傅里叶级数和傅里叶变换
最近回想起课堂上学习的内容时,我又一次深入地了解了傅立叶级数(FS——Fourier Series)与傅里叶变换(FT——Fourier Transform)。为了便于回顾与理解,我决定整理一些基本概念作为学习笔记。
一、傅里叶级数的意义
从傅里叶级数角度来看, 这门学科不仅开创了别开生面的角度, 更揭示了错综复杂的世界本质. 宇宙间的万千变化或许只是天作之合, 而一切看似纷繁无序的现象, 实则都是简单机械运动叠加体的结果.
为什么这样说呢?这是因为利用傅里叶级数理论可知任何周期性运动都可通过简单的振荡波叠加来表示。更为严谨的说法是针对满足狄利克雷定理(Dirichlet theorem)条件的周期函数而言。但对于我们大多数人而言,并不需要深入理解这些细节。
更简单点,使用书上常用的一幅图来表达:

input signal 实际上是我们直观所见的图像;我们通常将其称为时域分析(time-domain analysis)。然而,在频域中对这个信号进行分解后会得到这些基本的简单波;换句话说,在频域中对这个信号进行分解后会得到这些基本的简单波
通过侧面观察这些波,并在图中显示为Decomposed signal。我们可以观察到每个波的振幅高度,并称其为频域(frequency-domain)。
二、讲解傅里叶级数
时域图形如何以公式形式表达?这正是我们所探讨的傅里叶级数。回想一下,在二维空间中表达一个向量的方法是什么?我们是基于X轴和Y轴两个正交单位向量来进行描述的。为了在二维空间中表达一个向量,在这个方向上赋予相应的系数即可实现任意点的位置确定;同样地,在三维空间中则需要三个相互垂直的方向才能实现类似的效果。
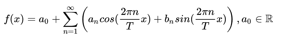
而我们的傅里叶级数就可以类比推论,其公式:

其中

未上色状态的就是我们的基底即在图一中我们所见到的各种不同颜色谐波叠加体去掉了振幅值后的表现形式而f(x)则是傅里叶系数对应于各谐波的基本幅度借助这一数学工具我们可以将满足狄利克雷条件的所有周期性波动现象转化为基础形态图形分析的基础手段
如果你疑惑为什么

可以表达为一个波,这里展开讲一下,当然不care的可以直接跳过。
为了更好地了解sin函数图像的形成原因, 我们首先要认识到它与单位圆的运动轨迹有着密切的关系。而对于其他类型的三角函数图像而言, 则具有不同的形成机制。

这种类型的算式,我们就要想到这样的形状

因此我们的

可以表示为波的形状。
三、傅里叶变换
然而我们应当认识到的是傅里叶级数仅能实现从周期时域至非周期频域的转换这一重要特性 即表明傅里叶级数可以将周期性变换的波形图分解为简单子波形图的叠加 其核心在于可以将复杂的信号分解为若干简单信号进行区分 这确实存在一定的局限 因为仅能处理具有明确周期性的时域信号而无法应对无规律性的非周期情况
傅里叶变换的功能就是将非周期性的时域信号转换为非周期性的频域表示。其本质就是使得时域与频域之间的转换更加便捷。
为了更好地理解傅里叶级数的不同表示方法,在介绍完复数形式之后,我们同样也会探讨其基于三角函数的形式。

其中T被定义为我们的图形周期,则非周期性可以通过以下方式表征:我们选取了一系列具有不同周期特性的图像进行展示。从较小周期开始逐步扩大其覆盖范围

事实上我们可以观察到的是:非周期性函数本质上对应着一种具有无限大周期的情况;此外,在这种情况下(由分解得到的一系列子波形的系数图表),也就是傅里叶级数表达式中的f(x)。

也逐渐从离散的状态变成了连续的。
那么将T逼近无穷大后,我们的函数通过欧拉变换等逐步推导为:

反过来可以得到:

这里的F(w)就是我们的傅里叶变换!
