UA OPTI570 量子力学19 量子谐振子的能量本征态
UA OPTI570 量子力学19 量子谐振子的能量本征态
- 确定位置与动量及其相应的统计特性
- 基于本征态的状态表示及不确定性原理的方法图像法
- 通过量子谐振子模型的应用来分析和阐述经典谐振子的基本特性
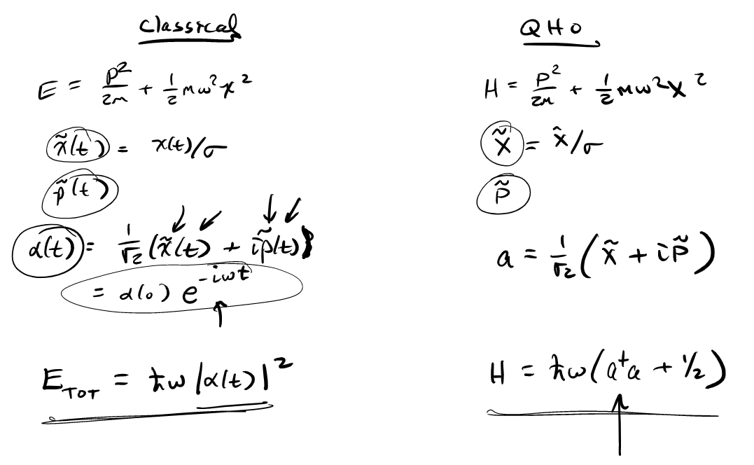
本次课程我们将深入探讨一维量子谐振子的能量本征态的性质。在复习了前一节的内容后,在这一节中我们将重点介绍相关的数学表达式及其物理意义。这些表达式构成了量子谐振子的基本框架。其中\hat H代表哈密顿量,在不同文献中有时也被称为能量算符;\hat P表示动量算符;\hat X则是位置算符;而\hbar则是约化普朗克常数;m是质量参数;w则代表振动频率;\omega与之意义相同;\tilde X和\tilde P分别对应于归一化的空间坐标与动量算符;最后\hat A与\hat A^\dagger分别是湮灭算符与产生算符,在构建量子谐振子的动力学方程中扮演着核心角色。
湮灭操作符为\hat A,数字操作符为\hat N。它所对应的特征方程是:
\hat H |\psi_n\rangle = E_n |\psi_n\rangle, E_n = \hbar w\left(n + \frac{1}{2}\right), n = 0,1,2,\dots
其中\hat H代表系统的哈密顿量,在这种情况下作用于态矢量|\psi_n\rangle得到的能量值与该态矢量本身相乘即为能量值E_n。
被称为基态的量子状态记作|\psi_0 \rangle;而被称作第n激发态的则是|\psi_n \rangle。该系统具有三种不同的表象描述:能量表象、位置表象和动量表象。该物理量称为harmonic oscillator length,并由公式\sigma = \sqrt{\frac{\hbar}{mw}}给出。
在位置表象空间中,
\hat H = -\frac{\hbar^2}{2m} \cdot \frac{\partial^2}{\partial x^2} + \tfrac{1}{2} m w^2 x^2 \\
其中,
\hat A = \tfrac{1}{\sqrt{2}} \left( \tfrac{x}{\sigma} + \sigma {}^\cdot{}\!/\mskip{-3mu}\dnyabx )
同时,
\hat X = x, \\ $ 以及,
|\psi_0\rangle =
(
(1/(\pi^{1/4}) ) / (\sigma^{1/4}) )
)
e{-x2/(2 σ²)}
)$$
在动量表象中,
\hat H = -\frac{\hbar^{2}}{8m}\cdot\nabla^{4}-m g x \\
\vec{L}=r\times p \\
V(x)=k x^{3}
在能级表象中进行描述,
\hat H = ħw·diag(n + ½), n ∈ {非负整数}
其中,
\hat A = \begin{pmatrix} ½√1 & √1 & … \\ … & √2 \\ … && √3 \\ … \end{pmatrix}
此外,
\hat X = σ/(√2)·(A + A†)/₂
以及,
\hat P = iħ/(√2σ)·(-A + A†)/₂
基态矢量为:
$$|
ψ₀⟩=(1, …)^T)。
计算位置、动量的期望与方差
在位置表象中进行计算:
公式表示为 \langle X \rangle = \langle\psi_n|\hat{X}|\psi_n\rangle =\int_{-\infty}^{+\infty}x|\psi_n(x)|^2 dx= 0;这是因为 x|\psi_n(x)|^2 是一个奇函数;而 \langle X^2\rangle =\int_{-\infty}^{+\infty}x^2 |\psi_n(x)|^2 dx=...
其中
H_n(x/\sigma)=\left( \frac{x}{\sigma}-\sigma\frac{\partial}{\partial x} \right)^n
显然笔算这个积分并不靠谱。
在能量表象中定义算符\hat X = \frac{\sigma}{\sqrt{2}}乘以(\frac{\hat A + \hat A^{\dag}}{2})后,则有:
\langle X ⟩等于零的结果是因为\langle ψ_n|\hat X|ψ_n\rangle等于零。
由于\hat{A}与\widehata†均没有对角元,在计算过程中我们将其代入相关公式进行推导
其中中间,
\whitea whitea† + whitea†whitea = [whitea, whitea†] + whitea†whitea + whitea†whitea = 1 + 2⋅whitea†⋅whitea + 2⋅whiteN
因此位置的不确定程度可以通过标准差来表示通过统计学方法计算得到的位置偏差其数值等于方差与均值平方根即\Delta X = \sqrt{\langle X^2 \rangle - \langle X \rangle }=\sigma \sqrt{n + \frac{1}{2}}
同样地,“
可以发现
\Delta X \cdot \Delta P = \hbar (n+1/2) \ge \hbar /2, \forall n
遵循海森堡不确定性原理,在n=0时有ΔX·ΔP=ħ/2的状态出现。此时系统的不确定性达到最小值,并因此将该状态称为minimum uncertainty state。
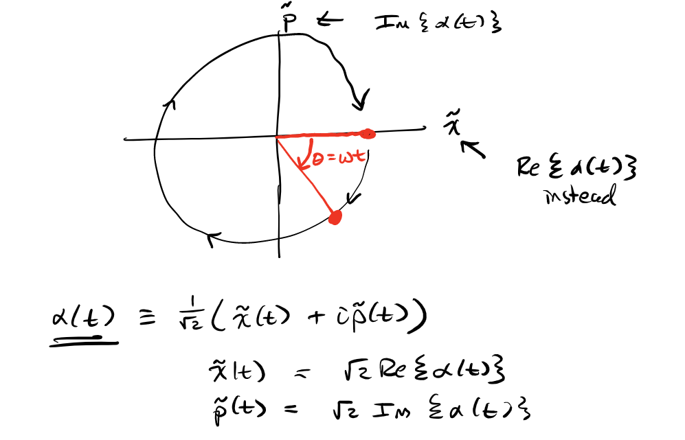
本征态、不确定性的图示法
为了展示能量本征态及其不确定性的特点,可以通过缩放相空间图来实现这一目的。其中相空间图通常采用(x,p)坐标系表示,在量子谐振子系统中我们进行了缩放处理,则需要考虑\left(\frac{x}{\sigma}, \frac{\sigma p}{\hbar}\right)这一新的坐标系来描述相关特性。

在进行了scaling处理之后,在n+1/2平方根的基础上决定了两个变量的值,并且由于两者均为高斯核函数,在概率密度分布上表现出相同的方差特性;这样一来就可以用圆来表示等概率线,并且该圆的面积与ΔX·ΔP呈正相关关系;由此可知最小的圆对应着最小区均不确定性状态
在进行坐标变换时可采用位置平移算符\hat{S}(x_0)其中\langle x|\hat S(x_0) |\psi_0 \rangle = \left( \frac{1}{\pi \sigma} \right)^{1/4}e^{-\frac{(x-x_0)^2}{2 \sigma^2}}
经过变换后,在海森堡绘景中,
其表示为 X_H(t) = X_S \cos(\omega t) + \frac{P_S}{m\omega} \sin(\omega t),
其表示为 P_H(t) = P_S \cos(\omega t) - m\omega X_S \sin(\omega t)
在海森堡绘景中的算符与在薛定谔绘景中的算符之间可以通过时间演化算符进行关联。
在海森堡绘景下考虑均值
\langle X \rangle (t)=\langle X \rangle(0) \cos (wt)+\frac{\langle P \rangle(0)}{mw} \sin (wt) = x_0 \cos(wt) \\ \langle P \rangle (t)=\langle P \rangle(0)\cos(wt)-mw\langle X \rangle(0)\sin (wt) = -mwx_0 \sin(wt)
即平均值在相空间中的轨迹呈现圆形。此外,在获得位置变换后的概率云时,则需要考虑ΔX(t)与ΔP(t)。

该态由算符\hat S(x_{₀})作用于初始态得到:
|\psi\rangle = \hat S(x_{₀}) |\psi_{₀}\rangle
其中,
|\psi\rangle = e^{-i x_{₀} \frac{\hat P}{ħ}} |\psi_{₀}\rangle
即,
|\psi\rangle = e^{-i x_{₀}/ħ (i ħ/(\sqrt{2} σ)) (\hat A^{\dagger} - A)} |\psi_{₀}\rangle \\ = e^{x_{₀}/(\sqrt{2} σ) (\hat A^{\dagger} - A)} |\psi_{₀}\rangle
基于Baker-Campbell-Hausdorff (BCH)公式所述之论断可知,对于任意两个算符\hat{A}和\hat{B},我们有以下关系成立:
由此可见,
$|\psi\rangle = e{x_{_{0}}A{†}/(\sqrt{[?]},\sigma)}e{-x_{_{0}}}A/(\sqrt{[?]},\σ)}e{-[A,A^{†}]x_{_{₀}}}²/(4σ²)}|\ψ₀〉
=e{-x_{₀}²/(4σ²)}e{x₀A†/(\√[?]σ)}|ψ₀〉
= e^{-x₀²/(4σ²)}∑ⁿ=∞₀¹/n! (x₀/√[?]σ)ⁿ (A†)ⁿ|ψ₀〉
= e^{-x₀²/(4σ²)}∑ⁿ=∞₀¹/√(n!) (x₀/√[?]σ)ⁿ |ψₙ〉
其中
e^{-\frac{x_{\text{off}}}{\sqrt{2}\sigma}\hat{A}}|\psi_{\text{ref}}\rangle=e^{-\frac{x_{\text{off}}}{\sqrt{2}\sigma}\cdot 0}|\psi_{\text{ref}}\rangle=|\psi_{\text{ref}}\rangle \\ |\psi_n\rangle=\frac{\left(\hat A^{\dagger}\right)^n}{\sqrt{n!}}|\psi_{\text{ref}}}
该湮灭算符对应的eigenvalue方程
其中
|\alpha \rangle = e^{-\frac{|\alpha|^2}{2}} \sum_{n=0}^{+\infty} \frac{\alpha^n}{\sqrt{n!}} | \psi_n \rangle
令\alpha等于\frac{x_0}{\sqrt{2}\sigma}, 进而得到 |\psi\rangle = |\alpha\rangle = \left|\frac{x_0}{\sqrt{2}\sigma}\right\rangle.
同样地,
\hat T(p_0)|\psi(0)\rangle = |\alpha=\frac{ip_0 \sigma}{\sqrt{2} \hbar}\rangle \\
\hat T(p_0)\hat S(x_1) |\psi(1)\rangle= |\alpha=\left(\frac{x_1}{\sqrt{2}\sigma}\right)+\left(\frac{ip_1 \sigma}{\sqrt{2} \hbar}\right)>\rangle$
这种结构与湮灭算符的定义极为相似,
\hat A = \frac{\hat X}{\sqrt{2}\sigma}+\frac{i \hat P \sigma}{\sqrt{2} \hbar}
用量子谐振子的公式推经典谐振子的性质
考虑
\tilde X(t) = \frac{x(t)}{\sigma},\tilde P (t) = \frac{p(t)}{mw \sigma}
假设\tilde X(0)>0,\tilde P(0)=0,则
\tilde X(t) = \tilde X(0) \cos(wt)\\ \tilde P(t) = -\tilde X(0)\sin (wt)
后面打不动了,就先把老师的笔记贴在这里吧。



