毫米波雷达:信号处理
1 前言
专栏之前的文章中详细阐述了基于深度学习的毫米波雷达感知算法。从目前的趋势来看,感知算法主要采取基于Range-Angle-Doppler(RAD)数据的基础分析方法来提取特征并去除噪声。
如何通过原始雷达接收器获取RAD数据?这属于传统雷达信号处理领域。尽管当前深度学习已成为感知算法的主要方法,但当我们使用RAD数据作为神经网络输入时,深入理解传统信号处理方法对于掌握现代技术至关重要。事实上,在许多依赖深度学习的应用中都是将神经网络与传统雷达信号处理相结合的结果。
雷达信号处理涉及复杂的技术和细节,在深入学习之前确实需要一定的专业知识基础。这篇文章旨在提供一个初步了解,并且专注于自动驾驶领域中常用的FMCW(Frequency Modulated Continuous Wave)雷达技术。为了更好地理解本文内容,请掌握基本数字信号处理方法,并了解离散傅里叶变换的方法基础之后……都能很好地理解毫米波雷达的工作原理。
2 雷达的分类
雷达利用无线电定位技术实现多种目的性探测与识别功能,并采集关于目标位置和其他相关信息的数据。其基本工作原理是通过主动发射电磁波照射目标,并通过接收回波来计算距离、径向速度、方位角以及高度信息。此外,在实际应用中根据不同的分类标准可以区分出多种类型的雷达。
根据波长的不同划分来看的话,则可分为两类:一类为中频雷达(LF),其工作频率在30MHz至300MHz之间;另一类为高频雷达(HF),其工作频率在300MHz至3GHz之间
根据不同的波形类型, 可以将雷达分为脉冲式 radar 和连续式 radar. 脉冲式 radar 通过发送与接收之间的时差来计算目标距离, 但无法测得目标速度. 这一原理与激光测距技术 (LiDAR) 具有高度相似性. 在持续发射过程中, 其工作频率随时间不断调整, 并且在传输过程中始终保持连贯性, 从而形成了独特的频率调制模式.

标题不同波形的雷达
本文旨在介绍一种基于连续调频波(FMCW)的技术实现毫米波雷达的工作原理及其应用价值。该技术也是当前自动驾驶领域中广泛使用的主流传感器之一。
3 信号处理
在探讨具体的信号处理步骤之前,需要先阐述FMCW雷达的信号是如何生成的。这一流程主要包含4个步骤。
合成器生成一个连续调频脉冲。
发射天线(TX )发射连续调频脉冲。
接收天线(RX )捕获目标对连续调频脉冲的反射。
混频器将 RX 和 TX 信号合并到一起,生成 一个中频(IF)信号。

标FMCW雷达的信号生成流程题
接下来我们将详细阐述第1步至第4步,并无需过多赘述相比之下, 第2步至第3步较为直接
该系统负责生成连续的调频脉冲序列。如图所示,在单个脉冲周期内,信号的频率随着时间线性递增(即线性调频信号)。尽管如此,并非只有线性变化的方式;关键在于信号频率的变化机制。在如图所示的例子中,默认起始频率f_c设定为77 GHz,在持续时间为T_c(通常称为一个Chirp周期)的一段时间内逐步升至81 GHz。在这一过程中所涉及的具体参数包括:该雷达系统的带宽B定义为在一个Chirp周期内频率的变化范围(此处为4 GHz),而其带宽随时间的变化速率S则计算为4 GHz除以40 μs的时间间隔(结果为100 MHz/μs)。

标题线性调频脉冲信号
混频器将输入端的发送与接收信号进行结合,并生成一个具有独特频率的新波形(称为中频信号IF)。如图所示,在接收端与发送端所接收到或发出的各个参数均存在差异性特征(这些参数具体由目标物体的距离与运动速度共同决定,在后文将会做详细介绍)。此处通过混频器的作用将这两个不同参数叠加合并在一起形成一个新的综合参数——即新的频率特征与相位特征分别对应着原始发送与接收端之间的Δf值以及Δ∅值等特性参数。在此基础上展开后续所有的数据处理工作就是本章的主要工作内容之一:即从该综合性的中间状态出发去解析识别出被观测目标所具有的距离信息(对应的Δf)、运动速度信息(对应的Δ∅)以及多组接收天线所提供的方位角度信息等关键参数信息。

标题混频器输出的中频信号
3.1 目标距离估计
我们从单目标场景出发,在此假设中仅考虑一对发射与接收天线。在这种情况下,接收与发射信号的时间差τ等于2倍的目标距离r除以光速c(即τ = 2r/c)。通过结合时间差τ以及频率变化率S来计算出频率差值∆f(即∆f = τ × S),从而建立了接收信号频谱中心位置与目标距离之间的关系:将这些关系代入后可得出目标距离r的计算公式为r = (∆f × c) / (2 × S)。在这个公式中c与S均为固定参数值因此目标距离r与其对应的IF信号频谱中心偏移量∆f呈正比关系
对于单个目标而言,在雷达系统中其最大探测距离取决于IF(已知频移)的最大值。然而这个值又受两个关键因素制约:一是信道带宽以及二是 IF 信號抽樣速率。第一个方面较为直观——即发送与接收时频差永远不可能超过信道带宽范围(即Δf < B)。而对于第二个方面则需借助数字通信理论中的抽样子定理来进行理解:简单而言就是要完整恢复原始信息,则必须满足采样定理要求(即Δf < Fs/2)。根据前面推导的距离计算公式以及结合上图中的发射参数设置可得:当Δf < B时所对应的最远测量距离为6公里;而当Δf < Fs/2时所能检测的最大距离仅为38.4米(假设N=2048)。由此可见在实际应用中最大的探测能力往往由 IF 信號抽樣速率这一限制所决定
当面对多个目标时(面对多个目标),RX 天线接收到来自各个目标的反射信号(各个反射波到达接收天线的时间差不同)。换句话说(换句话说),经过混频后的基带 Intermediate Frequency (IF) 信号(混频后的基带 IF 信号)并不包含单一频率成分(并不只是单一频率成分),而是一个由这些不同频率成分叠加而成(由这些不同频率成分叠加而成)。对其执行傅里叶变换分析(对其执行傅里叶变换分析),其傅里叶变换将显示出若干个明显的峰点分布(其傅里叶变换将显示出若干个明显的峰点分布)。每一个显著峰的位置对应于特定距离处的目标位置(每一个显著峰的位置对应于特定距离处的目标位置)。根据每个峰所对应的频率值就可以计算出相应的目标距离(根据每个峰所对应的频率值就可以计算出相应的目标距离)。
为了解释这一关键的技术原理,请引入距离分辨率这一重要概念。它即为雷达能够分辨出两个不同目标之间的最小可区分距离。为了实现这一目标,请考虑采用基于傅里叶变换的距离域快速傅里叶转换(FFT)技术。由于我们采用了基于傅里叶变换的距离域快速傅里叶转换(FFT)技术,则问题转化为确定该转换能够分辨出多大的频率间隔。根据傅里叶变换理论,在固定观测时间窗口T的情况下,则存在一个最小可分辨频率间隔Δf_min=1/T(单位为THz)。因此,在实际应用中需满足Δf1-Δf2>Δf_min=1/Tc(其中Tc表示单个Chirp的时间窗长度)。依据前面推导得到的测距公式,则需满足相应的目标间距差值Δr必须大于等于c/(2STc)=c/(2B)(其中B代表信号带宽)。由此可见,在Chirp信号参数的选择上存在权衡关系:若希望提高距离分辨率,则需增大信号带宽;或者在保持频率变化率不变的前提下延长Chirp信号的时间窗长度Tc以增加带宽B=Δf_max-Δf_min. 以上分析所采用的发射信号实例表明:当选用4GHz带宽时,则对应着约3.75cm的距离分辨率能力。
3.2 目标速度估计
FMCW雷达具备显著特点即能准确计算目标速度。为了实现速度测量的目的需采用多个调频脉冲信号亦即多个Chirp信号为此我们采用两个Chirp信号作为基础来阐述单目标速度估计的方法随后将其推广至多目标情况
如图所示, 假设雷达发射了两个线性调频脉冲, 每个脉冲占用的时间为Tc。通过混频器处理后, 我们得到了两个特定的IF信号x₁和x₂。若目标移动速度为10m/s, 则在一个单个Chirp周期(例如Tc=40μs)内, 物体与目标之间的距离变化量仅为约0.4毫米。由于这个微小的距离变化对Δf的变化程度影响不大, 因此我们合理地认为这两个IF信道的频率特性基本保持一致, 即Δf₁≈Δf₂

标两个连续的调频脉冲信号以及相应的中频信号题
我们进一步分析了这两个IF信号的相位特性及其相位差异关系。其相位差异与其对应的时间差τ有关(即Δ∅ = 2πfτ = 2πcτ/λ = 4πr/λ),这一关系也可类比于前文介绍的频率差计算Δf = τS。(注:此处推导过程略去)由于τ相对于主周期Tc来说非常小(可近似认为频率f是恒定值),因此两个IF信号之间的相位变化量可表示为Δ∅₁ - Δ∅₂ = (4π(r₁ - r₂))/λ = (4πv·Tc)/λ(其中v代表目标运动的速度矢量)。由此可得公式推导如下:当目标速度达到10米/秒时会产生约0.4π弧度的相位变化
基于以上分析,目标的速度将导致两个IF信号的相位发生显著的变化。我们可以通过观察这种相位变化来估算速度v=(\Delta\phi_1 - \Delta\phi_2) \cdot \lambda / (4\pi T_c)。其中\Delta\phi_1 - \Delta\phi_2的绝对值必须小于\pi以确保无歧义性,即|\Delta\phi_1 - \Delta\phi_2| < \pi。由此可推导出最大测量速度为v < \lambda / (4T_c)。当取T_c = 40μs时,则测量速度范围限定在[-25 m/s, 25 m/s]之间。
当面对多个目标时
类似距离估计中存在的分辨率概念,在速度估计中也同样适用这一概念
3.3 目标角度估计
除了距离和速度之外, 另一个关键的信息就是目标相对于雷达的角度θ, 如图所示. 为了精确估计角度θ, 通常需要布置多个接收天线阵列. 不同接收天线与目标之间的距离差异将直接影响到接收到的信号时序发生差异. 接收信号的频率基本保持恒定, 这是因为所有接收到的信号都是基于以毫米刻度量的接收天线间距d进行运算得到的结果, 相对于目标位置所处的距离r来说, 这种间距变化可以忽略不计.

目标的角度估计示意图标题
图中蓝色线条代表目标与不同接收天线之间的距离差∇r, 红色线条则表示接收天线之间的间距d. 两者的关联关系可用方程∇r = d sinθ来表达. 此外, 我们也可以用相位差来描述这一关系: Δφ₁ - Δφ₂ = 2πΔr/λ (这部分内容可参见速度估计模块中的相位差计算方法). 根据这两个关键等式, 我们可以得到角度估计的基本公式: θ = arcsin[λ(Δφ₁ - Δφ₂)/(2πd)]. 类似于速度估计的过程, 相位差的绝对值必须满足|Δφ₁ - Δφ₂| < π, 这样才能确保测量结果具有唯一性. 因此, 角度测量的有效范围即为雷达的视场角: θ < arcsin(λ/(2d)). 当距离d等于λ的一半时, 雷达能够测量的最大视场角为±90度.
为了测量目标的方向,在雷达系统中至少需要两个接收装置。当多个目标同时存在时(尤其是当它们的距离和速度完全一致),仅用两台设备将难以分辨多个目标。为了提高测量精度(即角度分辨率),系统必须具备足够的传感器数量(即接收器个数)。让我们深入探讨这一结论背后的原理)。
在多路接收到的情况下,任何两个相邻接收到的信号之间的相位差均为\omega。如图所示,假定共有四个接收到的天线,以第一个接收到的信号作为基准点,其后续三个接收到的信号分别比基准点超前\omega、2\omega以及3\omega的角度相差值。这些序列信号所对应的频率即为\omega,基于此分析结果,在频域中我们可以通过快速傅里叶变换(FFT)来识别这一特定频段

基于多个接收天线的角度估计标题
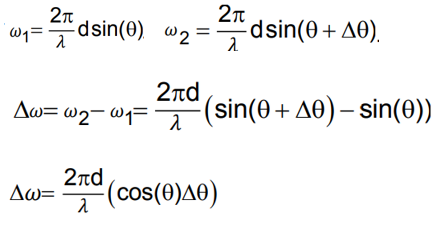
该公式简要阐述了角度分辨率的计算方法。假设场景中有两个目标物点,在方向角θ和平移量∇θ处形成分布,则相应地在信号中会产生两个相位增量ω₁和ω₂。基于三角函数的基本性质可知,在微小角度变化下有sin(θ + ∇θ) - sin(θ) ≈ cos(θ)∇θ这一近似关系成立;因此这两个相位增量之间的差异最终可被表示为:Δω = 2πd/λ * cos(θ) * ∇θ的形式。

基于傅里叶变换理论,在K点进行FFT处理时所能辨别的最小频率分量大小为2π/K(弧度),其中K值代表接收天线的数量。通过这一计算结果我们可以得出可分辨出的最小角度差异值即为此系统的角分辨率。

