模型预测控制(MPC)
文章目录
- 绪论
-
模型预测控制(MPC)的概念与发展
-
模型预测控制(MPC)的应用领域综述
-
基于模型预测控制(MPC)的足式机器人反作用力调节机制
-
基于模型预测控制(MPC)的无人车运动速度与转向角调控策略
- 基于模型预测控制(MPC)的动力学建模模块
- 基于模型预测控制(MPC)的实时优化算法模块
- 基于模型预测控制(MPC)的闭环反馈调节机制
-
3.基于模型预测控制(MPC)的动态运动规划
-
-
总结
-
参考资料
-
前言
认知所限,请各位予以谅解!无论遇到什么问题,请相信我们会愿意畅所欲言、共同进步!
本文旨在简要介绍**模型预测控制(MPC)**的基本概念及其核心原理。具体而言,在未来的内容中我们将对这一技术进行更加深入的探讨。对于其他模块的具体内容,读者可参考我的其他文章以获取进一步的信息。
提示:以下是本篇文章正文内容
涉及机器人轨迹跟踪控制的教程及博客内容,请您关注我们的专栏:
移动机器人规划控制集合(这个涵盖内容丰富): <>
人足型自动化机械臂技术综述(该领域较为系统):
一、模型预测控制(MPC)介绍
一种较为复杂的自动化控制系统主要基于数学优化算法。该控制系统由以下三个关键阶段构成:
- 首先需要构建车辆的动力学模型;
- 通过优化算法求解有限时间内的最优控制序列;
- 将计算得到的最优控制序列施加到系统中以实现实际操作。
该过程循环以上步骤以实现持续优化控制
二、模型预测控制(MPC)的应用场景
1.基于模型预测控制(MPC)的足式机器人反作用力控制
MIT的四足机器人,腿部反作用力预测
.
.
2.基于模型预测控制(MPC)的无人车油门刹车和方向控制
防盗标记–盒子君hzj
防盗标记–盒子君hzj
防盗标记–盒子君hzj
防盗标记–盒子君hzj
模型预测控制(MPC)旨在将长远时间段内的优化控制问题分解为多个短期或有限时间段内的优化子问题,并在某种程度上仍寻求最优解。其由以下三个核心要素构成:
- 预测模型:该模型能够快速准确地预判系统状态的变化情况。
2、在线滚动优化:利用某种最优化工法对未来的短暂控制输入进行处理,在这种处理下使预测模型输出与参考值之间的差异最小化。
3、反馈校正:到下一个时间点根据新的状态重新进行预测和优化
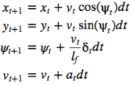
(1)预测模型
基于自行车模型进行研究,在分析车辆运动特性时需要完成两个关键任务:一是通过计算得到车辆运动轨迹;二是基于当前时间点的状态信息推导出下一时间点的车辆运动情况。

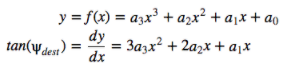
轨迹模型以3阶多项式模型为例,对X求导即为车身角度ψ的正切:

.
.
(2)在线滚动优化
假设我们给出一组控制参数,按照控制模型,会得到一个控制预测轨迹,
我们希望这些轨迹与我们的控制目标保持一致,在此过程中需要遵循运动模型(非线性)变换。此外,已知为一条3阶多项式需转换为油门转角,并对中间的模型参数进行建模处理。
我们已经了解了控制目标的定义(涉及一系列轨迹数据或最高为三次的多项式模型)。通过基于 control theory 的方法推导出相应的 control parameters。构建了一个适合评估 system performance 的 loss function 表达式。
首先想到的是一个损失函数,在模拟轨迹与参考线之间形成了一定的偏差。为了实现最小化这个Loss function的目标,我们需要确定一组参数设置(具体包括油门刹车系数以及方向盘转角等变量)。

In the preceding text, we exclusively analyzed the model's predictions over a span of ten time intervals. Therefore, the variable i is bounded within the interval (1,10).

为确保油门变化的平滑性,在试图避免油门系数发生突变的情况下,则需将前后两个油门系数之差的平方项纳入损失函数计算中。

损失函数能够进一步优化,并且当损失函数设计更为合理时,在模型预测控制的输入方面能够更好地满足乘坐舒适性的要求。
(3)反馈校正
通过 MPC 的简图可以看出, MPC 实际上可以理解为一种基于反馈机制的操作, 通过最优化算法计算出一系列控制指令后发送至执行机构, 并持续地根据当前车辆的状态 zt 进行实时调整. 该状态会被同时传递给路径规划模块和 MPC 控制模块, 路径规划单元会根据更新后的车辆信息重新计算最优行驶路线, 同时也会将这一新结果传递回 MPC 系统. 在新的目标轨迹和当前状态下, MPC 将采取相应的策略对系统行为进行预测性调整. 需要注意的是, 系统对实际状态的反馈并非等到某一完整时间段结束后再进行, 而是每隔一定时间就会完成一次快速响应.

.
3.基于模型预测控制(MPC)的动态运动规划
深蓝学院
深蓝学院
线性MPC可以作为入门
工程情况下,一般场景都是用非线性MPC的
深蓝学院
无论是线性MPC还是非线性MPC的问题,在核心上都涉及解决优化问题的方法各有不同
总结
模型预测控制往往可以分解成如下几步:
基于当前t时刻的状态信息,在后续的a个时间步骤内推导系统的输出信号。
在模型框架下综合考虑控制输入和系统响应的基础上设计损失函数,并通过迭代优化方法使损失值最小化。
施加到系统中的控制输入。
在下一个时间点处切换至新状态后循环执行上述步骤。
(1)优点:综合考虑了车辆动态特性,在控制精度方面较传统PID控制更具优势,并能在多种性能指标要求下灵活应用。
(2)缺点:整体上较为复杂,在系统调参方面需要投入较多工作量,并且实现起来较为困难。
参考资料
模型预测控制(MPC)精彩解析
<>
<>
该文章详细内容可参考:
基于模型的预测控制理论及其计算机模拟研究
