论文阅读-Data-driven trajectory prediction with weather uncertainties:A Bayesian deep learning approach
摘要:提出了一个采用经典深度学习方法的确定性轨迹预测模型,利用嵌套卷积神经网络、递归神经网络和完全连接的神经网络处理空间和时间信息。之后,确定性神经网络模型被扩展为贝叶斯深度学习模型,以考虑不确定性,其中参数的后验分布是用变分推理来估计的,以提高效率。根据该地区最后的飞行计划和天气数据,获得平均预测和置信区间。
一、简介
贝叶斯技术被称为是解决过拟合和不确定性量化问题的补救措施。更具体地说,包含贝叶斯变异推理的DL模型,被称为贝叶斯深度学习(BDL),被证明对过拟合问题具有鲁棒性(Lauret等人,2008)。此外,贝叶斯方法不是使用经典DL中模型参数的单一点估计,而是产生每个参数的分布,这提供了预测不确定性的内在估计。因此,我们提出了一种基于贝叶斯深度学习的天气影响下的飞机轨迹概率预测方法。我们构建了多个卷积层、递归层和全连接层,以从历史数据中发现复杂的空间-时间关系。然后应用贝叶斯理论来形成一个概率学习框架。
二、略
三、3.1 详细介绍了FCNN和LSTM
3.2. Probabilistic TP: Bayesian deep learning

对于一个回归问题,模型的训练过程是给出输入序列X={x1,x2,.....},找出使得输出序列Y={y1,y2,.....}和真是结果最接近的模型网络参数值。这个过程,数学化来说,就是求p(w|X,Y),即求在给定输入X的条件下(w在X条件下的条件概率),w和y的联合概率分布。
###################################################################
补充小知识:条件概率、联合概率、边缘概率
条件概率:p(X|Y)---在某一事件已发生的条件下,另外一件事发生的概率。
联合概率:p(X,Y)---两件事情X和Y同时发生的概率,等同于(X=True and Y=True)的概率.

边缘概率:p(X)---虽然很多事情,但只考虑X事件发生的概率。即在联合概率的基础上,把Y的所有情况全部考虑进来,得到此时X的概率。

####################################################################
贝叶斯概率公式:

其中p(w)是先验分布,可以认为设定为一种分布。
p(Y|X,w):这是一个给定数据点X和模型参数w的模型输出的概率模型。
p(w|X,Y):后验分布,在训练完成之后得到的w分布。
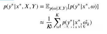
再有新来的test数据后,有:

首先设定q(w)用来近似后验分布,用KL散度来使其和后验分布接近。
引入MC积分是为了近似与数据相关的部分。MC积分的基本概念是用求和代替积分。假设每个潜变量wi都是相互独立的,并且每个潜变量都由一个不同的因子所支配。
在训练时对神经网络的权重进行随机采样k次。则:

四、总体模型

其中,
N:飞行轨迹的数量
L:每一条轨迹的长度,如5s,每秒10帧,那L就为50
W:轨迹的维度,飞机的是3维
D:天气窗口的空间分辨率
C:天气特征数量channel
H:隐藏层维度
模型的输入是天气信息和规划轨迹,输出是预测轨迹。其实模型目的就是为了预测飞机在不同天气状况的影响下,偏离原计划轨迹后的新轨迹。
