Deep Uncertainty Quantification: A Machine Learning Approach for Weather Forecasting论文解读
这篇论文提出了一种基于深度学习的天气预报方法,称为深度不确定性量化(DUQ)。该方法通过融合历史气象观测数据和数值天气预测(NWP)数据,利用深度学习模型同时实现单值预测和不确定性量化。论文指出传统方法因初始状态设置不当导致结果不理想,而DUQ通过提出新的负对数似然误差(NLE)损失函数,显著提升了预测的准确性和可靠性。DUQ不仅能够提供点估计,还能生成连续区间预测,适用于时间序列回归问题。实验结果表明,DUQ在气象数据预测任务中表现优于传统非深度学习模型,验证了其高效性和稳定性。
摘要
天气预报通常采用Numerical weather prediction(NWP,数值计算)方法来进行预报,然而这种方法因初始状态设定不当而导致预测效果欠佳。本研究开发了一个数据驱动型的方法,在经过优化的信息整合机制辅助下,从融合的历史NWP数据中进行模型训练。将天气预报问题建模为端到端的深度学习框架,并提出了一种新的负对数似然损失(NLE)作为优化目标,以实现天气预报的不确定性量化。该方法的优势在于能够同时完成单一预测任务及不确定性评估,并命名为深度不确定性量化(DUQ)。
贡献
第一,本文提出了一种深度学习和信息融合机制,该机制能够应用于气象数据预测问题。该方法首次将气象历史观测数据与 NWP 结合,用于处理气象数据预测问题。
第二,本文采用 NLE(Negative log-likelihood)损失函数进行模型训练,相较于 MSE、MAE 等损失函数,NLE 在提升点估计的一般化能力方面具有显著优势。值得注意的是,本文并非采用传统的贝叶斯深度学习(Bayesian deep Learning,BDL),而是采用深不确定性量化机制(deep uncertainty quantification,DUQ)。这种选择的目的是为了更好地与当前主流的深度学习框架(如 Tensorflow 和 PyTorch)实现无缝融合,从而提升实际应用效果。此外,本文还采用反向传播机制(BP)进行模型优化,以进一步提高训练效率和模型性能。
第三,除了进行基本的点估计外,DUQ还能够支持连续区间预测。这表明,本文提出的方法不仅适用于气象数据预测,还可以推广到其他时间序列回归问题。
第四,本文提出了一种有效的深度集成策略,能够大大提升预测的准确度。
方法
问题描述
基于一定数量气象站的历史观测数据以及NWP提供的初步天气预报,我们进行了相关分析。针对每个气象站,我们持续关注天气预报,以模拟未来地面状况。正式定义如下:
(1)历史观测的气象时间序列:

,N1表示特征个数,e_i为一种气象元素,t=1,2,.....T_E;
(2)另一个特征序列包括时间步长,气象站ID和NWP天气预报:

,N2表示特征个数,t=T_E+1,T_E+2,.....T_E+T_D;
(3)目标气象变量的groundtruth:

,N3表示特征个数,t=T_E+1,T_E+2,.....T_E+T_D;
根据以上,最终定义为:

任务定义
根据问题描述中的最终定义,给定输入序列

预测的输出为

,使它不断接近groundtruth

,真实的Y在估计近似Y的一个区间

内,并满足一个容忍可能性。
这项研究的灵感来源于现实世界中的天气预报竞赛。在进行比较研究时,研究者特别关注的时间段是当天的3:00至15:00,因此T_D的取值为37。研究的目标输出变量共有三个维度,包括2米高程的温度t_2m、2米高程的相对湿度rh_2m以及10米高程的风速w_10m,因此N3的值为3。
模型结构

encoder

基于利用历史气象观测时间序列,我们获得表示c的值。论文中说明c是从历史真实数据中提取出的气候动力学系数,并将其作为decoder的初始状态。
decoder
基于现有技术的改进,解码器的输入包含气象站ID、时间ID以及数值天气预报(NWP)数据。在气象站ID和时间ID之后,增加了两个Embedding层,以获得embedding representation。
基于上述编码器解码器结构将产生连续的点估计

用于

预测

以及方差

用于估计区间

。
DUQ在每个时间步长估计两个值,分别对应预测的平均值和方差,用于表示高斯分布的参数。在计算NLE时,必须基于合理的假设。
learning phase
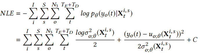
在学习阶段中,DUQ方法通过每个时间步长的预测来估计两个参数:均值和方差,这些参数用于参数化形式表示高斯分布。本文采用NLE作为损失函数,NLE基于合理的假设计算高斯分布的具体参数,计算公式如下所示:

改写说明
inference phase
训练后,可以针对任意输入值计算统计推理如下:

实验
本文利用中国气象局公开数据进行实验验证,通过采用不同的回归模型和深度学习模型,对本文提出算法的有效性进行测试。同时,针对参数选择、损失函数选择以及是否采用最近气象数据用于深度学习预测等问题,进行了大量的实验验证。

该实验通过单尾配对T检验方法对性能最佳的DUQEsb10模型与其他方法进行了比较,实验结果表展示了基于相关技能得分(the associated skill score,SS)的评估指标。研究发现,基于深度学习的模型(DUQ和Seq2Seq)在预测效果上优于非深度学习的模型(SARIMA、SVR、GBRT)。具体而言,DUQ模型的性能会受到不同深度学习层数和节点数量的影响。DUQnoOBS表示仅应用深度学习模型而未融合近期气象数据动态变化情况的模型,实验结果表明,该模型的预测效果不如融合相关数据的DUQ300-300模型。

以下表格展示了基于 RMSE 的实验结果,由于 RMSE 和 SS 在计算方法上存在显著差异,因此这两个表中不同模型的实验效果呈现出不同的特点。然而,无论采用哪种评估指标,DUQEsb10 深度学习模型都能够实现最优的性能。考虑到气象数据具有显著的波动性,目前没有任何一个模型能够保证在每一天的预测任务中都达到最佳效果,但DUQEsb10 的整体表现依然最为出色,这一优势主要源于其采用的集成学习方法具备较强的稳定性。
