信号与系统公式笔记(3)
参考了上海交通大学的讲课录像,b站av号:5868266。
说明:LTI系统中的"线性"仅指其完全由其储能元件储存的能量以及外界施加的激励共同作用下所呈现的行为特征。根据叠加原理可知,在无外加激励的情况下(即零输入),系统的自由响应该仅由其储能元件储存的能量决定;而当有外部激励作用于系统时(即零状态),则应综合考虑储能元件储存的能量与外部激励共同作用下的强迫响应特性。因此,在这种特殊情况下(即自由响应该为零),系统的全响应确实可与其所受到的外部激励之间建立一种直接的比例关系。这正是LTI系统所具备的两种基本线性特性:零状态线性和零输入线性。
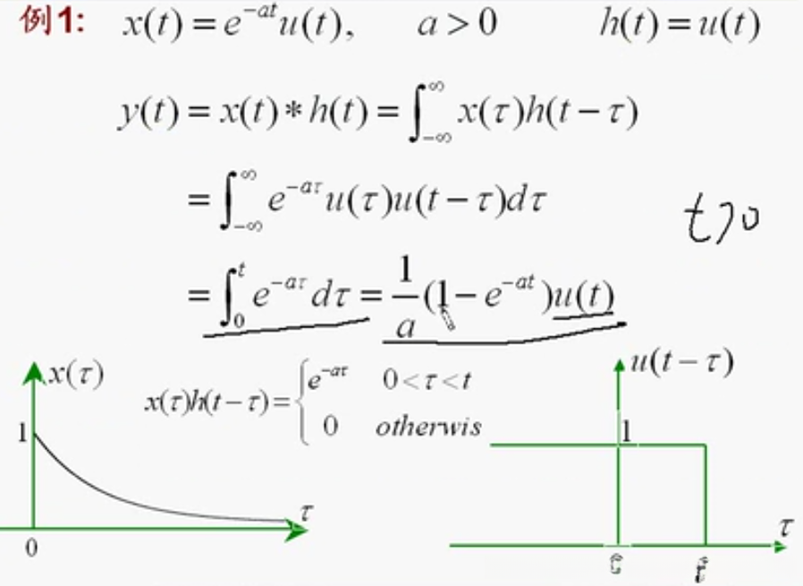
例题1:

例题1的解在下面的说。
系统响应划分:
根据输入源的不同:零输入响应与零状态响应
从输出特性角度来看:暂态反应随时间趋近于零以及稳态反应不随时间趋近于零
基于决定性表现的形式:自由回应与强制回应
为了更好地理解系统的动态行为及其内在机理,请您详细阐述一下自由响应与强迫_response的相关知识?其中自由_response(也称为固有_response)指的是系统本身固有的动态特性所引发的输出信号;而强迫_response(即外源输入引起的系统反应)的形式主要取决于外加激励的性质。
难点在于上述两种情况与零输入响应、零状态响应之间的关系。由于在零输入条件下没有外部激励作用于系统,在这种情况下其输出完全由系统的内部状态驱动而形成;而在分析过程中可以看出,在求取系统的完全响应时会涉及齐次解和特解的部分。其中齐次解对应的是系统的自由分量,在这种情况下会表现出类似于自由分量的行为;而特解则代表强迫分量,在这种情况下会表现出类似于强迫分量的行为。进一步地,在计算过程中我们会发现当初始条件施加时会对最终的系统行为产生显著影响
零输入响应本质上是系统方程的齐次解,其初值由非零的系统初始状态v_c(0_-)和i_L(0_-)确定后通过代入方法确定待定系数。
在激励作用下求解系统的非齐次方程即得到零状态响应,其初值则基于系统的初始条件设为零来确定待定系数。
关于求零状态响:
卷积
其实就相当于把原信号反向,分解成无数个冲激函数,然后输入到系统中。
定义:
当系统受到单位冲激信号σ(t)的影响时所产生的是零状态响应,并将其用h(t)来表示(因为这个符号常被用来表示冲激响应)。
需要注意的是,在这里h(t)仅代表冲激响应。
冲激在t=0时刻转换成系统的储能(由v_c(0_+)表征),当t>0时,在非零初始状态下求解齐次方程得到的结果即为原系统的冲激响应值。
