第六章 参数估计
第六章 参数估计
-
点估计的几种方法:矩估计、最大似然估计、贝叶斯估计
-
- 矩估计-替换原理
- 最大似然估计
-
点估计的评价标准
-
- 相合性
- 无偏性
- 有效性
- 综合:均方误差
- 最小方差无偏估计
-
贝叶斯估计
-
- 引入
- 统计推断的基础
- 贝叶斯公式的密度函数形式
- 贝叶斯估计
-
区间估计
-
-
引入
-
区间估计的概念
-
枢轴量法
-
区间估计
-
- 单个正态总体参数的置信区间
-
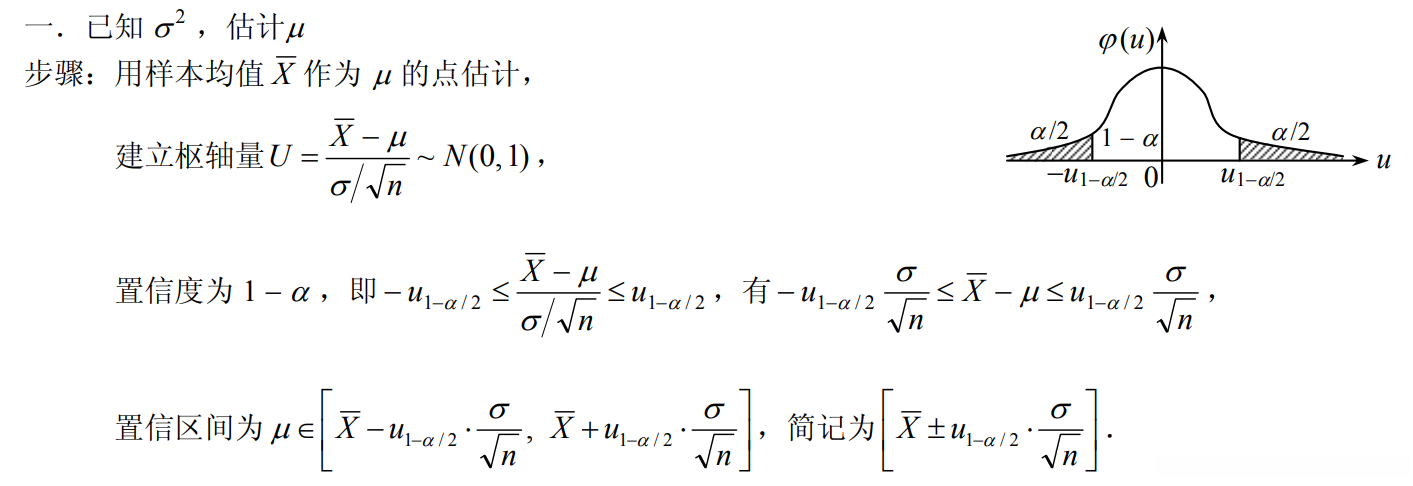
- 一、已知 σ2 ,估计µ
-
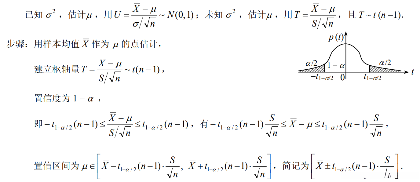
二.未知 σ2 ,估计µ
-
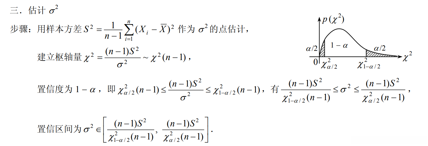
三.估计 σ2
- 两个正态总体下参数的置信区间
-
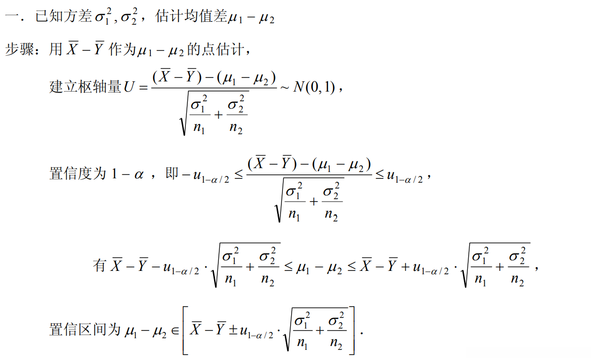
- 一.已知方差 σ12 ,σ22 ,估计均值差µ 1 − µ 2
-
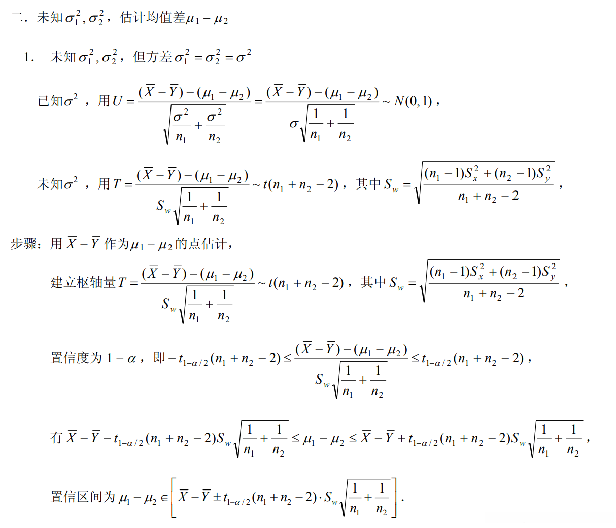
二、未知方差 σ12 ,σ22 ,估计均值差µ 1 − µ 2
-
三、估计方差比
- 大样本场合概率 p 的置信区间
-
实际工作中,对许多随机现象往往是知道其分布类型,但未知其中某些参数.如某全国统一考试的分数近似服从正态分布 N (µ , σ2 ),但参数µ , σ2 未知;又如一场足球比赛进球数近似服从泊松分布 P (λ ),但λ 未知.因此需根据样本对参数作出估计,分为点估计 (point estimation)和区间估计 (interval estimation)两类
点估计的几种方法:矩估计、最大似然估计、贝叶斯估计

矩估计-替换原理

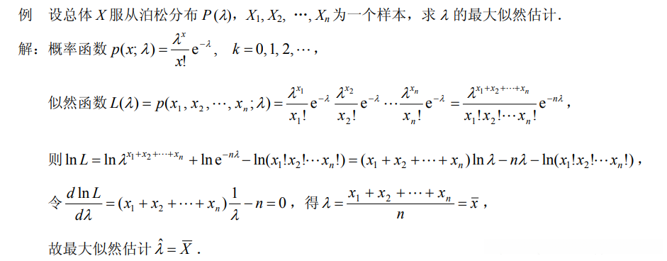
最大似然估计
-
基本原理:样本观测值可能在某参数取各种不同值下发生,使该样本观测值出现的概率最大的参数值作为该参数的估计值.

-
定义

-
估计步骤

-
例子

点估计的评价标准
相合性

判断方法



无偏性


有效性
若几个估计量都是无偏估计,就希望方差越小越好.

综合:均方误差
通常情况下,评价一个估计量的好坏,首先判断是否无偏估计,在无偏估计的情况下再进一步判断有效性.但有时也可以综合考虑无偏性和有效性 ,而考虑其均方误差.
引入例子:

计算公式

最小方差无偏估计
先保证估计量的无偏性,再考虑有效性的评价方法与考虑均方误差的评价方法是两种不同的评价体系,不能简单地认为某种评价方法更好.
这一节是先保证估计量的无偏性,再考虑有效性,讨论方差最小的无偏估计量.




贝叶斯估计
引入

统计推断的基础
传统上,进行统计推断需利用总体信息、样本信息,即总体分布、样本观测值 的信息;
而贝叶斯学派进行统计推断时,除了利用以上两种信息之外,还将利用先验信息,即参数的先验分布
贝叶斯公式的密度函数形式


