Python机器学习 - 【公式】欧式距离、曼哈顿距离、闵氏距离和余弦距离
全部评论 (0)
相关文章推荐
Python机器学习 - 【公式】欧式距离、曼哈顿距离、闵氏距离和余弦距离
欧氏距离: 曼哈顿距离: 下图中红线代表曼哈顿距离,绿色代表欧氏距离,也就是直线距离,而蓝色和黄色代表等价的曼哈顿距离: 闵氏距离: p=1时:曼哈顿距离 p=2时:欧氏距离 参考资料: 百度百科:曼...
余弦相似度、欧式距离、闵氏距离、曼哈顿距离、切比雪夫距离。
向量空间(线性空间)与欧式空间: 联系:线性空间中的向量对应于欧几里得平面中的点,在线性空间中的加法运算对应于欧几里得空间中的平移。 1、线性空间:是数学上的向量空间;解析几何里引入向量概念后,使许多...
学习笔记 | 欧式距离、曼哈顿距离、余弦距离
01欧氏距离 02曼哈顿距离 曼哈顿距离也叫出租车距离,用来标明两个点在标准坐标系上的绝对轴距总和。 被称为出租车距离是因为在像纽约曼哈顿区这样的地区有很多由横平竖直的街道所切成的街区(Block),...
机器学习---常见的距离公式(欧氏距离、曼哈顿距离、标准化欧式距离、余弦距离、杰卡德距离、马氏距离、切比雪夫距离、闵可夫斯基距离、K-L散度)
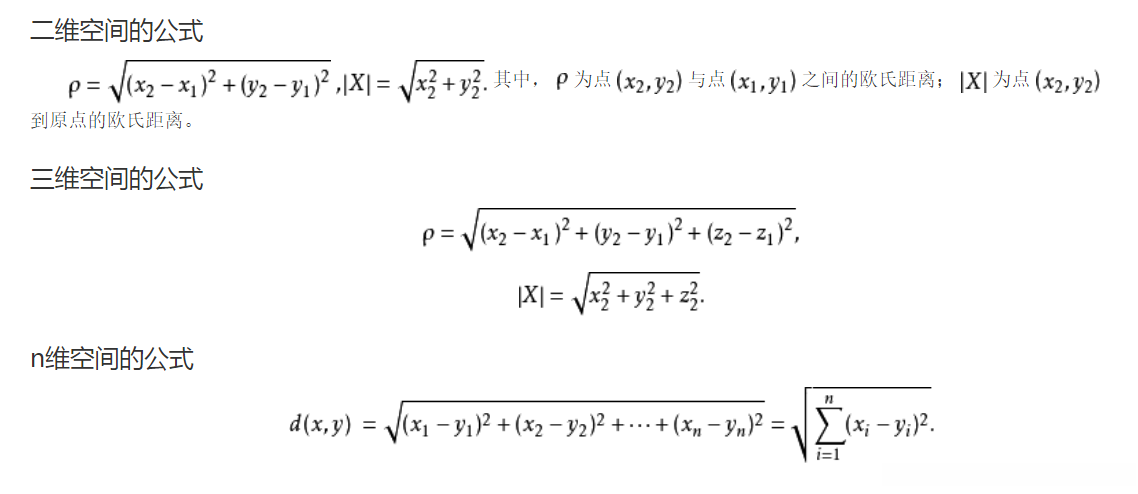
1\.欧氏距离 欧几里得度量(euclideanmetric)(也称欧氏距离)是一个通常采用的距离定义,指在m维空 间中两个点之间的真实距离,或者向量的自然长度(即该点到原点的距离)。在二维和三维空间...
机器学习部分:距离的度量(欧氏距离,曼哈顿距离,夹角余弦距离,切比雪夫距离,汉明距离,闵可夫斯基距离,马氏距离)
在数据挖掘中,我们经常需要计算样本之间的相似度Similarity,我们通常的做法是计算样本之间的距离,本文对距离计算方法做以下总结。 距离计算方法 1.欧式距离EuclideanDistance 欧...
欧式距离余弦相似度matlab,相似度计算——欧氏距离,曼哈顿距离,闵可夫斯基距离,汉明距离,夹角余弦...
在机器学习领域,被俗称为距离,却不满足三条距离公理的不仅仅有余弦距离满足正定性和对称性,但是不满足三角不等式,还有KL距离KulbackLeiblerDivergence,也叫作相对熵不满足对称性和三...
数据的距离度量 一、欧式距离,曼哈顿距离,闵氏距离,切比雪夫距离,兰氏距离,马氏距离
数据的距离度量一、欧式距离,曼哈顿距离,闵氏距离,切比雪夫距离,兰氏距离,马氏距离 前言 欧式距离 标准欧式距离 曼哈顿距离 闵氏距离 切比雪夫距离 兰氏距离 马氏距离 前言 本篇记录一下常用的数据距...
各种距离 欧式距离、曼哈顿距离、切比雪夫距离、闵可夫斯基距离、标准欧氏距离、马氏距离、余弦距离、汉明距离、杰拉德距离、相关距离、信息熵...
1\.欧氏距离EuclideanDistance 欧氏距离是最容易直观理解的距离度量方法,我们小学、初中和高中接触到的两个点在空间中的距离一般都是指欧氏距离。
曼哈顿距离与欧氏距离
定义 曼哈顿距离 对于一个具有正南正北正东正西方向规则布局的地图来说,从一点到达另一点的距离正是在南北方向上移动的距离加上在东西方向上移动的距离,因此,曼哈顿距离又称为出租车距离。简称为:两个点在标准...
相似度计算——欧氏距离,曼哈顿距离,闵可夫斯基距离,汉明距离,夹角余弦
模式识别、机器学习、数据挖掘当中的各种距离总结 在做分类时常常需要估算不同样本之间的相似性度量SimilarityMeasurement,这时通常采用的方法就是计算样本间的“距离”Distance。采...




