信号与系统公式笔记(7)
主要涉及第四章连续时间系统的频域分析(特别是傅里叶变换的应用)。学习建议:建议仔细研读教材约1至2遍,并完成其中的例题约1遍,在此过程中注重知识的积累。重点内容包括:
- 基于傅里叶变换表示的系统函数形式;
- 包括调制与解调技术。
主要内容:
- 傅里叶变换的幅度和相位
- LTI系统具有幅频特性和相频特性,并且会产生失真
- 线性系统中信号传输会产生失真
- 理想低通滤波器是一种能够有效滤除高于截止频率信号的理想设备
- 信息编码过程及其反过程
在时域中,系统的特性可被视为h(t)所描述的结果;这即是系统的冲激响应。
在频域中,则是其傅里叶变换的结果;这即为H(\mathrm{j}\omega)的值。

傅里叶变换对模与相位进行描述;CTFT与DTFT通常表现为复函数。
这体现了一个信号在其频谱的模与相位中所包含的所有信息。

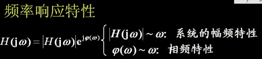
LTI系统频率响应的模和相位表示
LTI系统主要作用体现在对输入信号的影响上:
1.影响输入信号各频率分量的大小
2.调整输入信号各频率分量的相位关系
记得在频域相乘就是在时域卷积的说。

上面这个可以结合模电知识理解。

傅里叶变换形式的系统函数

H(j\omega) = \frac{R(j\omega)}{E(j\omega)}表示系统的频率响应特性(它属于一种特殊情况,在系统函数系列中具有独特的重要性,在后续章节将有详细讨论)。特别重要的是PPT下半部分出现的那个公式。这个方法常用于计算特定输入条件下LTI系统的输出响应,在频域中表现为乘积运算相当于时域中的卷积操作。

上面只是定义。通常就是用来画图的。

观察到结果中出现了表达式\mathrm{e}^{\mathrm{j}\omega_0 t}, 这正是输入信号的一个重要性质: 当输入为\mathrm{e}(t)时, 输出将等于该输入与系统频率响应函数相乘的结果。(其中\mathrm{e}(t)即为特征函数, 在后续章节中将有更详细的阐述)
补充:这是因为通过计算冲激响应……来确定系统的反应特性。
而由于冲激信号\delta(t)具有频谱特性函数为1……。
系统函数的物理意义
从功能角度来看待的话, 这个系统可被视为一个信号处理器. 在本系统中所施加的激励为 E(\mathrm{j}\omega). 系统的响应等于 H(\mathrm{j}\omega)\cdot E(\mathrm{j}\omega), 这一过程实际上是对信号中的各个频率分量分别进行加权处理, 并联想到卷积操作的意义
在不同频率值 \omega 的情况下,在各个频率值 \omega 下各自对应着不同的权重。这表明信号分解过程是通过分别计算各响应并累加得到最终结果的过程。
例题

为了准确记录正弦信号在频域的表现形式(也就是被遮挡的部分),我们需要仔细加以记忆。
该特性可以通过傅里叶变换理论推导得出。
需要注意的是,在指数函数\mathrm{e}^{\mathrm{j}\varphi(\omega)}中包含了一个奇函数项\mathrm{j}\varphi(\omega)(其中\varphi(\omega)通过反正切函数计算得出为-\mathrm{arctan}\omega),而根据冲激函数的筛选性质可知\delta(t_0) \cdot x(t) = x(t_0)。因此,在这种情况下可以得到上文中用黄色高亮显示的那个表达式。
经过上述分析后可以得到最终结果。

这个结论具有重要意义,在输入与输出频率相同的情况下(据说常考),其幅度经过加权处理,并且相位发生平移
不懂的话看这个例题

上面这类问题一定要会算。
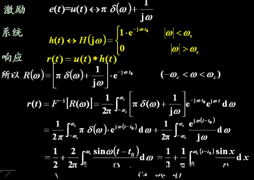
线性系统对激励信号的响应

这个例子虽然简单但核心在于思路的启发:)= 注意这里的门信号其实就是平移后的矩形脉冲信号特别注意所以可以得到其傅里叶变换就是g(t) = \text{rect}\left( \frac{t - t_0}{T} \right)其傅里叶变换就是G(f) = T \cdot e^{-j\pi f T} \text{sinc}(fT)

E\tau \mathrm{Sa}(\frac{\omega \tau}{2})

最后求反变换(难在这里)

说明

线性系统的信号失真

根据这一原理,在幅度和时移上进行改变并不会导致波形失真;这构成了不失真成立的基础。

进行傅里叶变换后的频谱必须满足这一特性(实际上它是将最上层公式进行了傅里叶变换,在频域中与系统的时域平移性质相联系)。两个图表右侧的部分都是离散情况下的有效公式。


注意公式里面的-,群延时其实就是一组信号在通过系统时候产生的延时。

这里只需要了解(拓展内容)

群延时的概念,了解就可以。。。
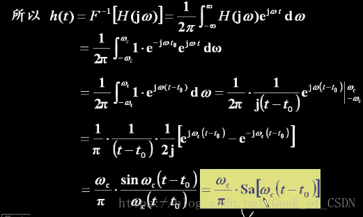
理想低通滤波器
一、理想低通滤波器的频率特性

左边显示的是幅频特性的曲线图。右侧则是相频特性的图形表示。需要注意的是,方括号内的内容是对上述两个图形的数学表达。
对应的冲激响应:

对应的波形


非因果系统的原因在于观察到当时间点早于输入信号到达系统的时间时就已存在数值。(因此具有这样的特征:一旦存在数值就不再受当前输入的影响)
理想低通的阶跃响应(不是重点)

然后对应的图形



了解一下就可以了。。。不是重点。
理想低通对矩形脉冲的响应


一种可实现的低通滤波器

上面的公式里面用到了分压的定理(KVL)


只是个例子。。。
调制与解调
傅里叶变换的应用中最重要的一个(取样也很重要,都要掌握)。
调制的概念是指通过一个信号去调节另一个信号特定参数的过程。其中被调节的对象称为载频或载波。在这一过程中参与调节的角色称为调制式信息或简称为基带型信息载体。


调制


调制其实就是直接把调制信号和载波信号相乘(相当于在频域上做卷积)。

注意bleh signal's frequency spectrum is given by the mathematical expression \pi[\sigma(\omega - \omega_0) + \sigma(\omega + \ω_0)]. This formulation effectively shifts the signal from its original low-frequency range to a higher frequency band, facilitating spectral analysis. Furthermore, this approach leverages the inherent properties of frequency shifting to achieve efficient signal manipulation.
注意bleh signal's frequency spectrum is given by the mathematical expression \pi[\σ(ω-ω₀)+σ(ω+ω₀)]. This formulation effectively shifts the signal from its original low-frequency range to a higher frequency band, facilitating spectral analysis. Furthermore, this approach leverages the inherent properties of frequency shifting to achieve efficient signal manipulation.

上图里面最下面的公式是数学推导。

(实际情况中会让\omega_0 >> \omega_M)
解调

其实关键在下面这个图:

由于-\omega_0内部与\omega_0进行卷积操作后会向右侧平移一格,并最终回到原点位置;右边的那个图形与之相近但有所差异。
经过卷积运算后得到的信号呈现出中间那个图形(需注意其幅度为\frac{A}{2}),随后应用低通滤波器即可成功提取该信号。
实际上,在上层图中中间的那个图形对应于上层公式中的计算过程:
y(t) = \int_{-\infty}^{\infty} x(\tau)h(t-\tau)d\tau

载波相位的影响:

这种情况主要表现为在实际应用场景中调制与解调过程中使用的波形相位存在不一致的现象。。

