n维空间的欧式距离计算公式_机器学习中使用的不同类型的距离

在机器学习中, 我们要进行多种度量. 除了计算两点间的距离, 还可以选择评估这些对象间的相似性, 从而识别出数据中的规律性并进行预测. 我们采用了多种不同的度量方法, 包括欧几里得范数, 曼哈顿范数以及余弦相似度等.
欧几里得距离:

为了计算两点间的直接间距,在几何学中我们采用了欧几里得范数作为度量工具。这种度量方法在实际应用中非常普遍,在航空领域尤其常见于飞机航线长度的计算以及评估两个点之间是否存在显著差异的情况分析中
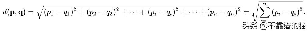
给定点(x₁, y₁)和(x₂, y₂)的位置后,在二维平面上可以通过毕达哥拉斯定理计算出它们之间的距离。分别在x轴和y轴上进行计算:先求出x₂ - x₁与y₂ - y₁这两个差值;接着将这些差值代入勾股定理中得到d = \sqrt{(x₂ - x₁)^2 + (y₂ - y₁)^2};由此得到的距离即为d。如果需要扩展至更高维度,则只需添加一个额外变量即可;例如引入z坐标,则其扩展形式如下所示:
d = \sqrt{(x₂ - x₁)^2 + (y₂ - y₁)^2 + (z₂ - z₁)^2}

曼哈顿距离:

在曼哈顿街道网格中进行的距离计算与欧几里得度量相仿,在其计算方式上存在显著差异:曼哈顿距离等于|x₁-x₂|+|y₁-y₂|](如图所示),其中粉色线条代表欧氏空间中的直线度量标准而蓝色线条则体现了从起始点至终点沿着街道行进的实际路程长度。观察图形可以看到,在二维坐标系下两种度量方法在几何意义上的体现及其适用场景各有侧重:曼哈顿度量特别适用于城市道路网络中的路径规划与交通分析等场景;而欧氏度量则更适合于连续空间中的物理运动分析以及几何形状特征提取等应用领域。这种差异不仅体现在计算公式上还表现在它们对空间关系的理解维度上:曼哈顿度量更加注重沿着坐标轴方向上的分步移动而忽略了斜向移动的可能性;相反欧氏度量则全面考虑了各维度之间的相互关联性从而能够更好地反映空间实体间的绝对位置关系
Minkowski距离:

Minkowski 距离被称为赋范向量空间(n维实空间)中两点间的距离指标或相似性测度,并且它是欧几里得距离与曼哈顿城市交通距离的延伸。基于参数 p 的不同取值,则可以得到不同的具体形式:当 p=2 时对应于欧几里得空间的标准欧几里得距离;当 p=1 时则对应于曼哈顿城市交通的距离计算方式。
在N维空间中,一个点表示为(x1,x2,…,xN)。
考虑两个点P1和P2

当p = 2时,闵可夫斯基距离等于欧几里得距离。
当p = 1时,闵可夫斯基距离等于曼哈顿距离。
范数L1、L2、Ln
L1范数基本上就是曼哈顿距离
L2模基本上是欧氏距离
Ln或l_∞范数基本上是一个向量的最大值。
汉明距离:
由于在分析各类别特征时未对它们进行排序处理, 因此我们无法直接比较各类别的顺序信息, 这导致我们只能判断各类别特征是否存在完全相同的情况。实际上, 我们关注的是不同类别特征之间的相似程度而非严格的顺序关系。汉明距离则衡量了两个数据点在哪些属性上存在差异, 并通过计算配对样本之间的匹配程度, 我们能够得出两者间相似性与差异性具体的比例数值: 该指标越高表示两组数据越接近
no Of MatchAttributes / no Of Attributes
余弦距离和相似度:

该方法是用来评估事物间的相似程度的重要量化标准。
从数学角度而言,
它通过计算这两个向量在高维空间中夹角的余弦值来实现这一目标。
该方法具有显著价值,
因为它能够有效处理那些看似相距较远但实际高度接近的对象。
两向量之间的夹角越小,
其对应的余弦相似度值越大,
这表明两者更为接近。
在推荐系统领域,
该方法常被用于评估事物间的相关性。

结论:
此类别中的各种距离测量都旨在判断两事物之间的相似程度或接近程度,并以此来分析数据中的模式特征。通过本文内容希望能够帮助您更好地理解机器学习中所涉及的各种不同距离的运用机制。
