矩形的傅里叶变换_傅里叶级数-到 -傅里叶变换
发布时间
阅读量:
阅读量
1、傅里叶级数
=
=
,或者记作
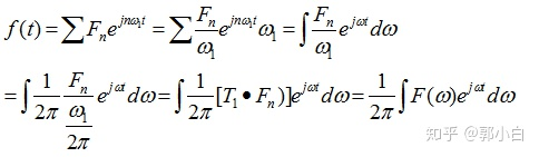
傅里叶变换在处理非周期性信号时会遇到一个问题:当时间间隔趋近于无穷大时, 直接采用上述定义会导致所有频率分量的幅度Fn均为零的困境. 为此我们引入频谱分布系数
为
之积。
可定义导出傅里叶变换为:
,(T1
)。
按照周期级数及定义,可导出傅里叶逆变换为:

可见对w积分时,真正的频谱密度是:
,因为它作为系数积分,积分结果恰好是f(t)。但是我们已经规定:
,用F(w)的积分结果自然需要除以
。
3、如果我们改变积分变量,用频率df,作为积分单元,显然:
(=
),其中
这样,当逆变换积分变量为频率f,而不是w,傅里叶变换与逆变换都不存在1/2
相关系数。可以看出傅里叶变换的结果F(w)代表了频率微元\mathrm{d}f所对应的幅值,并非与\mathrm{d}w相关的幅值
也就是说,在以f为横轴(而非w)的情况下进行绘制(而非以ω为横轴),纵坐标代表的是F(w)。每个极小条纹的宽度是df且高度是F(w),其面积代表该频率成分的贡献。
该处频域内对应的面积积分值等价于该点位处对应的频域高度值。本质上反映了频域分布特性。然而,在重新定义后发现其量纲性质与传统的傅里叶级数有所区别。
4、傅里叶级数与逆变换的思考,很多人可能理解不到
基于某一特定频率的时间积分结果得到了对应的分量,则可知这一理想单一频级(级数)在时域上表现为无穷延伸的状态。只有当时域表现为无界延展时才被视为理想的单一频级
(2)只有当时间在频率域内进行无限积分时才会产生一个理想的结果,在这种情况下某个特定时刻的时间特性会在频域上表现为无穷无尽的状态。如果仅关注于单一频点,则无法准确捕捉到信号的时间特性(这一观点并非容易被广泛接受或理解)。
全部评论 (0)
还没有任何评论哟~
