第六章 参数估计
这里写自定义目录标题
-
6.1 点估计的方法概述
-
知识点一:点估计的方法
-
子部分一:矩法估计
- K阶原点矩
- sn?样本均值吗?我不太明白。
- K阶原点矩
-
二、极大似然估计
-
作业:
-
6.2点估计的评价标准
-
一、无偏性
-
- 例题
-
-
Sn代表什么?
- 第二部分:有效性的探讨
-
检查作业:
-
视频样本基于n-1而教材样本基于n时出现的数据差异。
-
第六章第三节:区间估计
-
- 当总体方差已知时:
- 当总体方差未知时:t分布的应用
- 那么为何选择\alpha=0.05作为显著性水平?
- 如何理解无偏估计的概念?
- 在构建置信区间的过程中如何确定置信度?
- 那么0.025是如何得出的呢?
- 作业:没彻底搞懂。
- 当总体方差已知时:
6.1 点估计的几种方法

知识点一、点估计的几种方法
一、矩法估计

K阶原点矩

k=1,就是我们要求的数学期望了。
k=2,就是我们的二阶原点矩了。


^代表估计值
theta是真实参数(未知或仅有上帝知晓其确切数值),为了探究theta如何取得这一未知数值的方法论问题,在实际应用中通常只能基于样本数据构建统计量T(x₁,x₂,…,xₙ)用于估计θ(或作为θ的近似值)。在此基础上可引入符号θ^=T(x₁,x₂,…,xₙ)表示该统计量所代表的估计值。




sn?样本均值,没懂

二、极大似然估计


π 就是乘积


exp,高等数学里以自然常数e为底的指数函数。
取对数,指数没有了

第二个式子=0

西格玛的平方=样本的方差。
作业:



估计值,不是真实值。








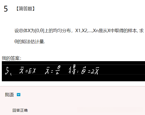
U(a,b)。

6.2点估计的评价标准

一、无偏性

例题


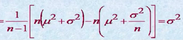
ES^2=

二阶原点矩—一阶原点矩的平方。



Sn是什么?
在数理统计学中,请问符号Sn与S分别代表什么含义?例如,在上述两个公式中,请注意X是从均值为μ、方差为σ²的正态分布中抽取的一个容量为n的样本。


仅在定义阶段采用不同的分母计算方式。
前者属于无偏估计方法。
后者则是矩估计与最大似然估计的结合。
由于两者仅相差(n−1)/n的比例关系,因此在实际应用中具有广泛的适用性。

二、有效性


随机变量和的数学期望 等于 数学期望的和。

上面那个更有效,越小越有效。

作业:

判断A是否是B的无偏估计量,就是求E(A)是不是等于B。

视频(n-1)和教材(n)的样本方差有出入


所以样本方差不是总体方差,就不等于
不是它的无偏估计。
s* 修正后的样本方差。或者叫无偏的样本方差。跟视频定义一样。
6.3 区间估计


估计出来的可信程度是多少?
引入
α是可信度。
再搞了一个可信区间。
θ是统计量。
要让估计的参数,也就是统计量。落在L和U之间。
等于1-α
1.已知时。


样本均值-样本均值的数学期望/
标准差/
这个是标准化。
所以U统计量服从标准正态分布。
u服从正态分布。
1-阿尔法/2可以查表查到。


2.未知时。t分布

服从的不是正态分布。是t分布了。

α为什么是0.05
什么是无偏估计?
unbiased estimator is employed when sample statistics are used to infer population parameters. An estimator is considered unbiased if its expected value equals the true value of the parameter being estimated, thereby fulfilling the criterion of unbiasedness. This statistical property signifies that, across multiple samples, such estimators will on average approximate the true parameter value. Unbiased estimation is particularly valuable in educational testing contexts for assessing student performance.
3.置信区间

0.025怎么来的?



作业:没彻底搞懂。

α=0.95,
求1-α/2,放到t那里


