Dual Graph Convolutional Networks for Graph-Based Semi-Supervised Classification
Dual Graph Convolutional Networks for Graph-Based Semi-Supervised Classification
- Introduction
-
- Local Consistency Convolution:ConvA
- Global Consistency Convolution:ConvP
- 整合局部和全局一致性
Introduction
这篇文章的主要思想,是基于半监督学习的两个基本假设 :
- (1)局部一致性 :距离比较近的数据,通常有相同的标签;
- (2)全局一致性 :处在相似的上下文中的数据,通常有相同的标签。如下图所示,该图卷积网络包括两个通路,ConvA嵌入了半监督分类局部一致性的信息,是一个传统的图卷积过程;ConvP 嵌入了半监督分类全局一致性的信息,是作者的一个创新点。在两个通路后,作者设计了一个新的Loss 函数,可以将局部一致性和全局一致性完美结合,取得一个好的实验效果。

Local Consistency Convolution:ConvA
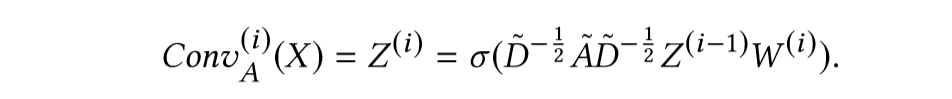
convA 的计算公式如下:

- \tilde{A} = A + I_N 是无向图G的自环邻接矩阵。
- I_N是单位矩阵。
- \tilde{D}_{ii} = \sum_j \tilde{A}_{ij} 是\tilde{A} 的度矩阵。
- W^{(i)}是可训练的权重矩阵,即网络的参数。
- \tilde{D}^{-\frac{1}{2}}\tilde{A}\tilde{D}^{-\frac{1}{2}}是对邻接矩阵A的归一化
- \sigma(\cdot)是激活函数,比如ReLU。
- Z^{(i)} \in \mathbb{R}^{N \times D}是第i层的激活矩阵,即网络的输出。
- Z^{(0)}=X第一层为输入。
对邻接矩阵进行归一化处理,可以很好的在每一层中进行1-hop\ diffusion\ process。但是,只使用局部一致性会使得一部分并不属于一类的点距离很近,以至于被错误的分为一类。
举例
按局部信息进行计算,8与30距离很近,但实际标签一个为红一个为绿,标签不同。因此为解决这个问题,引入全局一致性信息,引入了ConvP

Global Consistency Convolution:ConvP
作者使用随机游走的策略 ,生成频率矩阵,进而生成PPMI矩阵。PPMI矩阵可以很好的嵌入语义信息,利用数据的全局一致性。
获得频率矩阵 F:
-
(1)确定节点的随机游走长度\gamma,采样次数w,初始化频率矩阵F值为0。
-
(2)以节点x_i为起点,开始以0为步长随机游走,得到所有可能的情况,表示为点对集合S=\{{(x_n,x_m)}\},接着以等式(8)作为概率采样w次,得到w对点对。
-
(3)对于点对(x_n,x_m),在频率矩阵中对应位置F_{n,m},F_{m,n} 对应加1。
-
(4)将游走步长1逐渐变化到\gamma,循环(2)(3)步骤。
-
(5)对于所有的节点,执行(2)(3)(4)步骤得到频率矩阵F。
伪代码如下:

马尔可夫链描述了随机游走所访问的节点的顺序,通常被称为随机游走。每个节点的转移概率可以由等式(8)计算得到:

构建PPMI矩阵P:


-
ConvP的热度图想对于ConvA有所不同
-
通过t-stochastic\ neighbor\ embeddings(SNEs)对结果进行比较,8与30距离有所增大
PPMI介绍



-
除了这个以外,我们还可以在加入拉普拉斯平滑


整合局部和全局一致性

DualGCN伪代码如下:

DGCN :Dual Graph Convolutional Networks for Graph-Based Semi-Supervised Classification
https://github.com/ZhuangCY/DGCN
