Convolutional LSTM Network: A Machine Learning Approach for Precipitation Nowcasting论文阅读
发布时间
阅读量:
阅读量
一种基于卷积LSTM网络的降水量Nowcasting方法:机器学习视角下的应用研究论文阅读
-
-
- 问题描述:
- 传统LSTM结构
- ConvLSTM结构
-
问题描述:
时空域序列预测问题:需要通过过去的雷达图预测未来的雷达图:

其中,\chi\in R^{P\times M\times N}代表面积范围为M\times N的区域内的P次观测数据;这些观测需要基于过去连续的J次观察结果来推断未来可能出现的K次结果。
该研究采用ConvLSTM架构来分析二维图像间的时空关联。
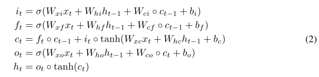
传统LSTM结构
FC-LSTM原理:


其中控制单元i_{t}, f_{t}, o_{t}的值取值范围为0到1之间,并分别代表输入门、遗忘门和输出门;其中c_{t}代表记忆单元;而h_{t}则代表最终状态;输入变量$x_{t}即为上一个时间点的记忆单元和最终状态对当前时间点的状态产生影响。
请注意:这些变量代表1维向量,在这种情况下即为建立一个一维向量与其自身时间序列的关系结构。这些权重矩阵元素W_{xi}对应于输入单元x_i的全连接层操作。
ConvLSTM结构


同样地,在数学表达式中
相较于FC-LSTM而言,在时间步t处的变量表示分别为二维数据集;其中的权重参数W_{xi}与其对应的输入变量之间呈现的是卷积关系;而全连接层则属于另一种不同的结构。
Ref.:
[1] Xingjian, S., et al. (2015). Convolutional LSTM network: A machine learning approach for precipitation nowcasting. Advances in neural information processing systems.
[2] Graves A. Generating sequences with recurrent neural networks[J]. arXiv preprint arXiv:1308.0850, 2013.
全部评论 (0)
还没有任何评论哟~
