D-S证据理论(关于合成悖论、信度吸收的问题)
目录
01 相关基础概念
1.Belief function&Commonality function
2.simple support function(SSF)
3.the core of a belief function
4.dogmatic belief function&non-dogmatic belief function
02 合成悖论实例
03 信度吸收分析
1.分析
2.结论
01 相关基础概念****
1.Belief function &Commonality function

Bel(A)表示”A”所代表集合的信任函数,Q(A)表示”A”所代表集合的共性函数。m(B)表示”B”的基本概率分配函数。且上式中,A表示要求取的那个焦元,B表示BPA中的焦元。
******2.**simple support function(SSF)
简单支持函数:m是辨识框架Θ上某一信任函数Bel的BPA,如果m对于Θ的某个子集A具有如下形式的表达:

当w∈[0,1]时,该信任函数Bel就称为一个具有焦点A的简单支持函数(SSF),记作
;当将w推广到[0,∞]时,Bel称作GSSF;当A =Θ时,Bel称作空信任函数。
3.the core of a belief function
信任函数的核:辨识框架Θ下所有m函数为正的子集共同构成信任函数的核,记作
。
4.dogmatic belief function &non-dogmatic belief function
对于m(Θ)=0的信任函数称作教条信任函数,对于m(Θ)>0的信任函数称作非教条信任函数。通过引入ε(ε→0)可以将信任函数由教条向非教条转化。
02 合成悖论实例
引入Zadeh和Dezert的两个合成悖论的实例对信度吸收问题加以说明(辨识框架均为Θ={A,B,C},它们的概率分配分别如表1和表2所示:
例1.表1.Zadeh反例
| m1 | m2 | |
|---|---|---|
| A | 0.9 | 0 |
| B | 0.1 | 0.1 |
| C | 0 | 0.9 |
合成后m(A)=0,m(B)=1,m(C)=0,K=0.99。
例2.表2.Dezert反例
| m1 | m2 | |
|---|---|---|
| A | a | 0 |
| {A,B} | 1-a | b1 |
| C | 0 | 1-b1-b2 |
| {A,B,C} | 0 | b2 |
合成后m(A)=a,m({A,B})=1-a,m(C)=0,m({A,B,C})=0,K=1-b1-b2。其中b1,b2>0且b1+b2∈[0,1]。
由上述两个例子可以看出不论两条证据冲突程度的大小如何,Dempster组合规则均出现了反直觉的情况。下面使用规范分解的方法分别将这两个例子的信任函数分解成一组SSF来分析悖论的产生。
03 信度吸收分析
1.分析
在例1.中,m(Θ)=0,信任函数为教条信任函数。我们可以令m’(Θ)=2ε来使其向非教条转化,以例1.中第二条证据为例,其规范分解如下表所示:
| m(A) | m’(A) | Q’(A) | w(A) | |
|---|---|---|---|---|
| ∅ | 0 | 0 | 1 | (0.1+ε)(0.9+ε)/2ε |
| {A} | 0 | 0 | 2ε | 1 |
| {B} | 0.1 | 0.1-ε | 0.1+ε | 2ε/(0.1+ε) |
| {C} | 0.9 | 0.9-ε | 0.9+ε | 2ε/(0.9+ε) |
| {A,B} | 0 | 0 | 2ε | 1 |
| {A,C} | 0 | 0 | 2ε | 1 |
| {B,C} | 0 | 0 | 2ε | 1 |
| {A,B,C} | 0 | 2ε | 2ε | - |
由上表可得,分解后两个GSSF为:

发现
⨁
=
,即第二条证据中对C的支持度被第一条证据吸收,合成结果不能体现第二条证据对C的支持程度。
例2.的规范分解如下表所示:
| m(A) | Q’(A) | w(A) | |
|---|---|---|---|
| ∅ | 0 | 1 | (b1+b2)(1-b1)/b2 |
| {A} | 0 | b1+b2 | 1 |
| {B} | 0 | b1+b2 | 1 |
| {C} | 1-b1-b2 | 1-b1 | b2/(1-b1) |
| {A,B} | b1 | b1+b2 | b2/b1+b2 |
| {A,C} | 0 | b2 | 1 |
| {B,C} | 0 | b2 | 1 |
| {A,B,C} | b2 | b2 | - |
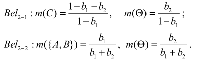
分解后上表的两个GSSF为:

且
⨁
=
,
⨁
=
,即
的两个有效分量({C}和{A,B})都被
吸收,即第二条证据被第一条证据完全吸收,无法提供有效的支持度分量,所以有
⨁
=
。
2.结论
通过上述分析Zadeh反例和Dezert反例中都存在信任函数部分分量或全部被吸收的情况,有结论如下:

