无人驾驶车辆的运动学与动力学建模
 发布时间 
 阅读量: 
 阅读量 
一、车辆运动学建模
车辆运动学建模参考《无人驾驶车辆模型预测控制》第一版内容。


二、车辆动力学建模
1、横纵向加速度
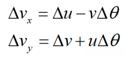
基于全局坐标系中,在两个相邻时间段内观察到的车辆速度变化情况可用以下方法进行分析研究;其中xoy即为该车自身的运动参考坐标系。

车辆沿着x、y方向的速度变化分别为:

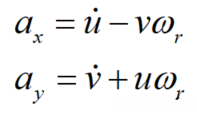
当角度变化较小、忽略高阶项 时,两个方向上的加速度:


2、车辆运动模型
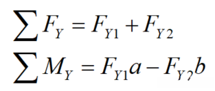
分析二自由度车辆侧向运动模型:

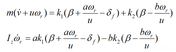
依据侧向力平衡和力矩平衡近似:

当转向角度较小时,
前后轴侧向力相当于轮胎侧面倾角α与侧面刚度k乘积的结果。
在轮胎坐标系内,
负值的横向力对应正值的方向位移。
质心处的纵向位移大致相当于以下公式所示:
\delta_{zC} \approx \frac{F_y}{m \cdot g}

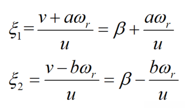
前后轮的速度方向与x轴的夹角近似为:

假设后轮不转动,前后轮的侧偏角:

结合侧向力与力矩平衡方程,侧纵向加速度方程:

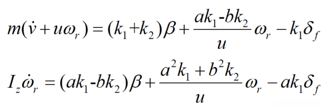
整理得:

以下是车辆动力学建模参考《汽车理论》第六版内容。



参考资料:
(1)《无人驾驶车辆模型预测控制》第一版——龚建伟,姜岩,徐威
(2)《汽车理论》第六版——余志生
(3)https://wenku.baidu.com/view/ccb0d12e524de518974b7d33.html
(4)https://wenku.baidu.com/view/38cd2b24af45b307e87197af.html
(5)[车辆动力学知识总结(三) 二自由度动力学模型_车辆二自由度模型-博客]( "车辆动力学知识总结(三) 二自由度动力学模型_车辆二自由度模型-博客")
全部评论 (0)
 还没有任何评论哟~ 
