Semi-Supervised Classification with Graph Convolutional Networks
发布时间
阅读量:
阅读量
Semi-Supervised Classification with Graph Convolutional Networks
- 1、简介
- 2、图上的快速近似卷积
- 3、谱图卷积
-
- 3.1 原始GCN
- 3.2 加速版本的GCN
- 3.3 线性模型
- 3.4 实例
1、简介

我们考虑在图形(例如引用网络)中对节点(例如文档)进行分类的问题,其中标签仅可用于一小部分节点。 这个问题可以被定义为基于图的半监督学习,其中标签信息通过基于图的显式正则化 在图上平滑。例如 通过在损失函数中使用图拉普拉斯正则化项:

- L_0是图的监督损失。
- L_{reg}是图的拉普拉斯正则化。
2、图上的快速近似卷积

- \tilde{A} = A + I_N 是无向图G的自环邻接矩阵。
- I_N是单位矩阵。
- \tilde{D}_{ii} = \sum_j \tilde{A}_{ij} 是\tilde{A} 的度矩阵。
- W^{(l)}是可训练的权重矩阵,即网络的参数。
- \sigma(\cdot)是激活函数,比如ReLU。
- H^{(l)} \in \mathbb{R}^{N \times D}是第l层的激活矩阵,即网络的输出。
- H^{(0)}=X第一层为输入。
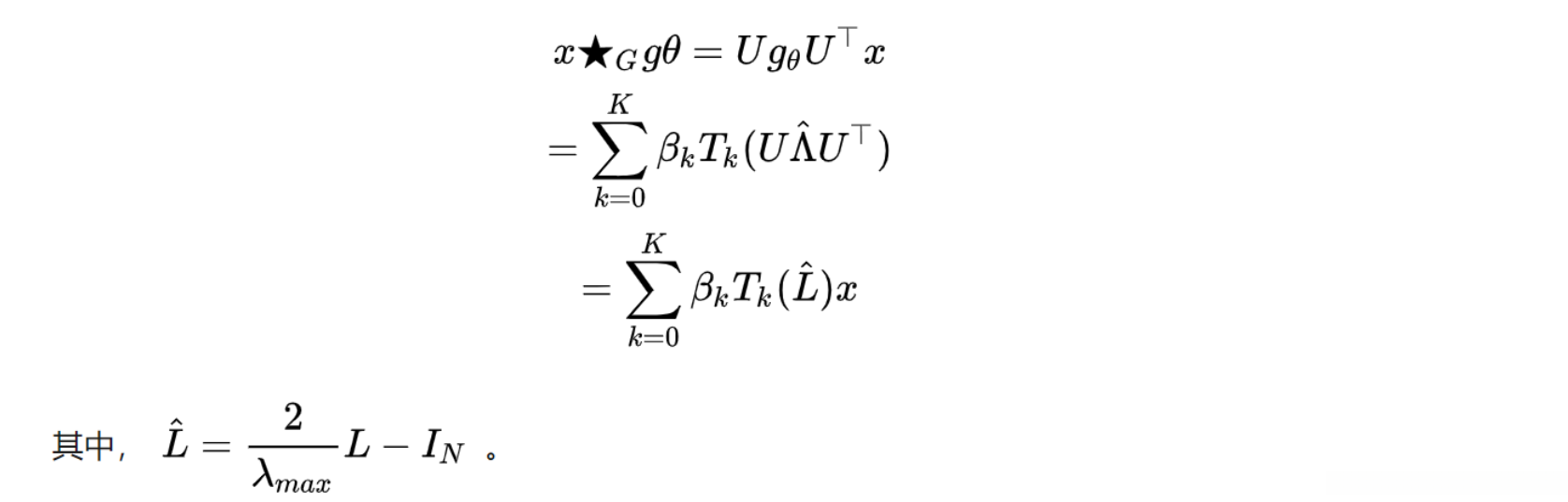
3、谱图卷积
3.1 原始GCN

3.2 加速版本的GCN

3.3 线性模型

其中:
所以:
\tilde{L}~=\frac{2}{λ_{max}}L−I_N=L−I_N
正则化的拉普拉斯矩阵(Symmetric normalized Laplacian),定义为:



3.4 实例



该框架还支持对每个具有邻接矩阵的多个图实例(可能具有不同的大小)进行批量分类。 最好将各个特征矩阵连接起来,并建立一个(稀疏的)块对角矩阵,其中每个块对应一个图实例的邻接矩阵。 对于池化(对于图级输出而不是节点级输出),最好指定一个简单的池化矩阵,该矩阵从各自的图实例中收集要素,如下所示:

全部评论 (0)
还没有任何评论哟~
