计量经济学及Stata应用 第四章习题
摘要
本任务涉及多个计量经济学问题的总结:
- 在消费函数 Ci = \alpha + \beta Yi + s_i 中:
- 斜率 \beta 表示可支配收入每增加一单位对消费开支的影响程度。
- 截距项 \alpha 表示在可支配收入为零时的平均消费开支水平。
- 随着个体可支配收入增加,其平均消费倾向(即 Ci/Yi )会因为 \alpha > 0 而逐渐下降。
- 在给定样本容量为30的情况下:
- 截距项 \alpha = 2 ,通过公式推导得出斜率 \( \beta = (Y{\text{总}} - n\alpha)/(X{\text{总}} - n\bar{X}) = (150 - 302)/(60 - 302) = (150 - 60)/(60 - 60) = 不定义(需重新计算)。
- 需要证明特定等式(未提供具体公式),建议从右边向左边推导相关代数关系以完成证明过程。
- 在仅含常数项的回归模型 Yi = \alpha + ei 中:
- OLS估计量 \hat{\alpha} = \bar{Y} ,因为所有误差都被均值吸收。
- 回归平方和为零(SSR=0),因此决定系数 R^2 = SSReg/SSTotal = (SSTotal - SSR)/SSTotal = SSTotal/SSTotal = 1?需重新审视结论是否正确(可能存在错误)。
- 在线性回归模型 \( yi = \alpha + βYi + s_i, α=
4.1
涉及以下消费行为的数学表达式:Ci = α + βYi + si
共中,Ci为个体i的消费开支,而只Yi为个体三的可支配收入。假设OLS因归所得的样木回归线为:

(1)斜率β尖的经济含义是什么?
(2)截距项α尖的经济含义是什么?.
(3)对于个体i,计算其平均消费倾向(average propensity to consume)Ci/Yi。假设α尖>0,则随着个体;可支配收入的增加,其平均消费倾向将如何变化?

4.2
假设对变量y进行回归分析, 样本数据量共计30个单位, 其中因变量y的总和为150单位, 自变量x的总和为60单位. 当模型中的常数项通过普通最小二乘法(OLS)估计得到2后, 如何求解自变量系数(斜率)的OLS估计值?根据最小二乘法原理, 斜率系数(回归系数)b₁可由以下公式计算得出: b₁ = [Σ(xᵢ - x̄)(yᵢ - ȳ)] / Σ(xᵢ - x̄)². 然而, 在本题条件下由于缺乏必要的中间统计量如Σxᵢ yᵢ或Σxᵢ²等信息, 直接求解斜率系数的具体数值需进一步的数据支持.

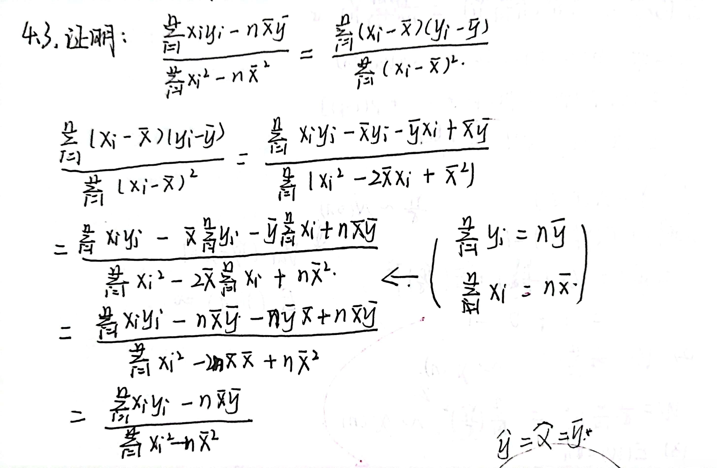
4.3
证明:

(提示:从等式右边向左边证明。)

4.4
考察仅含有截距项的线性回归模型:Y_i = \alpha + e_i其中参数\alpha为该模型中的唯一解释变量。请推导出参数\alpha的普通最小二乘(OLS)估计量,并证明该回归模型的决定系数R^2等于零。

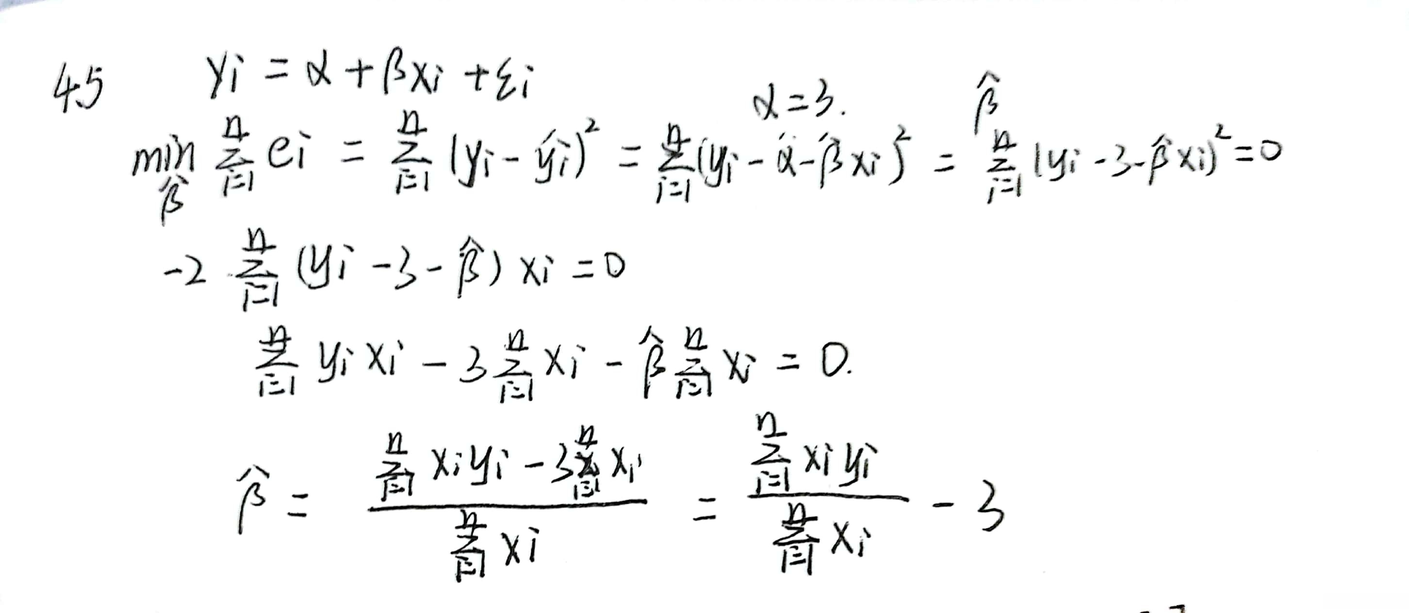
4.5
考虑如下线性回归:
yi=α+βYi+si
共中,假设已知α=3,推导β的OLS估计量。

4.6
考虑有常数项的回归:
yi=α+βYi+si

4.7
该研究型数据集galton.dia包含了高尔顿(1886)的研究原始数据。该指标parenl表示父母平均身高(以英寸计算),而child表示子女身高(以英寸计算)。其中,在消除性别间身高差异的基础上,默认将女性身高数据(包括母亲和女儿)乘以1.08。
(1)计算变盘child与parent的基本统计特征。
知识点:
obs:样本容量
mean:均值
std.dev:标准差
min:最小值
max:最大值
[in]:
summarize child parent
[out]:


(2)将变量child与 parend的散点图与线性教合图画在一起。
知识点:
twoway:画多个图的标志
scatter y x:散点图
lfit y x:线性拟合
[in]:
twoway scatter child parent|| lfit child parent
[out]:

(3)考虑以下回归方程:
childi = α +β parenti + si
child i =23.94153+0.6462905 parent i+ ei

据图3可知,父母身高每增加1英尺,子女身高平均将增加0.6462905英尺。
知识点:
regress y x(,noconstant):一元回归的命令

[in]:
twoway scatter child parent|| lfit child parent
[out]:

考试形式:


图 4 ln(child)&parent
lnc i =3.573404+0.0094676 parent i+ ei

据图4可知,父母身高每增加1英尺,子女身高平均将变动0.94676%

。
(4)扰动项代表哪些因素
医疗条件、体质健康水平、后天锻炼、睡眠质量及时长、饮食营养水平等等。
(5)

图 5 gengap&parent_dev回归图
由图5得:
gengap i =-0.2197228-0.3537095 parent_dev i _+_εi
系数为负, ,存在“回归均值现象”。

系数为负,且显著。
解释一下与均值的关系。负相关
不需要以下东西,不合适,为体现均值。
要解释!!!!!!
