所示的连续时间输出:

式4.17
值得注意的是,在一个采样周期内,D.A转换器按照与采样相同的模式,维持未经过量化处理的输入样本的状态。如果采用加性噪声模型来表征量化效应,那么方程(4.17)将变为

式4.18
为了简化讨论,定义

式4.19

式4.20
这样,是4.18就可以简写成

式4.21
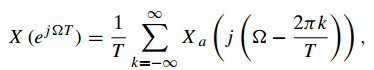
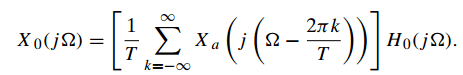
因为x[n]=xa(nT),所以信号分量x0(t)就与输入信号xa(t)有关。式4.19的博里叶变换为

式4.22
现在,因为

式4.23
所以就有

式4.24
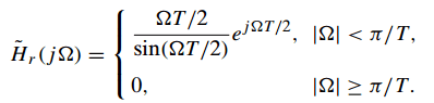
假设Xa(jΩ)在频率域内受限于π/T,则根据式4.24可知对应的频移分量将不会产生重叠。我们可以设计一个补偿重构滤波器H(z),其传递函数满足特定条件以实现信号不失真传输。

式4.25
当输入信号为x₀(t)时,则该滤波器输出对应的信号即为其采样点上的值xa(t)。其频率响应特性可通过以下公式进行详细推导:H_z(s)=\frac{\text{sin}(πT)}{πT}\cdot\text{δ}(t)

式4.26
因此这个补偿的重构滤波器为

式4.27
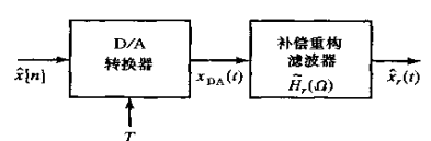
3、图4.8所示是一个D/A转换器紧跟着一个理想补偿重构滤波器。

图4.8
将理想补偿重构滤波器接在D/A转换器后面,则重构的输出信号为

式4.28
话句话说,输出为

式4.29
4、重新考虑一下图4.1(b)能够明白模拟信号数字处理系统的特性了。
1)、如果假设抗混叠滤波器的输出是带限到低于π/T频率以下,

也是同样具有截止特性的,并且离散时间系统具有线性时不变性质,则系统的总输出可表示为y(n)=\sum_{k=0}^{N-1} h(k)x(n-k)。

式4.30
这里

式4.31
式中,Haa(jΩ)、H0(jΩ)和

包括三种关键组件:anti-aliasing filter, zero-order hold in D/A converters, and the frequency response of the reconstruction low-pass filter. H(e^{jΩ}) represents the frequency response of a discrete-time system.
2)、类似的,假设由A/D转换到引入的量化噪声是方差

的白噪声,那么可以证明输出噪声的功率谱为

式4.32
这表明输入的量化噪声会受到离散时间与连续时间分阶段接收,并呈现阶梯式的变化影响。根据式4.31可知,在忽略混叠影响的前提下,从xc(t)到系统输出信号的变化过程能够得到相应的描述和分析。

总的有效频率响应应该为

式4.33
当该抗混叠滤波器具有理想特性时,在重构滤波器的设计中也采用了理想补偿方案,则其有效的频率响应可由公式(2)确定。然而,在这种情况下,则认为方程(33)能够合理地描述系统的有效频响。