通过求解特征方程确定特征根后,则可得到v_c(t)(当t > 0_+时的解)。随后利用冲激函数匹配法确定各特征根的系数。
注意列出特征根之后带入方程的时候不要忘了特征根里面的\mathrm{u}(t)。
在时域中施加相同的激励信号δ(t),若不同系统的响应函数h(t)存在差异,则该系统的特性亦有区别。此外可用频域分析方法中的拉氏变换技术来计算系统对单位冲激函数的输出以及单位阶跃函数的输出。
阶跃响应
定义如下:
对于一个线性时不变系统,在受到单位阶跃信号作用时的零状态响应即称为其单位阶跃响应。
右侧将引入阶跃函数的存在,在这种情形下除了原有的齐次解之外还会有对应的特解出现(因为当时间t大于等于某个临界值时该函数值不再为零,在此情况下相当于引入了一个常数系数而导致出现相应的特解)
通常利用冲激响应与阶跃响应的关系来求阶跃响应。
阶跃响应是由冲激响应进行积分得到的结果,在数学上定义为:系统的输出信号在特定时间点处的值与其输入信号在该时间点以前的所有瞬时作用效果之总和相联系的过程。其积分限通常表示为\int_{-\infty}^{t}用于非因果系统而\int_{0_-}^{t}则特指用于描述因果系统的积分范围(其中0_-表示起始时刻前的时间段,在此之前系统的输入信号均为零)。
卷积的基本概念指出:连续信号可以被视为一系列移位并带有不同权重的δ函数的总和,在数学上表现为将这些冲激函数按时间进行累加,并通过积分计算其总效应。
重要性质
当一个线性系统对于δ(t−τ)的冲激响应为h_τ(t),则该系统对于输入信号x(t)的输出响应为:
若系统的特性不随时间而变化,则当 δ(t) → h(t) 时,必然有 δ(t − τ) → h(t − τ),因此系统对任何输入信号 x(τ) 的响应 y(t) 可以表示为:y(t)=∫_{−∞}^{∞}x(τ)h(t−τ)dτ
就是系统的单位冲激响应。
通常用这个性质来求系统在某些输入下的输出。
卷积求解包含图解法、解析方法和数值方法。
其本质是关于两个卷积信号的操作中存在一个未知情况,在其中一个信号被反转并沿参数t滑动的过程中完成操作。对于每一个对应的值,在时域上将x(\tau)与\mathrm{h}(t - \tau)相乘的结果进行积分运算即可得到结果。

其实没什么技巧,重要的是细心,慢慢分步做就是了。
系统是LTI且卷积总是收敛时,卷积满足交换律、分配律、结合律。
卷积积分满足微分、积分及时移 特性
1. 若x(t) * \mathrm{h} = y(t)
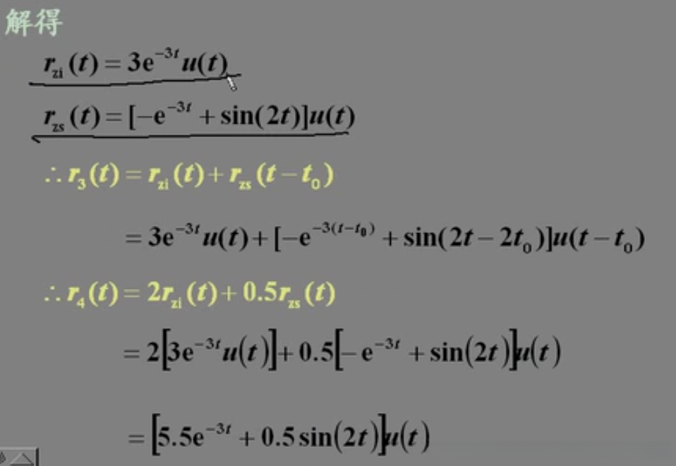
例题的答案:
例1:

