[论文笔记]iRotate Active Visual SLAM for Omnidirectional Robots
iRotate: Active Visual SLAM for Omnidirectional Robots
Active Visual SLAM with independently rotating camera
固定摄像头的存在限制了我们获取视觉信息的能力,在本研究中为了解决这一挑战,在机器人平台中引入了一种能够自主旋转的独特摄像头。这种独特性不仅提供了新的视角采集能力(即所谓的独立旋转),还带来了更多的不确定性问题。为了应对这些挑战,在机器人状态估计框架中增加了对摄像头状态以及整体系统不确定性的综合考量。
全向机器人的主动视觉SLAM方法,一种多层次的主动V-SLAM方法
顶层:目标位置、生成路径。
下层:对路径重规划和执行动作。
摄像头被稳固地安装在机器人的身体上, 使得它的朝向无法随意调整; 如果机器人配备了独立调节摄像头指向的能力, 则能显著提升其建图与操作的灵活性.
之前的 Visual-SLAM 通常是接收外部的控制输入,然后完成定位与建图。
目前最先进的主动VSLAM方法的主要目的是在效率上超越现有的所有方法,在保证图像质量的前提下实现更高的建模速度。
当机器人能够自主调节自身位置与朝向时,
这使得我们可以实现,
在不改变其二维坐标的情况下最大化扩展环境覆盖范围。
例如,在观察那些之前未被记录的区域的同时,
将地图进行细化处理。
通过这种方式,减少机器人绘制环境地图所需要的总距离。
本文的主要贡献:
· 新颖的硬件架构,获得更精确的地图,并在使用时降低能耗
· 扩展到不同的机器人平台
我们可以为这种硬件架构设计一个新的里程计公式,以便实现更精确的地图估计
在探索阶段中,在所选边界点上计算至最佳路径,并考虑到该路径上所有点的可能航向方向。
当在路径执行过程中时(注释:此处需删除括号中的内容),依据动态更新的栅格地图数据(注释:此处需删除括号中的内容),重新规划下一个航路点的理想飞行方向。
·基于实时的3d特征分布,控制摄像头航向。
并且实验对比了 基于地图的香农熵 和经典的效用函数的变化,
模拟和真实机器人上展示
RELATED WORK
探索未知领域与结合之前获得的数据之间实现平衡,以减少整体地图的不确定性
大部分主动SLAM系统遵循以下工作流程:首先进行目标识别,在此基础之上完成对潜在目标点的筛选;随后根据检测到的目标信息构建运动模型并生成相应的轨迹数据序列;接着通过预设评价标准对轨迹数据进行质量评估;最后基于评估结果优化轨迹生成策略并输出最优轨迹数据序列。
目标点可以是机器人可到达的位置,也可以包括位置和航向(姿态)。
候选的目标点多为边缘点或采用与RRT类似的方案,在基于当前全局状态选择一个下一个目标点时。
然而计算通向目标的所有可能路径的效用通常是个棘手的问题,
某些方法采用RRT算法进行路径规划,并在选择该最佳路径的起始节点作为初始点后,通过并行化的鲁棒视觉惯性定位系统对位置不确定性进行估计。
另一种替代方案是借助试探策略和阈值设定来确定实施的具体行动内容,并由本地规划器负责执行相应的策略。
而本文 1)使用可用的地图信息规划和选择信息最丰富的全局路径
2)通过持续的本地重新规划来执行该路径
通常用来衡量全局路径的效用的是由多个因素以线性形式相加的形式表示出来:其中一项是地图的空间一致性项另一项是路径信息度
机器人的不确定性
而探讨探索-利用权衡的问题时,则可采用以下两种方法:一种是基于效用函数的方法;另一种是基于一些预设规则及阈值的试探策略。
该文针对全局路径的有效性计算采用了特定的方法:首先采用给定点位置的地图熵作为衡量信息增益的标准;其次将该点与机器人起始点之间的距离被用作折扣因子;最后通过实验表明这种方法在探索速度和能效方面都表现出显著优势
在计算路径效用时, 除了要考虑最终目标点之外, 还需要注意路径上每个导航点的贡献
本文的方法
问题描述和符号
传感器有 RGB-D 相机,最大距离为d_{thr}和水平视场为 \alpha
2-D激光测距,IMU
M为地图的栅格表示,边界定义为 自由空间和未知空间的交界处,
而路径节点由

坐标和机器的方向



根据 全局目标点

生成一系列连续的姿态点,使其具有最大可能的未来信息增益


全局目标的选择
可到达边界地图像元被称为那些周围没有任何障碍物的地图像元,并且位于一个足以让机器人通过的区域里。
第一步初步判定各区域的边界。随后,在那些集群的中心点上定位候选目标位置。
若该点无法直接到达,则在附近区域进行贪婪搜索,并对群集中的节点逐一排查以找出下一个可达的边界节点。
此外,在之前的备选地点选择中发现该店无法抵达的情况下,则假设在那次尝试中无法触及该店
然后选择效用路径最大的候选目标作为实际目标位置。
计算效用
通过路径信息确定 机器人的姿态,在当前状态下,在地图中可被观察到的单元格

对于所有的可观测到的单元格,计算点的效用值,

总效用值计为

对于某一点的效用值,共提出了三种不同的计算方法。
第一种直接计算香农熵:

第二种在效用计算中直接考虑障碍物的存在

其中 p_{thr} 表示单元格中存在障碍物的概率,在这种情况下
障碍单元的正确表示影响最终的映射和可导航性
第三种
当机器人移动至目标边界点时,它倾向于重新审视之前已经探索的区域,并非仅仅局限于仅探索未曾触及的区域。


dl 和 dh 为超参 分别设定为 0.2和0.8

全局路径的生成
对于每个候选的边界点使用A*算法生成一条路径。


A*算法会在特定的位置w0和wG输出相应的航向信息;而其他论文中所采用的方式是基于线性插值的方法来确定中间点处的航向;本文则提出了一种全新的解决思路。



di 为 wi 到 机器当前位置的距离。
本地重新规划和执行
本文采用MPC方法来实现局部路径的控制。其输入为当前机器的状态、障碍状态以及期望的目标点作为输入。其输出为线速度和角速度指令。
NMPC的目标是在避开障碍物的情况下以最小的能量消耗跟踪路标。
局部路线的细化
随着开拓新的区域范围,在全局布局下所生成的局部路径所包含的关键信息可能会发生显著变化;每当有一个导航点出现时,在新的航路规划中将对后续航路点的最佳航行方向进行优化调整。
实时航向的细化
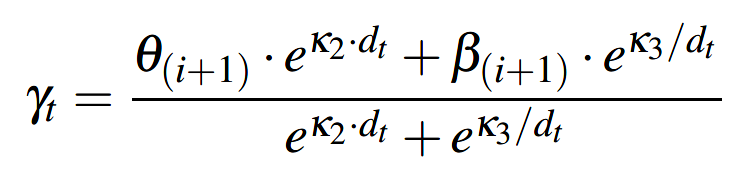
在两个导航点之间的路径上,在机器人摄像机覆盖的视野范围内(FOV),我们致力于最大限度地保持3D视觉特征的信息。
给定一个时刻t ,机器行进与wi和wi+1 之间,现在已知 θ*(i+1),
β(i+1) 是通过3D ray-tracing 结合最大距离为d_{thr}和水平视场为 \alpha



有限状态机

实验和结果
处理器使用 Intel® Core™ i7-3612QE CPU @ 2.10GHz
仿真实验
仿真实验 在 Gazebo 模拟器下进行。


a) 208 m^2 b) 188 m^2
真实得地图由 pgm_map_creator
地图单元格边长为0.05m,
评价指标:
1)balanced accuracy score BAC
该模型的均方根绝对轨迹误差(RMSE-ATE)
3)the number of loop closures triggered per meter of distance travelled

OL : 仅使用优化的目标位置,而不是路径上的路点
INTER : 机器的方向简单的插值
A_O :使用第二种熵
A_DW_O :使用第三种熵

当第二及第三级活动被启用时,路径长度明显降低.其次,其活跃程度促使机器人执行更多旋转动作.这些运动行为会提升机器人姿态估计的不确定性.另外,在启动二级及三级活动后,每米范围内的循环闭合能力更强.经过比较分析发现,在这四种方法中表现最佳的是参数配置OL=2,3.该方法展现出低归一化熵特征的同时具备几乎无遗漏区域探测能力.值得注意的是,其移动轨迹最短.


与OL 2 3相比,方法A DW 0与较低的归一化熵和较低的行驶距离相关联。
A01 2 3旨在验证我们在完全探索环境中不存在问题的同时维持了最短路径以及最终归一化的熵值此外我们发现当运行时间延长时我们的方法能够进一步优化其结果并实现更为优异的整体表现


真实环境
速度为0.25m/秒



我们的完整方法A 1/2/3达到了最短路径长度并进行了最大面积的探索,并且其熵值显著较低。
无论是采用AO还是采用ADWO的方法,
即使用我们新提出的实用程序的方法,
都是考虑最终归一化熵和平均循环闭包的最佳选择。
此外,在表选项卡中可以看到详细信息。
在第一级,机器人选择目标,并决定信息最丰富的路径。
在路径上的关键点进行第二级优化后,则可以让实时更新的地图信息得以连续利用
第三级活动特性保证机器人方位拥有最高视觉特征可见度。这最终实现了更高的定位精度,并降低了地图熵值。
