agv ti 毫米波雷达_毫米波雷达基础


来源:果壳机动(ID:NutshellMotor)
本文翻译自TI的技术文献:
毫米波(mmWave)是一种使用短波电磁波的特殊雷达技术。雷达系统发射电磁波信号,然后反射其路径中的物体。通过捕获反射信号,雷达系统可以确定物体的范围,速度和角度。
毫米波雷达传输波长在毫米范围内的信号。这被认为是电磁波谱中的短波长,并且是该技术的优点之一。实际上,诸如处理mmWave信号所需的天线之类的系统组件的尺寸很小。短波长的另一个优点是高精度。工作在76-81 GHz(相应波长约为4 mm)的毫米波系统将能够检测小到几分之一毫米的运动。
完整的毫米波雷达系统包括发射(TX)和接收(RX)射频(RF)组件;模拟组件,如时钟;和数字组件,如模数转换器(ADC),微控制器(MCU)和数字信号处理器(DSP)。传统的系统采用分立元件实现,这增加了功耗和整体系统成本。
由于复杂性和高频率,系统设计具有挑战性。德州仪器(TI)已经解决了这些挑战,并设计了基于互补金属氧化物半导体(CMOS)的毫米波雷达设备,这些设备集成了TX-RF和RX-RF模拟组件(如时钟)和数字组件(如ADC,MCU和硬件加速器)。 TI 毫米波传感器产品系列中的一些系列集成了DSP,可提供额外的信号处理功能。
TI器件采用了一种称为频率调制连续波(FMCW)的特殊毫米波技术。顾名思义,FMCW雷达连续传输频率调制信号,以测量距离以及角度和速度。这与传统的脉冲雷达系统不同,后者周期性地传输短脉冲。
范围测量
雷达系统的基本概念是物体在其路径中反射的电磁信号的传输。在FMCW雷达中使用的信号中,频率随时间线性增加。这种类型的信号也称为啁啾。
图1 显示了啁啾信号的表示,其大小(幅值)是时间的函数。

图2 显示了相同的啁啾信号,频率随时间变化。
啁啾的特点是起始频率(fc),带宽(B)和持续时间(Tc)。啁啾捕获频率的斜率变化率(S)。在图2提供的示例中,fc = 77GHz,B= 4GHz,Tc =40μs并且S = 100MHz /μs。

FMCW雷达系统发射啁啾信号并捕获其路径中物体反射的信号。
图3 表示FMCW雷达的主要RF部件的简化框图。
雷达的工作步骤如下:

• 合成器(synth)生成啁啾声。
• 啁啾由发射天线(TX天线)发射。
• 物体对啁啾的反射会产生由接收天线(RX天线)捕获的反射啁啾。
• “混频器”将RX和TX信号组合在一起,产生中频(IF)信号。
混频器是一种电子元件,它将两个信号组合在一起,以新频率创建一个新信号。
对于两个正弦输入x1和x2(公式1和2):

输出xout的瞬时频率等于两个输入正弦波的瞬时频率之差。输出xout的相位等于两个输入信号的相位差(公式3):

通过将TX和RX啁啾频率表示视为时间的函数,也可以图形化地理解混频器的操作。
图4 中的上图显示了TX和RX啁啾作为检测到单个对象的时间函数。请注意,RX啁啾是TX啁啾的延时版本。
时间延迟(t)可以在数学上导出为公式4:

其中d是到被检测物体的距离,c是光速。
为了获得由混频器输出的IF信号时间函数表示的频率,在图4中给出了两条线。这两条线之间的距离是固定的,这意味着IF信号有恒定的频率。 图4示出了该频率为Sτ,IF信号仅在TX啁啾和RX啁啾两者重叠的时间区间内有效(即,图4中的垂直虚线之间的区间)。

作为时间的幅度函数的混频器输出信号是正弦波,因为它具有恒定的频率。
IF信号(Φ0)的初始相位是对应于IF信号开始时刻的TX啁啾的相位与RX啁啾的相位之间的差值(即,图4中由左侧垂直的虚线表示) (等式5):

数学上,它可以进一步导出公式6:

总之,对于距离雷达d的物体,IF信号是正弦波(等式7),即:

其中f0 = S2d/c,Φ0 = 4πd/λ
到目前为止的假设是雷达只检测到一个物体。让我们分析检测到多个目标的情况。图5显示了从不同目标接收的三种不同的RX啁啾声。每个啁啾的不同时间延迟与该物体的距离成比例,不同的RX啁啾转换为多个IF音调(Tone),每个音调具有恒定的频率。

这个由多个音调组成的IF信号必须使用傅里叶变换处理,以便分离不同的音调。傅里叶变换处理将产生频谱,每个频谱具有不同音调的独立频率波峰,表示不同距离的目标。
*此公式是近似值,仅在坡度和距离足够小时才有效。 然而,IF信号的相位仍然是线性地响应距离的小变化(即,Δf=4πΔd/ l)。
**在这篇介绍性白皮书中,我们忽略了IF信号频率对物体速度的依赖性。 这在快速FMCW雷达中通常是一个小的影响,并且一旦处理了多普勒FFT,就可以很容易地校正。
范围分辨率
范围分辨率是区分两个或更多目标的能力。 当两个物体靠近时,雷达系统在某些时候将无法将它们区分为单独的物体。 傅立叶变换理论表明,可以通过增加IF信号的长度来提高分辨率。
为了增加IF信号的长度,还必须按比例增加带宽。 增加IF信号的长度以显示具有两个单独波峰的IF频谱。
傅里叶变换理论还指出观察窗口期(T)可以解析间隔超过1 / THz的频率分量。 这意味着只要频率差异满足公式8中给出的关系,就可以在频率上解析两个IF信号音:

Tc是观察间隔。
由于 Δf = S2Δd/c,等式8可以表示为:
Δd > c/2STc = c/2B (B = STc)
距离分辨率(dRes)仅取决于啁啾扫描的带宽(公式9):

因此,具有几GHz的啁啾带宽的FMCW雷达将具有厘米量级的范围分辨率(例如,4GHz的啁啾带宽转换为3.75cm的距离分辨率)。
速度测量
在本节中,让我们使用相量表示法(距离,角度)来表示复数。
为了测量速度,FMCW雷达发射间隔为Tc的两个啁啾。 通过FFT处理每个反射的啁啾以检测物体的距离(距离 - FFT)。 对应于每个啁啾的距离-FFT将在相同位置具有峰值,但具有不同的相位。 测量的相位差对应目标的运动vTc。

公式10的相位差由公式6导出:

使用公式11导出速度:

由于速度测量基于相位差,因此存在模糊性。 仅当| ΔΦ |

公式12表示由间隔Tc的两个啁啾测量的最大相对速度(vmax)。 较高的vmax要求啁啾之间的间隔时间较短。
同一距离内多个物体速度测量
如果在测量时具有不同速度的多个移动物体在距离雷达相同的距离处,则双啁啾速度测量方法不起作用。由于这些物体处于相同的距离,它们将产生具有相同IF频率的反射啁啾。因此,距离FFT将产生单峰值,其表示来自所有这些等距物体的组合信号。简单的相位比较技术是行不通的。
在这种情况下,为了测量速度,雷达系统必须传输两个以上的啁啾声。它传输一组N个等间距的啁啾声。这组啁啾被称为啁啾帧。图7显示了啁啾帧的频率随时间的变化。

下面使用与雷达等距但具有不同速度v1和v2的两个物体的示例来描述处理技术。
距离FFT处理反射的啁啾集合,产生一组N个相同位置的峰值,但每个峰值具有不同的相位,包含来自这两个目标的相位贡献(来自每个目标的相位贡献由图8中的红色和蓝色相量表示。

在N个相量上执行第二个FFT,即多普勒FFT,以解析两个对象,如图9所示。

ω1和ω2对应于各个目标的连续啁啾之间的相位差(等式13):

速度分辨率
离散傅立叶变换理论告诉我们,如果Δω = ω2 - ω1 > 2π/N 弧度/样本,则可以解析两个离散频率ω1和ω2。
由于Δω也由等式10定义,如果帧周期Tf = NTc,则可以在数学上导出速度分辨率(vres)(等式14):

雷达的速度分辨率与帧时间(Tf)成反比。
角度检测
角度估计
FMCW雷达系统可以估计反射信号与水平面的角度,如图10所示。该角度也称为到达角(AoA)。

角度估计基于以下观察:目标距离的微小变化导致距离FFT或多普勒FFT的峰值的相位变化。该结果用于角度估计,使用至少两个RX天线,如图11所示。从目标到每个天线的差分距离导致FFT峰值的相位变化。相变可以估算AoA。

在此配置中,相位变化可以导出数学公式15:

在平面波阵面的基础上,基本几何结构表明Δd = lsin(θ),其中l是天线之间的距离。因此,可以使用公式16从测量的ΔΦ计算到达角(θ):

请注意,ΔΦ取决于sin(θ)。这称为非线性依赖。只有当θ值很小时,sin(θ)才用线性函数近似:sin(θ)~θ。
结果,估计精度取决于AoA,并且当θ值较小时更准确,如图12所示。

最大视角
雷达的最大视角由雷达可以估计的最大AoA定义。见图13。

明确的角度测量需要| Δω | <180°。使用等式16表示为:2πlsin(θ)/λ
等式17示出了间隔开的两个天线可以服务的最大视角是:

两个天线之间的间距 l = λ/2的最大视角为±90°。
以下有广告嫌疑,但是图还不错,所以我保留了。

德州仪器mmWave传感器解决方案
如您所见,FMCW传感器能够通过结合使用RF,模拟和数字电子元件来确定附近物体的范围,速度和角度。
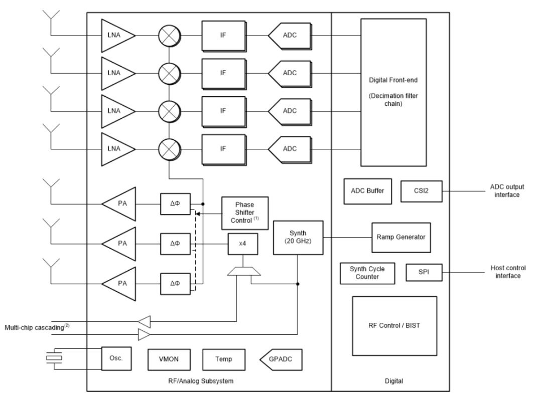
图14是不同组件的框图。

TI通过将DSP,MCU和TX RF,RX RF,模拟和数字组件集成到RF CMOS单芯片中,为FMCW传感领域带来了创新。
附图一张:某雷达芯片的硬件框图:




