跟着李沐老师学习深度学习(三)
softmax 回归
本质是一个分类问题
回归 vs 分类
- 回归:估计一个连续值
- 分类:预测一个离散类别
例如:

从回归到多类分类:

对类别进行一位 有效编码:

使用均方损失进行训练;
最大值作为预测:



softmax 和交叉熵损失
-
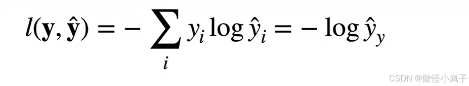
交叉熵常用来衡量两个概率的区别:

-
将它作为损失:

-
其梯度就是真实概率和预测概率的区别:

总结
- Softmax 回归是一个多类分类模型
- 使用 Softmax 操作子得到每个类的预测置信度
- 使用交叉熵 来来衡量预测和标号的区别
损失函数
用于衡量模型预测值与真实值之间的差异,不同的损失函数适用于不同的场景。
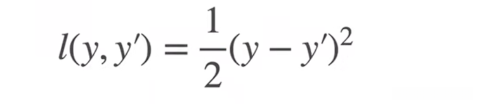
均方损失(L2 Loss)

特点
-
优点:
- 函数光滑且可导 ,这使得它在使用梯度下降等优化算法时易于计算梯度。
- 对离群点(异常值)比较敏感 ,因为误差是平方的,离群点会产生较大的损失值,从而促使模型更加关注这些点的拟合。
-
缺点:
- 由于对离群点的敏感性,当数据中存在较多离群点时,模型可能会过度拟合这些离群点,导致泛化能力下降。
-
应用场景
常用于回归问题 ,例如房价预测、股票价格预测等,当数据中的噪声服从高斯分布时,L2 损失是一个不错的选择。
L1 Loss

特点
-
优点:
- 对离群点相对不敏感,因为误差是绝对值,离群点产生的损失值不会像 L2 损失那样被平方放大,所以模型在存在离群点的数据上更具鲁棒性 。
-
缺点:
- 在零点处不可导 ,这在使用梯度下降等基于梯度的优化算法时会带来一些问题,通常需要采用一些特殊的处理方法。
-
应用场景
同样用于回归问题,当数据中存在较多离群点时 ,L1 损失比 L2 损失更合适,例如在一些存在测量误差或异常值的数据集中。
Huber’s Robust Loss

其中, 条件 (>1)是一个超参数,用于控制 L2 损失和 L1 损失的切换点。
特点
-
优点:
- 兼具 L2 损失的光滑性和 L1 损失对离群点的鲁棒性 。在误差较小时,使用 L2 损失可以保证函数的可导性,便于优化;在误差较大时,使用 L1 损失可以减少离群点的影响。
-
缺点:
- 需要手动调整超参数 ,不同的值可能会对模型性能产生较大影响。
代码实现 – 图像分类数据读取
# 图像分类数据集
# 使用Fashion-MNIST数据集, 并设置数据迭代器的批量大小为256
import torch
import torchvision
from torch.utils import data
from torchvision import transforms
from d2l import torch as d2l
d2l.use_svg_display()
# 通过框架中的内置函数将Fashion-MNIST 数据集进行下载并读取到内存中
# 通过ToTensor实例将图像数据从PIL类型变换成32位浮点数格式,
# 并除以255使得所有像素的数值均在0~1之间
trans = transforms.ToTensor()
mnist_train = torchvision.datasets.FashionMNIST(
root="../data", train=True, transform=trans, download=True)
mnist_test = torchvision.datasets.FashionMNIST(
root="../data", train=False, transform=trans, download=True)
mnist_train[0][0].shape
len(mnist_train), len(mnist_test)
# Fashion-MNIST中包含的10个类别,分别为t-shirt(T恤)、trouser(裤子)、pullover(套衫)、dress(连衣裙)、coat(外套)、sandal(凉鞋)、shirt(衬衫)、sneaker(运动鞋)、bag(包)和ankle boot(短靴)。 以下函数用于在数字标签索引及其文本名称之间进行转换。
def get_fashion_mnist_labels(labels): #@save
"""返回Fashion-MNIST数据集的文本标签"""
text_labels = ['t-shirt', 'trouser', 'pullover', 'dress', 'coat',
'sandal', 'shirt', 'sneaker', 'bag', 'ankle boot']
return [text_labels[int(i)] for i in labels]
# 可视化样本
def show_images(imgs, num_rows, num_cols, titles=None, scale=1.5): #@save
"""绘制图像列表"""
figsize = (num_cols * scale, num_rows * scale)
_, axes = d2l.plt.subplots(num_rows, num_cols, figsize=figsize)
axes = axes.flatten()
for i, (ax, img) in enumerate(zip(axes, imgs)):
if torch.is_tensor(img):
# 图片张量
ax.imshow(img.numpy())
else:
# PIL图片
ax.imshow(img)
ax.axes.get_xaxis().set_visible(False)
ax.axes.get_yaxis().set_visible(False)
if titles:
ax.set_title(titles[i])
return axes
# 几个样本的图像及其相应的标签
X, y = next(iter(data.DataLoader(mnist_train, batch_size=18)))
show_images(X.reshape(18, 28, 28), 2, 9, titles=get_fashion_mnist_labels(y));
# 读取一个小批量数据 ,大小为batch_size
batch_size = 256
def get_dataloader_workers():
"""使用4个进程来读取数据"""
return 5
train_iter = data.DataLoader(mnist_train, batch_size, shuffle=True,
num_workers=get_dataloader_workers())
timer = d2l.Timer()
for X, y in train_iter:
continue
f'{timer.stop():.2f} sec'
# 以上各个部分可以得到:load_data_fashion_mnist函数的封装(读取数据)
def load_data_fashion_mnist(batch_size, resize=None): #@save
"""下载Fashion-MNIST数据集,然后将其加载到内存中"""
trans = [transforms.ToTensor()]
if resize:
trans.insert(0, transforms.Resize(resize))
trans = transforms.Compose(trans)
mnist_train = torchvision.datasets.FashionMNIST(
root="../data", train=True, transform=trans, download=True)
mnist_test = torchvision.datasets.FashionMNIST(
root="../data", train=False, transform=trans, download=True)
return (data.DataLoader(mnist_train, batch_size, shuffle=True,
num_workers=get_dataloader_workers()),
data.DataLoader(mnist_test, batch_size, shuffle=False,
num_workers=get_dataloader_workers()))
代码实现 – 从零实现softmax
数据准备
导入必要的库:导入torch、display和d2l等必要的库。
加载数据集:使用d2l.load_data_fashion_mnist函数加载 Fashion-MNIST 数据集,并设置批量大小为 256。
import torch
from IPython import display
from d2l import torch as d2l
batch_size = 256
train_iter, test_iter = d2l.load_data_fashion_mnist(batch_size)
初始化模型参数
确定输入和输出维度:将每个图像展平为长度为 784 的向量作为输入,由于数据集有 10 个类别,所以网络输出维度为 10。
初始化权重和偏置:使用正态分布随机初始化权重W,并将偏置b初始化为零。
num_inputs = 784
num_outputs = 10
W = torch.normal(0, 0.01, size=(num_inputs, num_outputs), requires_grad=True)
b = torch.zeros(num_outputs, requires_grad=True)
实现 Softmax 函数
计算指数:对输入X的每个元素取指数。
计算分区函数:对指数化后的X按行求和,得到分区函数。
计算 Softmax 值 :将指数化后的X除以分区函数 ,得到每个类别的概率分布。
def softmax(X):
X_exp = torch.exp(X)
partition = X_exp.sum(1, keepdim=True)
return X_exp / partition
实现 Softmax 回归模型
计算线性组合:将输入X展平后与权重W相乘,并加上偏置b。
应用 Softmax 函数:将线性组合的结果输入到 Softmax 函数中,得到每个类别的预测概率。
def net(X):
return softmax(torch.matmul(X.reshape((-1, W.shape[0])), W) + b)
定义损失函数
实现交叉熵损失:使用交叉熵损失函数来衡量预测概率与真实标签之间的差异。
def cross_entropy(y_hat, y):
return -torch.log(y_hat[range(len(y_hat)), y])
定义评估指标
计算准确率 :定义accuracy函数来计算预测正确的样本数量。
评估模型精度 :定义evaluate_accuracy函数来计算模型在指定数据集上的精度。
def accuracy(y_hat, y):
if len(y_hat.shape) > 1 and y_hat.shape[1] > 1:
y_hat = y_hat.argmax(axis=1)
cmp = y_hat.type(y.dtype) == y
return float(cmp.type(y.dtype).sum())
def evaluate_accuracy(net, data_iter):
if isinstance(net, torch.nn.Module):
net.eval()
metric = Accumulator(2)
with torch.no_grad():
for X, y in data_iter:
metric.add(accuracy(net(X), y), y.numel())
return metric[0] / metric[1]
模型训练
定义训练一个迭代周期的函数:定义train_epoch_ch3函数来训练模型一个迭代周期,包括前向传播、计算损失、反向传播和更新参数。
定义训练函数:定义train_ch3函数来训练模型多个迭代周期,并使用Animator类可视化训练过程。
def train_epoch_ch3(net, train_iter, loss, updater):
if isinstance(net, torch.nn.Module):
net.train()
metric = Accumulator(3)
for X, y in train_iter:
y_hat = net(X)
l = loss(y_hat, y)
if isinstance(updater, torch.optim.Optimizer):
updater.zero_grad()
l.mean().backward()
updater.step()
else:
l.sum().backward()
updater(X.shape[0])
metric.add(float(l.sum()), accuracy(y_hat, y), y.numel())
return metric[0] / metric[2], metric[1] / metric[2]
def train_ch3(net, train_iter, test_iter, loss, num_epochs, updater):
animator = Animator(xlabel='epoch', xlim=[1, num_epochs], ylim=[0.3, 0.9],
legend=['train loss', 'train acc', 'test acc'])
for epoch in range(num_epochs):
train_metrics = train_epoch_ch3(net, train_iter, loss, updater)
test_acc = evaluate_accuracy(net, test_iter)
animator.add(epoch + 1, train_metrics + (test_acc,))
train_loss, train_acc = train_metrics
assert train_loss < 0.5, train_loss
assert train_acc <= 1 and train_acc > 0.7, train_acc
assert test_acc <= 1 and test_acc > 0.7, test_acc
定义优化器
定义小批量随机梯度下降优化器:使用小批量随机梯度下降(SGD)来更新模型参数。
lr = 0.1
def updater(batch_size):
return d2l.sgd([W, b], lr, batch_size)
训练模型
设置训练参数:设置训练的迭代周期数为 10。
调用训练函数:调用train_ch3函数训练模型。
num_epochs = 10
train_ch3(net, train_iter, test_iter, cross_entropy, num_epochs, updater)
模型预测
定义预测函数:定义predict_ch3函数来对图像进行分类预测,并可视化预测结果。
def predict_ch3(net, test_iter, n=6):
for X, y in test_iter:
break
trues = d2l.get_fashion_mnist_labels(y)
preds = d2l.get_fashion_mnist_labels(net(X).argmax(axis=1))
titles = [true + '\n' + pred for true, pred in zip(trues, preds)]
d2l.show_images(X[0:n].reshape((n, 28, 28)), 1, n, titles[0:n])
predict_ch3(net, test_iter)
通过以上步骤,我们实现了一个完整的 Softmax 回归模型,并使用 Fashion-MNIST 数据集进行训练和预测,也可以看到预测结果,如下图所示:

代码实现 – 简洁实现softmax
数据处理
导入必要库:导入torch、nn(PyTorch 神经网络模块)以及自定义工具库d2l。
加载数据集:利用d2l.load_data_fashion_mnist函数加载 Fashion - MNIST 数据集,并设定合适的批量大小batch_size,从而获取训练数据迭代器train_iter和测试数据迭代器test_iter。
import torch
from torch import nn
from d2l import torch as d2l
batch_size = 256
train_iter, test_iter = d2l.load_data_fashion_mnist(batch_size)
模型构建
构建模型结构:Softmax 回归的输出层是一个全连接层。由于 PyTorch 不会自动调整输入形状,所以需要在全连接层前添加展平层(nn.Flatten())来调整输入形状。这里使用nn.Sequential将展平层和全连接层组合成一个完整的模型net。
初始化模型参数:定义init_weights函数,对全连接层的权重进行正态分布初始化,标准差设为0.01。然后通过net.apply(init_weights)对模型中的所有层应用该初始化函数。
net = nn.Sequential(nn.Flatten(), nn.Linear(784, 10))
def init_weights(m):
if type(m) == nn.Linear:
nn.init.normal_(m.weight, std=0.01)
net.apply(init_weights);
定义损失函数
选择交叉熵损失函数nn.CrossEntropyLoss,它将 Softmax 函数与交叉熵损失合并在一起,使得计算更加简洁高效。reduction='none'表示不进行损失的规约,即对每个样本单独计算损失 。
loss = nn.CrossEntropyLoss(reduction='none')
选择优化器
选择随机梯度下降(SGD)优化器torch.optim.SGD,并设置学习率lr为0.1,用于在训练过程中更新模型参数。
lr = 0.1
trainer = torch.optim.SGD(net.parameters(), lr)
模型训练
设定训练轮数num_epochs为10,然后调用d2l.train_ch3函数进行模型训练,该函数接收模型net、训练数据迭代器train_iter、测试数据迭代器test_iter、损失函数loss、训练轮数num_epochs以及优化器trainer作为参数,在训练过程中会自动完成前向传播、损失计算、反向传播以及参数更新等操作,并在训练过程中评估模型在训练集和测试集上的性能。
num_epochs = 10
d2l.train_ch3(net, train_iter, test_iter, loss, num_epochs, trainer)
通过以上步骤,便可以简洁地在 PyTorch 中实现 Softmax 回归模型的训练与评估,训练结果如下所示:

也可以使用predict_ch3()进行预测:

