计量经济学及Stata应用 第三章习题
对于随机变量X与Y的关系:
协方差定义为Cov(X,Y)=E(XY)-E(X)E(Y),用于衡量两个变量之间的线性关系。
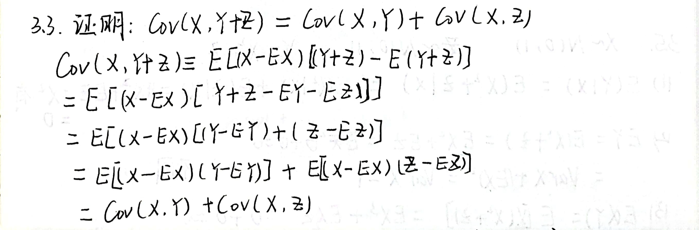
协方差满足线性性质:Cov(X,Y+Z)=Cov(X,Y)+Cov(X,Z),表明协方差对加法运算具有分配律。
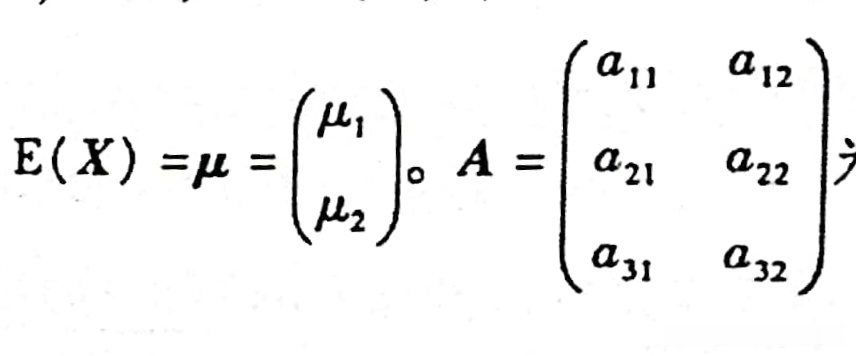
二维随机向量X=(x₁,x₂)'的期望为常数矩阵μ=E[X]。
矩阵形式下:
- E[AX]=ALμ
- Var[X]=E[XX']-μμ'表示X的协方差矩阵。
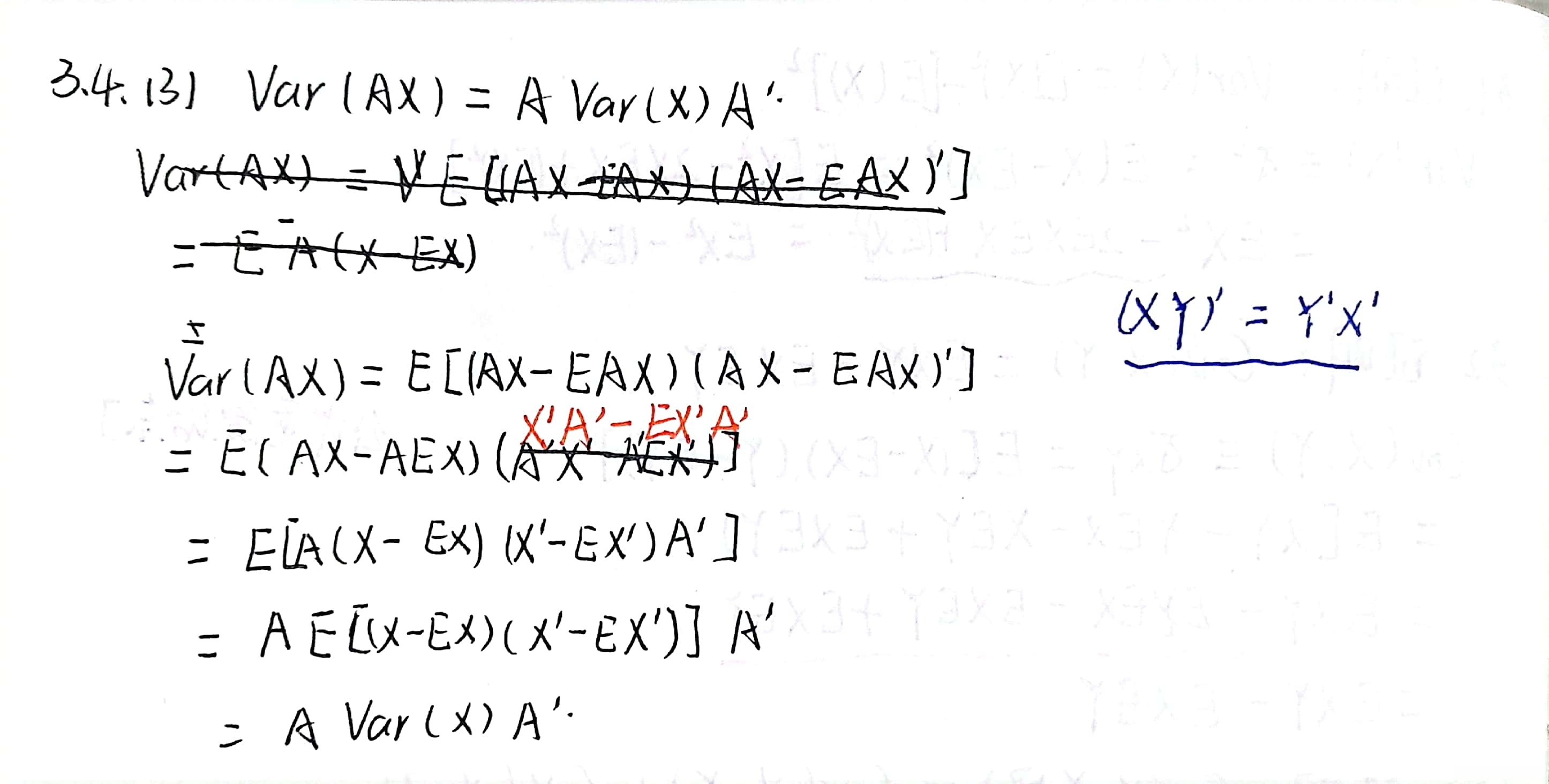
- Var[AX]=AVar[X]A'展示了矩阵变换对X协方差的影响。
通过不相关但不满足均值独立的例子展示即使变量间不存在相关性也不一定满足均值独立条件。
两点分布样本成功比例p作为参数p的无偏估计,并具有Var(p)=p(1-p)。
正态样本平方和W服从卡方分布χ²(n),且有E[W]=n及V=...(此处省略具体内容)。
1 对于随机变量X,证明Var(X)=E(x2)-[E(X) ]2。

3.2对于随机变量X与Y,证明Cov(X,Y)=E(XY)-E(X)E(Y)。

3.3对于随机变量X,Y,Z,证明Cov(X,Y+Z)=Cov(X,Y)+Cov(X,Z)。

3.4 二维随机向量x=(x1,x2)'的期望为

为常数矩阵。证明以下等式。
(1) E(AX)=ALμ
基于期望算子具有的线性性质,在实际应用中我们可以将随机变量间的线性关系转化为对应向量之间的内积形式。从而使得随机变量间的线性关联得以以向量内积的形式体现出来。对于两个同维数m×n和n×p的矩阵A和B来说,在按照标准定义进行计算时:其结果矩阵C是一个m×p维度的新矩阵,在其中每一个元素C_i,j都等于第一个矩阵A中的第i行行向量与第二个矩阵B中的第j列列向量之间的点积运算结果;即C_i,j = Σ(A_i,k * B_k,j),其中k从1到n遍历所有可能取值并求和
(2)Var(X)=E(XX') -μμ'
(提示:使用协方差矩阵定义,期望与转置算子的线性性。)
(3) Var(AX)=AVar(X)A' (提示:使用协方差矩阵定义,以及(1)的结论。)


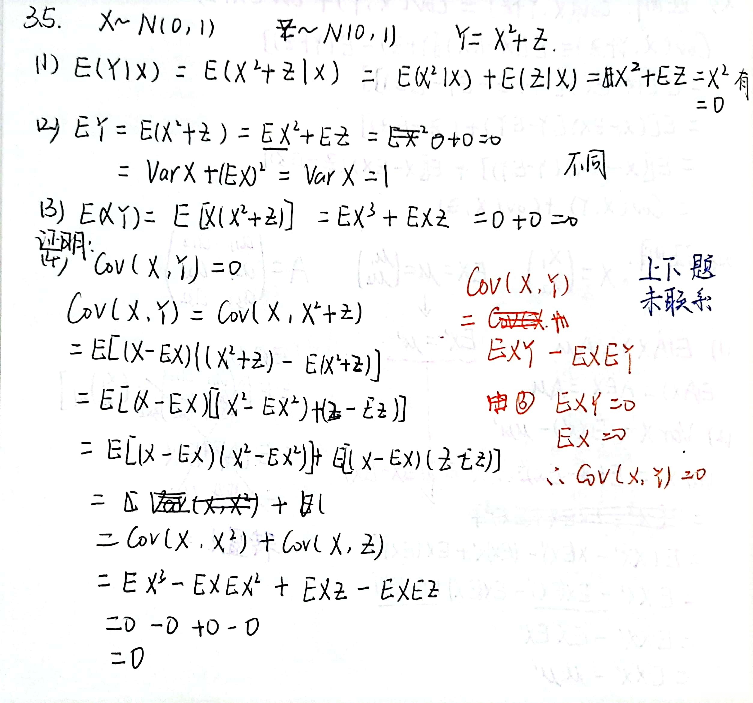
令X与Z服从标准正态分布且相互独立,则令Y等于X加Z作为一个反例
(1)计算E(Y|X)。该条件期望是否依赖于X?
(2)计算E(Y)。条件期望是否等于无条件期望?
(3)求解变量乘积XY的期望值。(参考提示:奇函数...在对称区间上的积分为零.)
(4)证明Cov(X,Y)=0。

设随机变量Y服从两点分布,则概率P(Y=1)等于P;而概率P(Y=0)等于从Y的分布中独立地按照与原分布相同的概率抽取样本的概率。令p表示该样本中成功(即取值为1)的比例。
(1)
(2)证明估计量p是p的无偏估计。
(3)证明估计量;的方差为Var(p)=P(1-P)。

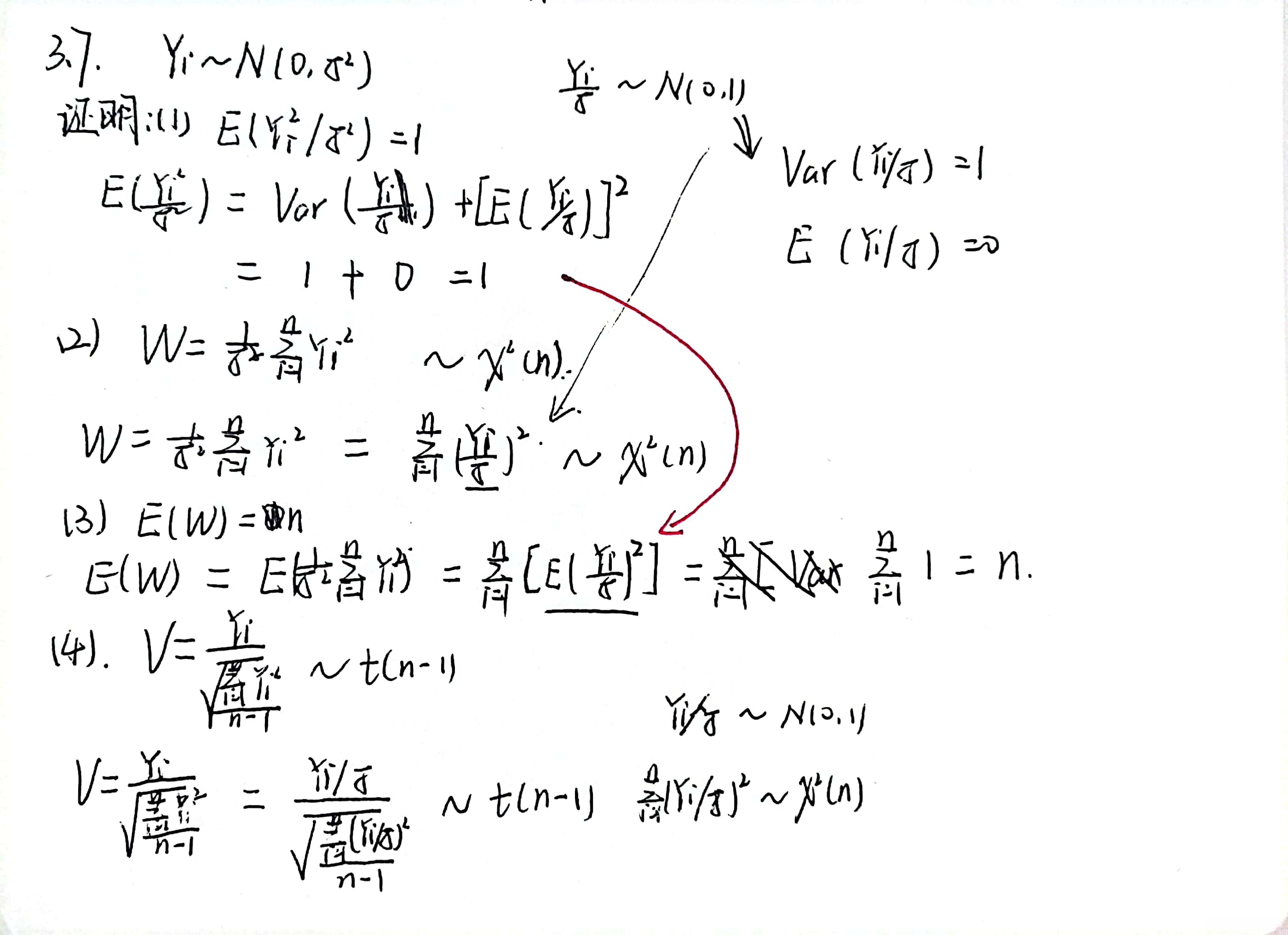
3.7 假设Y,~N(0,s2),且为独立同分布,i=1,…,n。
(1)证明E(Y2/s2)=1。(提示:使用公式E(x')=Var(X)+[E(x)]。)
(2)证明W=AY?服从x(n)分布。
(3)证明E(W)=n。
(4)证明V = 服从t(n-1)。

