混合波束赋形|Deep-Learning-Based Millimeter-Wave Massive MIMO for Hybrid Precoding
混合波束赋形|Deep-Learning-Based Millimeter-Wave Massive MIMO for Hybrid Precoding
摘要:
采用数模混合结构的毫米波 Massive MIMO 能够显著降低系统的硬件复杂度和能量消耗。但是其存在的问题是现有的混合波束预编码方法计算复杂度较高。文章提出了一种基于深度学习的混合预编码方法,利用深度神经网络(DNN)建立映射关系。通过仿真验证,文章提出的方法能够有效得提高BER和频谱效率且能一定程度上降低系统的计算复杂度。
一、简介
作为5G最重要的技术之一,毫米波通信能够在利用高频带资源的同时也带来了很高的路径损耗。毫米波 Massive MIMO是一种有效的能够增加系统吞吐量的方法。在现有的方法中,仍然存在模拟预编码器的非凸限制和如何利用毫米波 Massive MIMO结构特征的挑战。最近,利用深度学习的新的预编码方法被提出来解决混合预编码系统中存在的问题。深度学习能够有效的应对大量的数据以及复杂的非线性问题。
本文的主要贡献 如下:
1. 将深度学习引入混合预编码过程;设计出一个DNN模型作为预编码器(黑盒子),利用每一层的激活函数建立最终的映射关系。
2. 提出基于深度学习的混合预编码结构;DNN通过模型训练获得混合预编码结构的特征以及降低计算复杂度。
在文章的后几个章节,作者也拿出了仿真结果以验证所设计的混合预编码结构的有效性。
二、系统模型
考虑典型的毫米波 Massive MIMO系统,在基站处配置
根发射天线以及在移动台处配置
根接收天线,数据流数为
。RF链数分别为
和
。他们的约束关系可以表示为



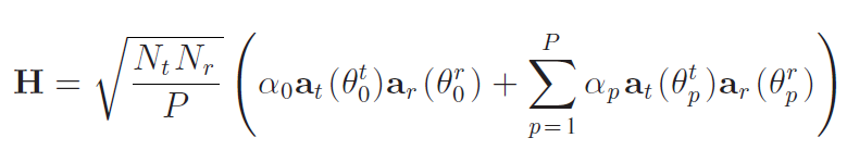
。信道模型采用经典的SV模型构造,信道矩阵
可以表示为:

关于毫米波信道的建模过程,请参见 O. E. Ayach, S. Rajagopal, S. Abu-Surra, Z. Pi, and R. W. Heath, “Spatially sparse precoding in millimeter wave MIMO systems,” IEEE Trans.Wireless Commun., vol. 13, no. 3, pp. 1499–1513, Mar. 2014. 此处不做赘述。模拟域预编码器表示为
,数字域预编码器表示为
,整个混合预编码器因此表示为
。发射信号表示为:

发射信号需要满足发射端功率限制(仿真时应做好功率归一化处理)。因此可以得到接收信号为:

其中
为端的合并矩阵,合并矩阵也同发射端相同采用混合架构,
表示数字域合并矩阵,
表示模拟域合并矩阵,
。模拟域合并矩阵也受移相网络的硬件限制,在实际设计中需要满足恒模限制。
三、提出的基于深度学习的混合预编码方案
A. 提出的深度神经网络结构
深度神经网络(DNN)是目前最流行的深度学习结构,DNN被看作是一种多层的感知器,和传统的卷积神经网络(ANN)相比,DNN利用许多隐藏层来增强学习和映射的能力。常用的两种激活函数分别为ReLU和Sigmoid函数,其表达式为
和
。DNN输入和输出的映射关系可以表示为:

其中
表示神经网络的层数,
表示神经网络的权重值,
表示神经网络的输入数据。下图展示了本文提出的深度神经网络的结构。

神经网络每一层的具体参数配置请参考原文。在提出的深度神经网络的输入层和隐藏层中,激活函数均使用
函数。在输出层,为了满足发射功率限制,激活函数被定义为:

B.学习规则
提出的预编码方法建立在信道矩阵的GMD分解上,根据其定义信道矩阵可以重写为:

其中
为半酉矩阵,
为半酉矩阵,
是上三角矩阵。这里我们将
作为发射端的预编码矩阵,
作为接收端的合并矩阵,因此接受信号可以表示为:

根据GMD分解的性质,定义q_{i,i}=(\delta_1, \delta_2, ..., \delta_N_{s})^{\frac{1}{N_{s}}}为最大的
个奇异值(根据GMD分解的性质,他们应该是相等的,其值为信道矩阵H的非零奇异值的几何平均值),
表示
矩阵中的元素。在训练阶段的损失函数我们取:

这里表示基于GMD的模拟预编码矩阵,表示基于GMD的数字预编码矩阵。由于模拟域的硬件限制,模拟预编码矩阵需要满足恒模限制,表示为:

根据以上的原理,DNN的结构可以表示为:

表示输入与输出的映射关系,
表示样本数据集。接下来简要描述算法的整个流程。参与训练的信道矩阵根据SV模型随机产生(原文描述为随机产生的AOA和AOD)。首先我们初始化
和
为空矩阵,在不断地通过DNN迭代更新偏差值后,能够使得
不断逼近
。在算法流程中,使用随机梯度下降算法(SGD)。详细的算法请参考下面表格:

根据以上流程可以看到,文章提出的深度学习结构和其它一些文章提出的深度学习结构有一点小区别。在本文提出的方案中,数字预编码矩阵和模拟预编码矩阵都通过梯度下降参与了训练;而在另一些文章中,混合预编码方案为仅通过神经网络训练得到模拟预编码矩阵,再通过已知的全优数字预编码矩阵求伪逆的方法直接得到数字预编码矩阵。
C. 复杂度分析

其中,文献[3]中所描述的Spatially sparese precoding method即为正交匹配追踪的混合预编码方法(OMP)。和表中两种方法相比较,文章提出的基于深度学习的混合预编码方案在复杂度上有着明显的优势。这里的复杂度分析,在考虑本文提出的基于深度学习的预编码方案时并没有纳入深度神经网络训练阶段的复杂度计算。一定程度上讲,用深度学习或者机器学习的方法和传统的使用迭代的方法比较不算公平。换句话讲,基于深度学习或者机器学习的方法的计算复杂度分流至了模型的训练阶段和模型的部署阶段,而传统的迭代方法的计算复杂度全部集中在预编码方案的部署阶段,因此对于两类算法的复杂度分析不能简单而论。
四、仿真结果分析
仿真参数设置请参见原文,此处仅列举部分仿真结果及分析。
仿真一:

该仿真将几种传统的方法与本文提出的方法进行了对比。在低信噪比下,本文提出的方法性能优势不明显但在高信噪比下,提出的方法性能比基于SVD的方法性能好得多。
仿真二:

在对频谱效率进行仿真时可以看到,提出的基于深度学习的混合预编码方法比传统的OMP预编码方案的性能增益大得多。

根据MSE的仿真结果,提出的基于DNN的预编码方案和OMP算法性能接近,实际系统中得到的混合预编码矩阵能够充分逼近全优数字预编码矩阵。
此处仅罗列了三种我自己比较关心的性能指标,未罗列的请参见原文。
五、结论
略
