Semi-Supervised Classification with Graph Convolutional Networks简介
发布时间
阅读量:
阅读量
SEMI-SUPERVISED CLASSIFICATION WITH GRAPH CONVOLUTIONAL NETWORKS
摘要
文章呈现了一种可缩放的半监督学习方法,利用卷积神经网络变种来进行图结构数据的学习。通过spectral graph convolution(谱图卷积)的局部一阶近似来确定卷积网络结构。隐藏层的表示是通过编码局部图结构以及结点特征来进行。
介绍
作者主要贡献:
- 介绍了一个简单且表现良好的层向的传播规则对于神经网络模型
- 证明基于图的神经网络能被快速且可缩放的半监督分类
Graph中的快速卷积
具有以下分层传播规则的多层图形卷积网络(GCN):

- \tilde{A}=A+I_N是带自环的邻接矩阵
- \tilde{D}_{ii}=\sum_j \tilde{A}_{ij}
- W^{(l)}为权重
谱图论
根据傅立叶转换得到:

但是计算过于昂贵,后续改进,利用切比雪夫多项式得出:

\tilde{L}=\frac{L}{\lambda_{max}}-I_N,这个公式是K阶多项式,K代表中央节点与离最远的点K步
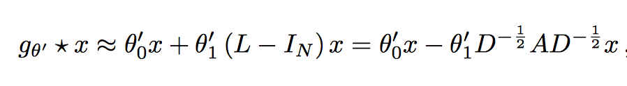
首先,我们将分层卷积操作限制为K=1,即关于L是线性的,因此在拉普拉斯谱上有线性函数。然后令\lambda_{max}=2可得:

令\theta=\theta_0'=-\theta_1',又可得:

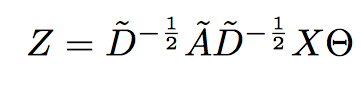
根据文中提到的I_N+D^{-\frac{1}{2}}AD^{-\frac{1}{2}}\rightarrow\tilde{D}^{-\frac{1}{2}}\tilde{A}\tilde{D}^{-\frac{1}{2}},此处\tilde{A}=A+I_N以及\tilde{D}_{ii}=\sum_j\tilde{A}_{ij},最终得出:

半监督结点分类
整体思路如下:

误差计算如下:

实验结果

可以参考我的github来看看源代码,如有错误,欢迎交流。
全部评论 (0)
还没有任何评论哟~