贝叶斯估计

例子

区间估计
引入

区间估计的概念



枢轴量法



区间估计

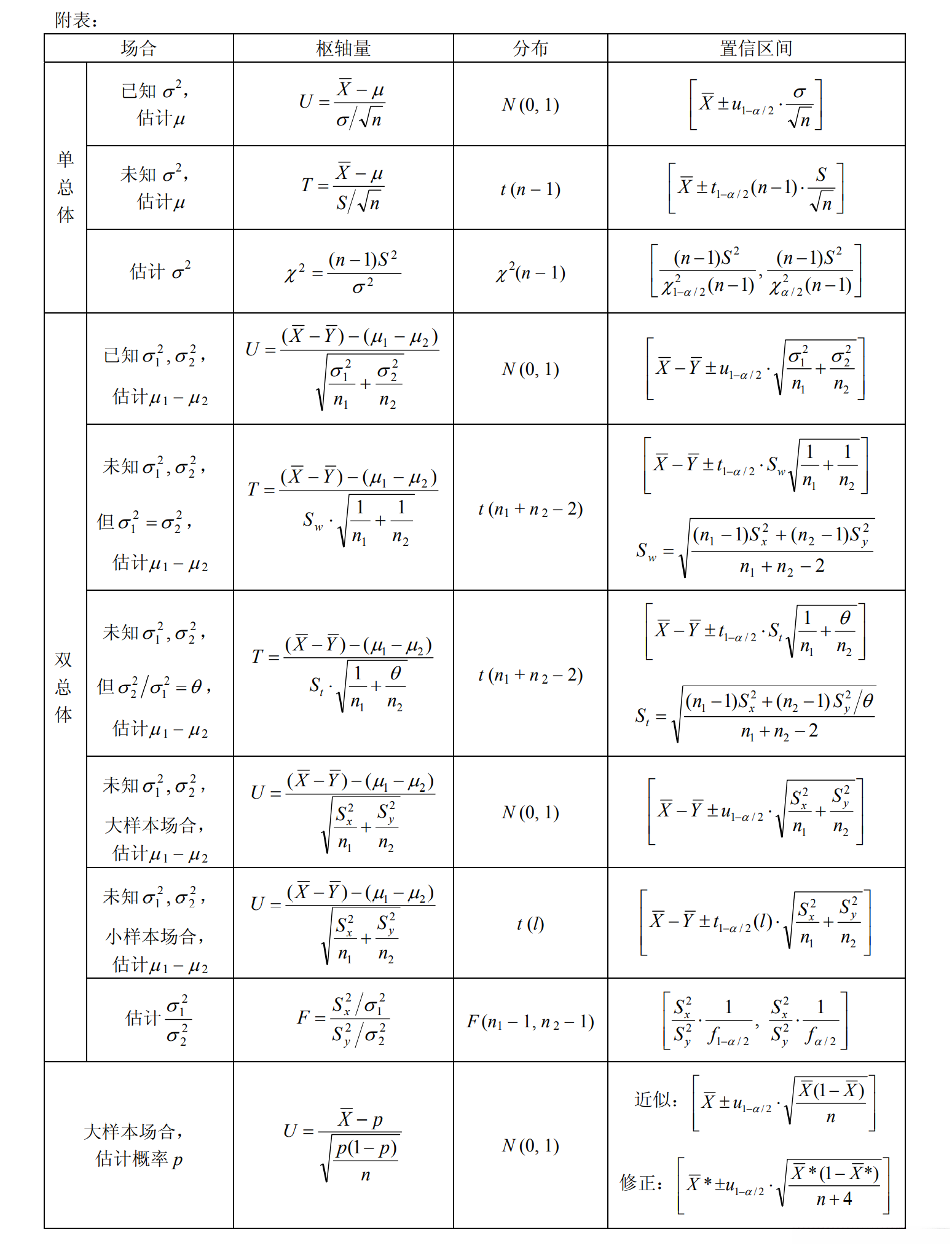
单个正态总体参数的置信区间

一、已知 σ2 ,估计µ

二.未知 σ2 ,估计µ

三.估计 σ2

两个正态总体下参数的置信区间

一.已知方差 σ12 ,σ22 ,估计均值差µ 1 − µ 2

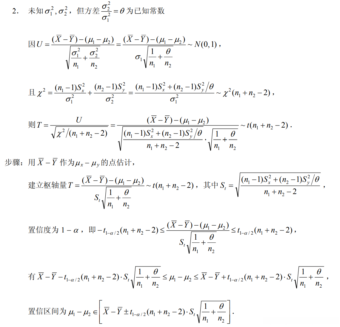
二、未知方差 σ12 ,σ22 ,估计均值差µ 1 − µ 2



三、估计方差比

大样本场合概率 p 的置信区间
当样本容量 n ≥ 30 时,称之为大样本,在大样本场合下,可以用渐近分布构造近似的置信区间,很多情形下就用正态分布进行处理

