数字信号处理(2)- 连续时间信号的抽样
发布时间
阅读量:
阅读量
目录
1. 时域采样定理
1.1 时域采样问题的引入
1.2 理想时域采样过程
1.3 理想采样后信号在频域发生的变化
1.4 时域采样定理
1.5 采样定理的工程应用——抗混叠滤波器
1.6 带通信号的采样
2. 时域采样信号的恢复
3. 模拟信号的数字处理方法
4.你相信“眼见为实”吗?
1. 时域采样定理
1.1 时域采样问题的引入

问题:信号被采样后在频域会发生什么变化?
1.2 理想时域采样过程



理想采样为周期性冲激函数序列,采样后各幅度值等同于输入信号的采样瞬时值。
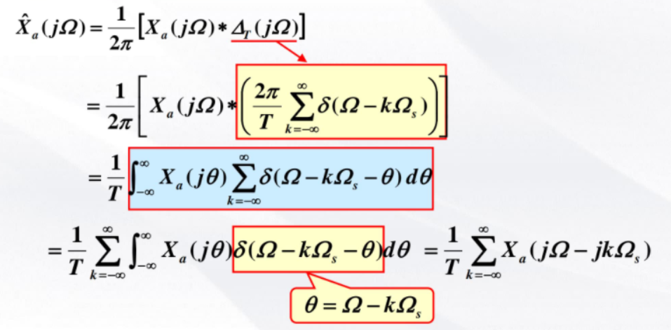
1.3 理想采样后信号在频域发生的变化


周期性冲激序列可以用 傅里叶级数展开,展开后的每一项可进行傅里叶变换(对于每一项采用频域特性的原理)。


冲激函数的性质。


1.4 时域采样定理




写成
是暗示以2π为周期的周期函数,因为
。
1.5 采样定理的工程应用——抗混叠滤波器

AD的采样速度越快,越能保留原始信息。



1.6 带通信号的采样

信号被调制出去了。

因为周期延拓,是由原图像整体延拓,正负
表示左右延拓
。

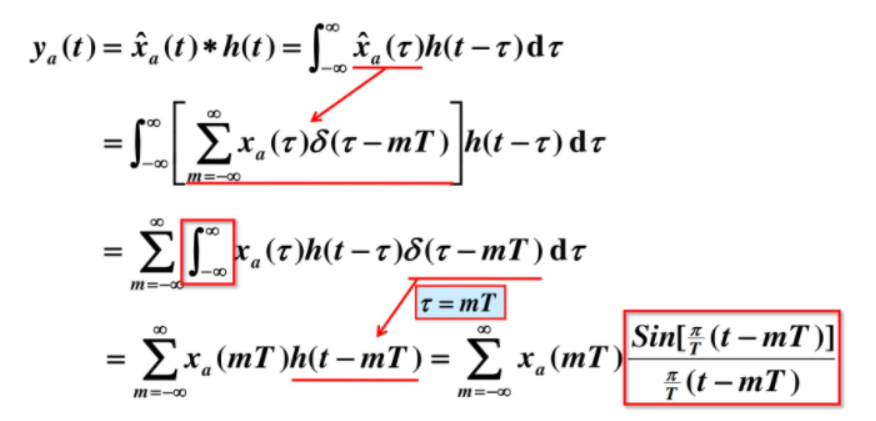
2. 时域采样信号的恢复





每个采样点挂着一个内插函数。

3. 模拟信号的数字处理方法




理想DA转换器

实际DA转换器

横坐标模拟频率若改数字频率,纵轴要乘以T
零阶保持相当于卷积
主瓣变形,增加旁瓣,再过一级平滑低通滤波器

采样间隔T变小时:
频域富余量变大,更平坦,主瓣失真更小。
4.你相信“眼见为实”吗?




因为sin里可加2



人眼视觉暂留的时间赶不上车轮的速度。
全部评论 (0)
还没有任何评论哟~

是暗示以2π为周期的周期函数,因为
。
表示左右延拓
。

