无人驾驶车辆模型预测控制_【无人驾驶】车辆动力学模型及其验证、线性化、离散化...
一、动力学模型推导
车辆动力学模型在运动学模型的基础上进行外延,将车速进行提高,结合轮胎纯侧偏特性,忽略横纵向力的耦合关系,由此得到的车辆的动力学模型。

在车辆坐标系下,质心速度v在x轴和y轴上的分量为
和
,由于车辆行驶时,不仅在做平动,还在绕某一瞬轴做转动,在
时刻,车辆坐标系中质心速度v的大小和方向相对于t时刻均发生变化,此时车辆坐标系相对于大地坐标系的位置和方向也都发生了变化。在
时刻相对于t时刻的车辆坐标系下,
时间内
和
的变化量分别为:

考虑
很小,做出如下假设(15°以内,根据实际计算可以放大):
同时忽略二阶微量,
时间内
和
的变化量分别为:

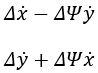
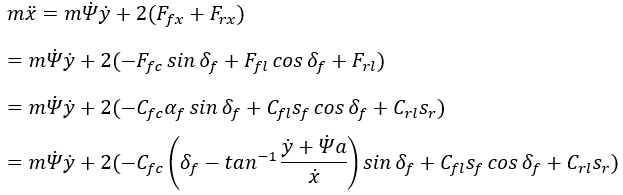
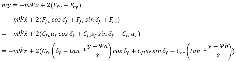
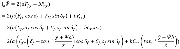
因此,在车辆坐标系下,沿x轴和y轴速度的变化率即沿x轴和y轴的加速度为:

其中
和
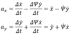
是一个惯性加速度,也称为科里奥利加速度,对应的力也称为科里奥利力。因此,在车辆坐标系下,沿x轴、y轴的平衡方程以及绕z轴转动的平衡方程为:


将前、后轮沿x轴和y轴的力分解为前、后轮轮胎的侧向力和纵向力,得:

前轮侧向力在x轴上的分量始终为负,因此在前增加负号纠正车轮转角正负的影响,上式参数均为矢量。
轮胎的侧向力和纵向力与轮胎的侧偏/纵向刚度、侧偏角/滑移率、地面摩擦系数、垂直载荷有关,在确定的车辆和地面,可以认为侧向力和纵向力有如下关系:

其中:
、
为前、后轮侧偏刚度;
、
为前、后轮纵向刚度;
、
为前、后轮侧偏角;
、
为前、后轮滑移率。

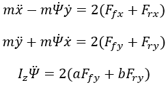
前、后轮侧偏角可以根据速度得正切值求得。由于前轮为转向轮,实际上侧偏角的大小为前轮转角和速度正切值的差值:

其中:
、
为前轮速度沿车辆坐标系x轴、y轴的分量;
、
为后轮速度沿车辆坐标系x轴、y轴的分量;由于车辆为一个整体,则x轴方向上各点的速度相同。在y轴方向上,根据车辆横摆角速度的方向,前、后轮相对质心处的y轴方向的速度为角速度与距质心距离的乘积,相对瞬心的y轴方向的速度则再加上质心相对瞬心的y轴方向的速度:

将上式带入侧偏角公式,得前、后轮侧偏角为:

结合上述关系式可以得到如下关系:



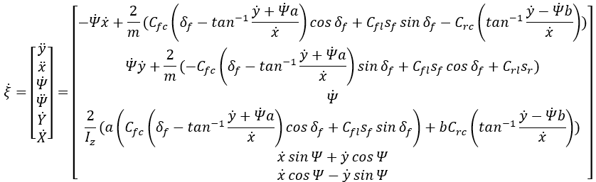
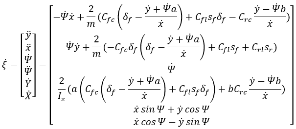
在大地坐标系下,车辆沿X轴、Y轴方向的速度为:

令控制量、状态量分别为:

可以得到:

至此车辆动力学模型推导完毕。
二、小角度简化
在小角度下,上式可以简化为:

三、动力学模型验证
由Carsim输出车辆横纵向速度及横摆角速度至simulink模块,验证其准确性。Carsim输出量如下:

纵向车速保持60km/h,转角输入如下:

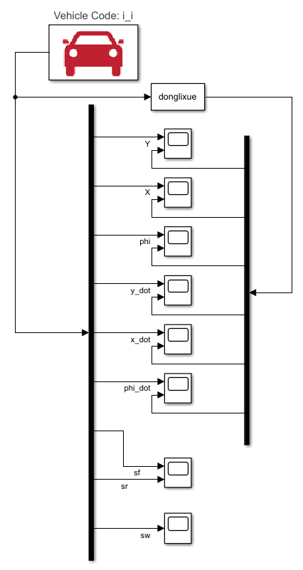
simulink模型如下:

s-function代码如下:
    function sys=mdlUpdate(t,x,u)%% 车辆参数tt=0.05; % 采样时间cfc=66900; % 此处轮胎刚度借用《无人驾驶车辆模型预测控制》中的刚度参数cfl=66900;crc=62700;crl=62700;sf=u(7); % 前后轮滑移率sr=u(8);a=1.015; % 前轮到质心的距离b=1.895; % 后轮到质心的距离iz=1536.7; % 转动惯量m=1270; % 质量sw=u(9)/18*pi/180;%% 动力学模型Y=x(1);X=x(2);phi=x(3);y_dot=u(4)/3.6;x_dot=u(5)/3.6;phi_dot=u(6);Y_dot=x_dot*sin(phi*pi/180)+y_dot*cos(phi*pi/180);X_dot=x_dot*cos(phi*pi/180)-y_dot*sin(phi*pi/180);x(1)=Y+Y_dot*tt;x(2)=X+X_dot*tt;x(3)=phi+phi_dot*tt;y_dot=x(4)/3.6;x_dot=x(5)/3.6;phi_dot=x(6)*pi/180;dy_dot=-x_dot*phi_dot+2/m*(cfc*(sw-(y_dot+a*phi_dot)/x_dot)+cfl*sf*sw-crc*(y_dot-b*phi_dot)/x_dot);dx_dot=y_dot*phi_dot+2/m*(-cfc*sw*(sw-(y_dot+a*phi_dot)/x_dot)+cfl*sf+crl*sr);dphi_dot=2/iz*(a*cfc*(sw-(y_dot+a*phi_dot)/x_dot)+a*cfl*sf*sw+b*crc*(y_dot-b*phi_dot)/x_dot);x(4)=x(4)+dy_dot*tt*3.6;x(5)=x(5)+dx_dot*tt*3.6;x(6)=x(6)+dphi_dot*tt*180/pi;sys = x;
    
        仿真结果如下(蓝线为carsim输出值,红线为计算值):



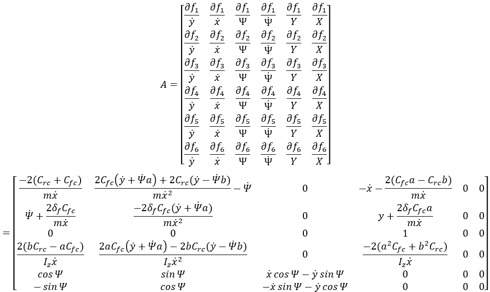
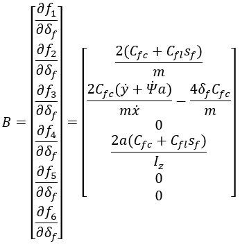
四、线性化
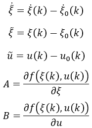
与运动学模型线性化类似,考虑系统某个工作点为
,
为施加
控制后得到的系统状态量,存在如下一阶线性微分方程:

在点
处进行泰勒展开,忽略二阶及以上高阶项,得:

令:

可得:

其中:


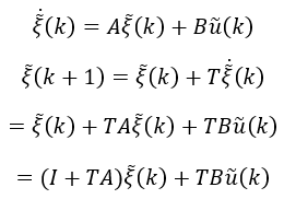
五、离散化

六、延伸
牵连运动、科里奥利力、科里奥利加速度、轮胎横向模型、轮胎纵向模型、魔术公式。七、个人理解
从仿真结果的结果来看,动力学模型对于横纵向速度的计算并不是很准确,从carsim的动画来看,整车的姿态变化比较小,考虑从轮胎刚度及滑移率上进行修正尝试。另外在大角度转弯下,动画中车身的姿态的变化已经较为明显,此时上述模型已经不在适用,因此,简化后的模型其实对前轮转角的大小及变化率要求比较严格。
在轮胎刚度的计算时,从carsim中轮胎曲线用魔术公式反推轮胎刚度,偏差比较大,因此直接借用了书中的轮胎尺寸及刚度,后续计划轮胎单独进行展开。之后的更新计划是在上述模型的基础上,进行LQR和MPC算法的应用,之后是EPS系统的“小插曲”,随后就是LKA等的展开。
个人微信号:wxheizhicn,欢迎交流学习~