一般情况下,在雷达系统中我们选择参数d设为λ的一半(即d=λ/2),并将θ设为0°(即boresight方向),亦即雷达系统的中心方向指向目标。此时对应的角度分辨率公式为∇θ> 2/N°(弧度)。从上述公式可以看出,在其他条件不变的情况下(即不考虑天线数量的影响),角度分辨率主要取决于两个因素:一是目标的方位角;二是天线的数量。其中,在boresight方向上(最佳方向),系统的角度分辨率达到最佳值;当观察目标逐渐偏离这一最佳方向时,在一定范围内(即在雷达的有效覆盖范围之内),其角度分辨率会逐渐降低。第二个因素则是直接影响系统性能的关键因素:当接收天线数量增加时,在保证其他条件不变的前提下(如保持相同的雷达参数设置下),系统的最小可分辨角度也会随之提高。按照上述理论计算可知:使用两台接收天线时可实现约57°的角度分辨能力;而当使用4、8、16台接收天线时,则分别能达到约28°、14°和7°等更好的分辨效果
在每一帧周期内,发射系统会发送M个Chirp信号。每个Chirp信号的采样点数为N。相应的接收端有K个接收天线组,在接收过程中会产生K组反射信号。通过混频器处理后,在中频域(IF)得到了一个复合信号。该复合信号具有三维结构特征:行数对应接收通道数目K、列数对应Chirp数量M以及深度维度对应采样点数N。分别对三个维度依次应用快速傅里叶变换(FFT)算法即可提取目标特征信息:距离参数由第一个维度推导得出、速度参数由第二个维度计算得到以及角度参数则来自第三个维度的数据处理结果。生成的目标回波数据矩阵即为此处介绍的那种密集层状数据格式;不过需要注意的是,并非所有算法都需要显式地执行三次FFT运算:例如可以选择保留Chirp时序维度并利用神经网络模型来直接提取速度信息;或者选择保留天线空间分布特性并采用神经网络模型来识别目标角度信息等方法也可以被采用以优化计算效率或提升模型性能

3.4 点云生成
RDA数据始终保持较高的密度。
为了获得毫米波雷达中常用的点云数据,
必须对原始RD(A)数据执行进一步的稀疏化处理。
这种稀疏化操作通常发生在range和doppler维度经过快速傅里叶变换(FFT)之后,
即直接作用于RD(A)数据。
此时原因在于:
除了传统的快速傅里叶变换(FFT)之外,
角度估计中经常采用高分辨率算法如改进型阵列成像算法(IIA)、MUSIC等。
这些算法计算量较大,
因此,在实际应用中,我们通常会先对RD map执行稀疏化处理并剔除冗余噪声信息,
随后仅在其上的有限样本中计算角度估计结果。
如果以每个RDA(或RD)数据块中的cell为中心对应一个点,则整个数据集实际上对应于一个连续的空间分布。由于该数据具有密集分布的特点,则需要从其中抽取所需的空间特征。在毫米波雷达的数据中,则每个空间位置都有对应的能量反馈值(即RCS值)。基于此特性,在实际应用中一种高效可行的方法就是设定固定的能量阈值来进行特征提取。
然而,在这种情况下我们该如何选择合适的阈值呢?如图所示的一个一维示例x轴代表位置y轴代表能量值其中绿色标记的目标点与红色标记的噪声点相对应我们的研究目的是为了最大限度地保留那些重要的目标特征并有效去除那些干扰性的噪声数据在图像左侧有两个候选阈值选项当设置较大的阈值T₁时几乎所有的噪声数据都会被剔除但与此同时也会导致大量关键的目标信息丢失相反如果选择较小的阈值T₂则能够在一定程度上平衡这两者之间的关系既保留了大部分的目标特征又不至于过度去噪
为了解决这一难题而出现的CFAR算法是一种基于动态调整阈值的技术。如图所示右侧部分该算法通过动态调整阈值来实现对关键目标的有效保留同时最大限度地去除噪声数据。

CFAR算法正是基于这一理念而被设计出来的,在此我们将深入探讨具体实施的方法。为了便于理解这个概念,在这里我们依然采用一维数据作为示例来进行说明。对于每一个输入数据中的单元体(如图中以绿色标注的部分),我们需要完成的主要步骤包括以下几个方面:首先计算该单元体邻近区域的所有能量平均值;将该平均能量数值乘以一个预设的比例因子后与当前单元的能量数值进行比较分析;最后根据比较结果判断该区域属于目标点还是背景噪声区域
在这一阶段中, 动态阈值是根据邻居单元数据计算得出, 其作用相当于调节噪声的影响程度. 图中用黄色标注出的一组单元被定义为保护单元, 这些单元不在邻居平均值计算中考虑, 因此需要将当前处理区域与这些邻居区域进行比较分析. 这是因为, 在CFAR算法的设计中, 每个邻居单元都代表了一个潜在存在的噪声斑块, 并且每个这样的斑块都会对当前处理区域产生影响. 然而, 实际场景中存在的目标具有一定的尺寸特征, 因此围绕待处理区域周围必然存在部分真实的的目标斑块. 为了平衡这两者之间的关系, CFAR算法会设立一个保护层, 该层内的所有单位都不参与平均值得计算过程. 这个保护层宽度通常是固定的数值设定, 并且可以通过预先了解的目标类型特性来进行调整: 如车辆类目标应设置较大的范围, 行人类目标则应设定较小

参考文献
[1] 德州仪器 毫米波雷达传感器基础知识 https://www.ti.com/cn/lit/pdf/zhcy075
[2] 德州仪器 MIMO Radar https://www.ti.com/lit/pdf/swra554
