cosnπ为什么是离散信号_数字信号处理two
补充上一篇笔记。
离散傅里叶变换DTFT
定义:

由于时间是离散的,故频域特性一定是周期 的.
也可以从 ejwn=ej(w+2π)n
看出.当然又由于时域x(n)是 非周期的,则频域X(ejw)一定是以w为变量的连续函数.
可推导:离散傅里叶反变换:

--------------------------------------------------------------------------
需要注意的是:
①时域x(n)是离散的,则频域X(ejw)一定是周期的.
②由于时域x(n)是非周期的,故频域X(ejw)是变量w 的连续函数。
③X(ejw)还可以表示成如下:

DTFT存在条件(收敛性)
①一致收敛:即要求级数收敛,|X(ejw)|<无穷。(对于全部w),也就是X(z)的收敛域必须包含z平面单位圆,即x(n)的傅里叶变换存在。

上面等式表明:若x(n)绝对可和,则x(n)的傅里叶变换一定存在。(序列x(n)绝对可和是其傅里叶变换存在的充分条件)。
②均方收敛。

满足平方可和条件。
即x(n)能量有限(平方可和)也是傅里叶变换存在的充分条件。需要注意的 是:
因为

也就是说一致收敛一定均方收敛,而均方收敛不一定一致收敛。
DTFT的主要性质
-
线性****
-
序列的移位 记住口诀:同时反频.
-
乘以指数序列:
-
时域卷积定理
时域线性卷积对应频域的相乘.
-
频域卷积定理'

-
序列的线性加权

7.帕塞瓦尔定理

时域总能量等于频域总能量.
8.序列的翻褶
时域的翻褶对应于频域的翻褶
9.序列的共轭
时域取共轭对应于频域共轭且翻褶.
10.实虚偶奇

------------------------------------------------------------------------------
DTFT先记到这里,接下来看DFS DFT
首先分清四种傅里叶变换
a.连续非周期信号------------非周期连续频谱
b.连续周期信号--------------非周期离散
c.离散非周期信号----------------周期连续
d.离散周期信号------------------周期离散
综上:任何一个域是连续的,则对应的另一个域一定是非周期的
任何一个域是离散的,对应的另一个域一定是周期的.
--------------------------------
离散傅里叶级数DFS
定义:周期序列....省略了****
离散傅里叶级数的写法,变现形式上和连续周期函数是相同的,但是离散傅里叶级数的谐波成分只有N个是独立成分,而连续周期傅里叶级数则是无穷谐波成分.
可写成如下:

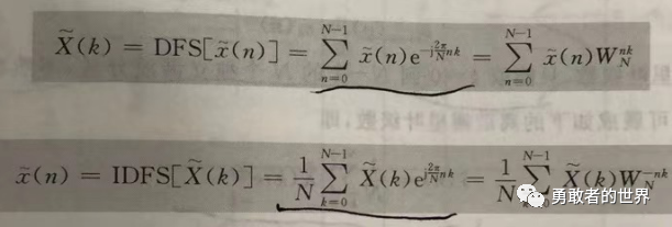
X(k)上波浪线 为离散傅里叶系数.
接下来就要求出X(k)

表达式:
DFS的主要性质
-
线性
-
周期序列的移位(同时反频)
-
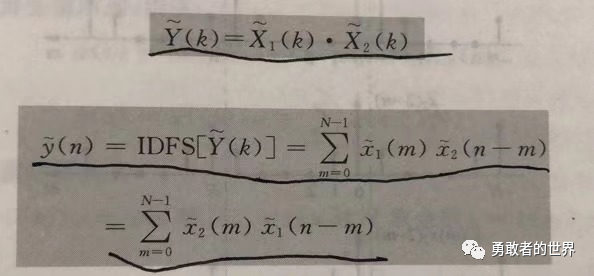
周期卷积和

即频域周期序列的乘积对应于时域周期序列的周期卷积!
------------------------------------------------------------------------------
明天记录DFT.
