【control】模型预测控制(MPC)
系列文章目录
待完成项:完成所有文章的整理工作
文章目录
- 文章目录
-
前言
-
MPC概述
-
MPC的应用领域
-
基于MPC的足式机器人反作用力控制研究
-
基于MPC的无人车运动控制系统
- 预测模型构建
- 实时优化算法设计
- 反馈校正环节开发
-
3.基于模型预测控制(MPC)的动态运动规划
-
-
总结
-
参考资料
-
前言
认知局限,在遇到问题时希望能与各位共同探讨并共同进步。
本文主要涉及模型预测控制(MPC)技术的核心思想和应用领域概述。具体内容将随后详细讲解,请关注后续更新。此外,请参考我的其他文章内容以获取更多信息。
提示:以下是本篇文章正文内容
机器人机器人的轨迹跟踪控制相关内容及博客信息,请您关注专栏: <>
移动机器人规划控制合集(此集合内容丰富): <>
足式机器人与机械臂控制技术集成这一项非常全面的集合: <>
一、模型预测控制(MPC)介绍
基于复杂数学优化设计的先进控制器运行过程主要包括三个关键阶段:第一阶段需要构建车辆动态模型;第二阶段则通过优化算法计算预设时间段内的控制指令序列;第三阶段将该指令序列施加至系统中以实现持续监控与调节。每一次循环都会重复上述步骤以维持系统的稳定运行
二、模型预测控制(MPC)的应用场景
1.基于模型预测控制(MPC)的足式机器人反作用力控制
MIT的四足机器人,腿部反作用力预测
.
.
2.基于模型预测控制(MPC)的无人车油门刹车和方向控制
防盗标记–盒子君hzj
防盗标记–盒子君hzj
防盗标记–盒子君hzj
模型预测控制(MPC)旨在将复杂的时间跨度优化问题分解为多个较短时间段内的优化任务,并在此过程中寻求整体上的最佳解决方案。其主要由以下三个核心要素构成:
- 预测模型:该模型具备在短期内准确预判系统状态变化的能力。
- 最优性准则:通过设定明确的目标函数和约束条件来衡量和优化系统的性能。
- 更新机制:定期根据实时数据更新模型参数和计算结果以确保准确性。
滚动在线优化过程:利用某种最优算法对近期时间段内的控制量序列进行处理……使预测模型在该控制下的输出尽可能接近参考值。
3、反馈校正:到下一个时间点根据新的状态重新进行预测和优化
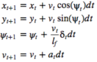
(1)预测模型
选取自行车模型作为示例,在此基础上进行轨迹计算和状态推断工作:通过计算来确定车辆轨迹;基于当前时间点的状态信息推断下一时间点的车辆状况。

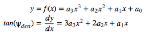
轨迹模型以3阶多项式模型为例,对X求导即为车身角度ψ的正切:

.
.
(2)在线滚动优化
假设我们给出一组控制参数,按照控制模型,会得到一个控制预测轨迹,
我们希望这组轨迹与控制目标相吻合,并涉及运动模型(非线性)变换过程。我们掌握一条3阶多项式,并需将其转换为油门转角参数。中间的模型参数均需进行建模处理以实现目标控制。
我们已经掌握了控制目标的形式(是一系列轨迹数据或是三次多项式的表达)。通过运用控制系统理论推导出适当的控制参数设置。设定相应的性能指标函数作为评估标准。
首先提到的一种误差函数反映了模型预测轨迹与参考线之间的偏差程度。我们的核心任务是确定一组参数(涉及油门与刹车参数以及方向盘角度),以使误差函数达到最低值。

在上文中我们仅专注于未来10个时间间隔内模型的预测结果分析,并因此确定i变量的限定区间为(1,10) 。
此外,在损失函数中增加额外项的能力非常强大。例如,在每个时间点上施加速度平方差作为额外约束项,则可以实现对车辆在各个位置运行状态的有效控制。

为了确保变化平稳,在试图避免油门系数剧烈变化的情况下,在损失函数中引入一项(\delta_{\text{current}} - \delta_{\text{previous}})^2

损失函数能够进一步优化;当损失函数设计得更为科学时,模型的控制量将更好地满足乘坐舒适性的需求。
(3)反馈校正
该系统可被描述为一种基于反馈的优化控制系统。具体而言,在经过最优化算法计算出一系列最优控制指令后,这些指令会被发送至车辆执行机构,随后系统会持续监测并反馈其当前位置及运动状态 zt。这一状态信息会被同时传递给路径规划模块和MPC控制器。路径规划系统会根据最新的车辆位置数据,结合感知装置提供的实时环境信息以及地图数据库中的预先生成道路网络,重新计算新的行驶路线。而MPC控制器则会基于新的目标轨迹和当前车辆的状态信息计算出下一阶段的最佳行动。需要注意的是,在实际系统中,反馈机制的工作周期通常设定得比预测时间短。

.
3.基于模型预测控制(MPC)的动态运动规划
深蓝学院
线性MPC可以作为入门
工程情况下,一般场景都是用非线性MPC的
深蓝学院
线性模型预测控制可作为入门技术
在工程应用中,通常采用非线性模型预测控制
无论是线性MPC问题还是非线性MPC问题,在本质上都在于求解优化问题,并且它们的解决途径各有不同。
总结
模型预测控制往往可以分解成如下几步:
从时间点t出发,在随后的a个时间段内预测系统的输出行为。
基于模型生成的控制信号与对应输出信号为基础构建损失函数,并通过调整控制变量实现损失函数的最小化。
将预处理后的控制变量输入至系统中进行处理。
待到达下一个时间点时,在新的状态依次重复上述步骤。
(1)优点:基于车辆模型的分析能够显著提升精度,并适用于多种不同形式的性能指标。
(2)缺点:相较于传统方法而言更具复杂性,并涉及较多参数,实现起来更为困难。
参考资料
模型预测控制(MPC)的相关教学视频展示
<>
<>
链接地址:
该文详细阐述了基于预测性的模型控制(MPC)方法的理论框架和实践应用。文章深入探讨了该方法在系统建模和优化过程中的关键步骤,并结合实际案例展示了其在复杂工业环境中的有效性。
对Model Predictive Control(MPC)技术的概述与应用分析
