线代 | 线性代数的本质 本质 本质 nature
Regrettably, no one can explain what the Matrix is. It cannot be imparted to anyone. The Matrix must be experienced firsthand ---Morpheus
如墨菲斯所言:个人必须自行深入研究矩阵的本质与应用。
线性变换是几何空间中的一种重要工具,在变换过程中能够确保网格线既平行又均匀分布,并且始终保证坐标原点的位置不变;
2. 矩阵乘法可以视为一种基向量的线性组合
3. 矩阵乘法可被用来实现线性变换对特定向量的作用 ,以二维空间中的情况举例说明:当对单位基向量施加一定线性变化时,则是通过应用特定的线性变换来确定其变化后的具体位置。在此过程中,则是将这些新位置坐标构建为一个矩阵。特别地,在这种情况下,则是将每个列作为代表变化方向的基础元素出现。
矩阵被定义为一种线性变换的基础概念,在后续的学习中将有助于掌握矩阵乘法运算、行列式的计算方法以及基向量的转换和特征值的分析。
一、向量
1.1 向量的三种形式
A.箭头(物理)
通过箭头表示法得到的向量包含了两个基本维度:长度和方向。这些特性在向量平移过程中保持恒定不变。因此这种表示方法使得向量可以在空间中任意位置实现相应的几何关系描述。
B.有序的数字列表(计算机)

C.将上述两种观点结合(数学)
向量可以表示任何东西,** 只要保证相加、相乘是有意义的** 。
在数学分析和线性代数领域中通常将向量定义为从坐标系原点出发的空间元素;与之不同的是,在物理专业中通常使用带有箭头的方式表示向量,并非固定起始点。
箭头的表示形式、列表的表现形式、点在空间中是一一对应的 【坐标】 ,如下图:


在学习线性代数的过程中,矢量的运算(加法和乘法)在其研究领域中扮演着十分关键的角色,并且这些基本概念在整个学习过程中占据核心地位。
下面介绍两种基本的运算:
1.2 向量加法
向量加法就是对应位置的元素相加。


通过向量平移的方式计算:

这是在线性代数中,唯一允许向量离开原点的情形。

我们可以将向量相加看成一种特殊的运动形式 :

1.3 向量乘法

在数学中,我们将向量的数乘称为“缩放Scaling ”

二、线性空间、张成的空间&基
2.1 线性组合

线性组合的各种情况:
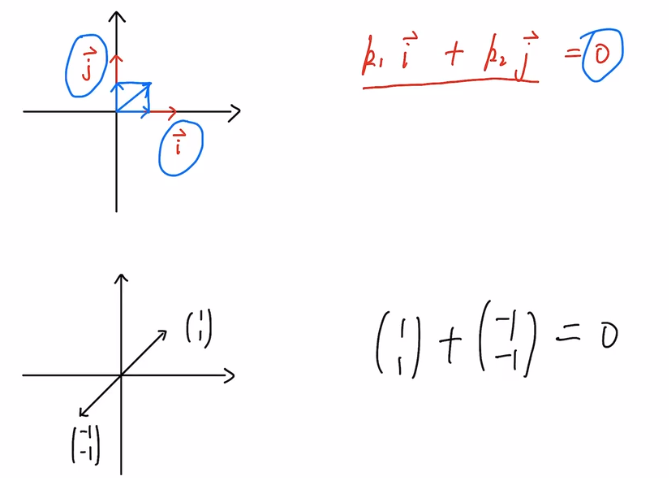
- (线性概念)选定一个非零向量v₀,并对任意向量k₁v₀进行缩放操作,则这些操作结果对应的端点全部位于同一条直线上;
- 当我们将两个非零向量v₁和v₂自由平移时,则它们的加法运算结果能够覆盖所有可能的空间中的相应位置;
- 当两个非零向量v₁与v₂处于同一方向(即共线)时,则它们的所有加法运算结果都会集中于穿过原点的一条直线上;
- 当这两个被选中的初始非零基底均为零向量时,则它们的所有线性组合始终位于原点位置。
2.2 张成的空间、线性相关与线性无关






几何意义:两个向量能否抵消

物理意义:力是否可以抵消

线性组合对应的张成空间:
设定一个基向量,并允许另一个向量进行缩放;具体表现为一条特定的直线;
将两个基向量任意调整位置;从而能够生成所有的可能的二维空间中的点;
当两个基底均为零向量时;其张成的空间仅包含原点。
2.3 基 basis
向量空间中的基是张成该空间中的一个线性无关的向量集合 。

一个空间中可以有多组基。

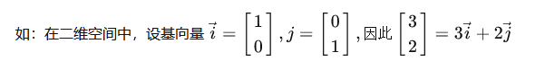
2.4 向量的另一种表示形式
利用基向量的线性组合表示向量

这个过程过程相当于对基向量进行了缩放,然后进行加和的结果。

那么,我们可以选择不同的向量基,进而构建一个合理的坐标系。
2.5 总结
因此,这样就建立起了线性组合、张成空间 &基之间的关系:
- 所有向量通过线性组合形成的集合即为张成空间;
- **由线性无关向量构成的空间基础即为该空间的基。
三、矩阵与线性变换
3.1 线性变换(Linear transformation)
可以说变换是函数的一种形式。为什么不直接以“函数”作为命名呢?使用“变换”则暗示我们可以用一种直观的方式来展示输入与输出之间的关系。将“变换”视为一种动态过程,则便于我们以动态的角度去分析问题。
https://pic2.zhimg.com/v2-91b64746fce502c7a4ff8f389edb4809_b.webp
(一) 什么是线性变换
如果将变换做如下限制:
- 几何图形经特定线性运算后仍保持为几何图形(无变形)
- 原点位置保持不变
- 我们称此类运算为“线性运算”

(二) 非线性变换的特例:
1)变换后不能保持直线

2)变换后原点位置发生了变化 如:仿射变换

3)变化后原来的y=x****直线变弯曲了

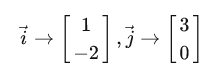
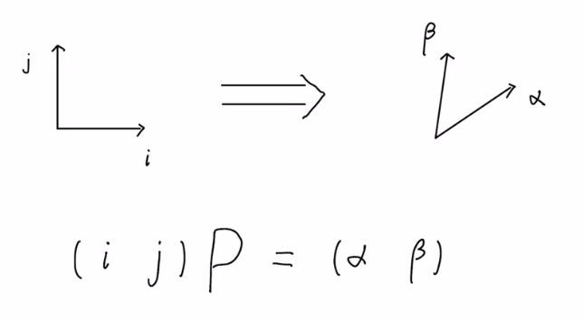
3.2 线性变换的数值表达
如何通过数值方法来表示这种转换?让我们考察一个具体的例子:在该转换的过程中, 我们记录下基向量经过该转换后的终点位置对应于坐标系的新坐标落脚点.

过渡矩阵/基变换的矩阵

四、矩阵乘法的本质 —— 空间变换
不可交换性
引例

推广到多个向量:
对正方形中的所有向量都进行变换,即为拉伸。

这种情况为旋转变换。

故:就近原则 即结合律,可得出不可交换性。

五、行列式 —— 图形变换前后的放大率

特殊情况:
1、负号意味着图形发生了翻折。

2、行列式 = 0 :降维打击

注:可逆与行列式的关系
若|A| ≠ 0,就是玩橡皮泥,过程是可逆的。
若|A|=0,则相当于某种无形力量让你在维度空间上受到了巨大影响而彻底改变你的存在形态……必输无疑。

六、向量与方程组
高中解方程引入:

行图像法:

而线代中为列图像法,进行列分块。

七、特征值与特征向量
首先来看一下特征值与特征向量的几何意义。
回顾一下空间变换是什么意思。

空间变换的前后,几乎所有向量都发生了变化。

但是有没有方向不变的呢?答案是显然的。

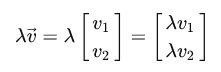
在空间变换前后保持不变方向的向量即为eigenvectors,在原方向上实现了缩放。
eigenvectors对应于缩放方向。
eigenvalues对应于缩放因子。

当然除了实数情况,我们还有一些特殊的情形,就是复特征值。

复数特征值就意味着图形做了旋转变换。考研理解到这里就可以了。
为什么复数表示旋转变换呢?举个例子感受一下。

八、特征空间
在单变量情况下(即一维的特征空间),这解释了为什么当取某个数λ乘以某个向量v并加上另一个数μ乘以另一个向量u时(即它们的线性组合),得到的结果仍是属于同一个空间的一个新的向量w=λv+μu,并且这个新的结果w仍然是该空间中的一个特征向量。

由两个相同特征值构成的二维特征空间中,
其中每个特征值都是2,
沿着x轴和y轴分别被拉伸了两倍,
其对应的单位正交特征向量i和j的所有线性组合则构成了整个平面。
那么每个向量都会被放大至两倍呢?不过需要注意的是这里的特征空间即代表整个平面情况中排除了零向量的情况。
鉴于此,在定义向量空间时,我们通常会排除零向量。

再来看看三维特征空间:

那么:特征值2对应的特征空间即为整个yoz平面,3对应的特征空间即x轴。
视频来源于 ——
线性代数的本质
线性代数的本质
