三角波的傅里叶变换对_傅里叶变换(二)—傅里叶变换的推导
发布时间
阅读量:
阅读量
"Fourier"这一名称相信会对许多人并非陌生。尤其是理科学生而言,这三个字必定令人印象深刻。
在教材中,“傅里叶”频繁出现,在这些相关的术语如傅里叶变换等中曾经使众多学生深恶痛绝,并给学习者留下了深刻的负面印象。
傅里叶变化是一种将满足特定条件的函数表示为正弦或余弦波组合及其积分的形式的方法,在多个研究领域中存在各种变体形式。最初而言之傅里叶分析作为一种用于热过程解析的方法被建立和发展。
(一)、过程解析
我们先把傅里叶级数转换为指数形式:
三角函数形式:
代入欧拉公式:
可以变形为:
将
、
代入傅里叶级数求得:
将(2)、(3)、(4)代入得:
同理可得:
将两式代入到(5)中解得:
(注:当
时:
)
公式(6)为傅里叶级数的指数形式
然后我们来仔细研究下公式(6)
聪明的你,一定可以看出来这个累加式子非常像积分的黎曼和。
积分表达式的黎曼和表达式:
其中
为步长.同理我们有:
设
,得到:
我们令
即可得到一个标准化的傅里叶变化公式:
其中
(二)、性质
对称性质
若
,则
。
奇偶性质
若
,且
,其中
表示
的实部,
表示
的虚部,则
是关于
的奇数,
的模
是关于
的偶函数,辐角
是关于
的奇函数。
线性性质
若
,
,则
,其中α和β为常数。
时移性质
若
,则
频移性质
若
,则
。
尺度变换性质
若
,则
卷积定理
时域卷积定理:若
,
,则
频域卷积定理:若
,
,则
。
时域微、积分
微分性质:
若
,则
,
积分性质:
若
,则
频域微、积分
微分性质:
若
,则
积分性质:
若
,则
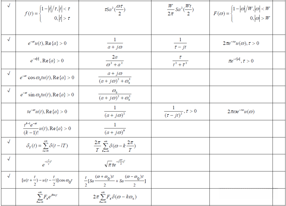
(三)、常用傅里叶变换及其对偶关系图
(下面附下载地址)




文档地址:链接: https://pan.baidu.com/s/1fJGzfBL4I4s2MMJZA-BZgA 提取码: 8abw
全部评论 (0)
还没有任何评论哟~
