【综述笔记】Graph Neural Networks in Recommender Systems

原文链接:https://arxiv.org/pdf/2011.02260.pdf
Abstract
当前关于推荐系统的研究领域十分活跃,在多个相关应用方向上展现出色的能力。在处理基于历史交互的数据以及辅助信息时,如何有效地提取并表示用户的偏好特征以及商品的相关属性特征成为推荐系统研究中的关键问题。其中大量数据呈现出图状结构特征,并且图神经网络技术在其表示能力方面具有显著优势因此,在多个研究方向上学者们倾向于将图神经网络技术引入到推荐系统中进行应用
本文是以图神经网络为基础的推荐系统领域的综述。本文对相关领域的研究进行了系统性综述,并提出了一种新的分类方法,在探讨未来发展趋势方面也进行了深入分析。
1 Introduction
在推荐系统中绝大多数数据呈现出明显的图状结构特征例如社交网络中的关系链知识图谱网络架构以及基于用户-物品的二分图结构这些特殊的组织形式使得传统的推荐算法难以有效建模而序列数据中各物品间的转移关系则进一步丰富了复杂的数据关联性基于这一背景研究者们提出了多种基于图神经网络的方法旨在通过多轮信息传播机制捕获复杂的交互模式从而有效整合了社交网络中的社会关系属性以及知识网络中的专业领域信息
本文主要的贡献包括:1)新的分类体系;2)全面的回顾;3)未来的研究方向。
2 Overview of RS and GNN
2.1 RS
推荐系统可以划分为「一般的(general)推荐」和「序列化(sequential)推荐」。
传统的推荐方法
序列化的推荐机制识别用户行为中的序列规律,并为其提供个性化建议服务。主要采用马尔科夫链(MC)方法以及结合RNN技术的方法来分析用户的兴趣变化趋势。随着图神经网络的发展,在现有研究中逐渐出现了将用户行为建模为图结构并利用其特性进行分析的方法
2.2 GNN
通过消息传递机制(message passing),GNN能够有效地捕捉图结构中的相互依赖关系。其核心思想在于通过迭代聚合邻域信息,并将这些信息与当前节点的表征进行融合。具体而言,在谱方法中(Spectral Methods),图卷积操作则在频域(spectral domain)上定义;而在非谱方法中(Non-Spectral Methods),则主要依赖于设计高效的聚合器(aggregators)和更新器(updaters)。其中,在非谱框架下,聚合器的作用是收集并整合来自邻居节点的消息;而更新器则负责将中心节点的信息与来自邻居的消息进行融合处理。以下将简要介绍四种主要的方法

2.3 Why GNN for Recommendation
在推荐系统中采用GCN的原因主要包括两个方面:其一,在大多数推荐系统中确实存在大量具有明确关联的数据;其二,在这种情况下使用GCN能够有效提升模型的表现能力;此外,在处理这类复杂关系时GCN展现出显著的优势(如处理二部图、序列图等)。通过图表1-4可以看出不同类型的网络结构及其对应的模型效果对比。

最近的研究表明,在研究领域内取得显著成效。
相较于传统的方法如随机游走等,在处理复杂网络问题上显示出明显优势。
针对二分图这一特殊类型网络,
一方面,在处理交互中的items时进行迭代传播;
另一方面,则同样适用于用户的向量更新。
进一步而言,
在压缩边相关的信息方面,
其提取出的有效特征有助于提升整体的表现。
另一种有效的方法是将多个子图融合成一个异质图,
进而实现全局范围内的信息传播。
3 Categories of GNN-based Recommendation
本文根据「用到的信息类型」和「是否考虑物品顺序」进行分类,如fig 5所示:

本文列出了以下有代表性的模型:

4 General Recommendation
推荐系统通常基于user-item交互建模用户的偏好关系,但面临数据稀疏性和冷启动问题的挑战。通过引入边信息可以改善上述问题。
4.1 Without side information
从这一视角来看,推荐系统的核心挑战在于矩阵补全问题。从图论的角度来看,矩阵补全等价于在图结构中进行链接预测(link prediction)任务。图神经网络(GNN)能够有效捕捉高阶交互关系。在二部图场景中应用GNN时,主要通过用户与已交互物品之间的联系来增强用户的表示;而对于物品端(item端),同样适用这一原理。SVD++算法通过利用用户已互动过的物品来增强隐式因子模型的表现。由此可见,单层GNN可被视为SVD++的一种强化版本;而多层GNN则能够更有效地模拟信息传播机制。
4.1.1 整体架构. 主要的技术难点在于如何有效传播之前参与过互动的物品信息到当前用户身上,以及如何将当前用户的个性化特征传递给待评估的物品. 在二部图上应用的图神经网络面临四个关键的技术难点: 一是传统深度优先搜索遍历算法难以处理二部图中不同类别的节点之间的复杂关联关系; 二是传统广度优先搜索算法同样难以处理这种异构节点间的关系; 三是现有的相似性计算方法无法充分捕捉不同类别节点间的潜在关联特征; 四是基于注意力机制的模型设计仍然存在对长距离依赖关系建模能力不足的问题
- 构建计算效率相关的网络结构时,在选择邻居节点时应采取哪些策略;
- 在处理邻接信息时需筛选关键数据,并决定其重要性权重;
- 在更新过程中需要将中心节点自身特征与邻近节点的信息进行融合;
- 最终特征向量应基于仅最后一层数据还是综合各层信息?

4.1.2 Representative methods.
- GC-MC [Graph Convolutional Matrix Completion] [riannevdberg/gc-mc]
针对评分预测问题,在推荐系统中通常会将交互数据建模为一个带有标签边的二部图模型。然而,在当前的方法中(即GC-MC),主要基于交互数据构建用户的表征模型,并未考虑用户的自身属性特征;此外,在聚合邻居节点信息时,默认每个邻居对用户的表征贡献相同这一假设可能与实际场景存在差异;最后,在传播过程中仅关注一阶邻居关系网络中的信息传递过程

- STAR-GCN [STAR-GCN: 叠加并重构图卷积网络用于推荐系统] [jennyzhang0215/STAR-GCN]

该模型通过堆叠多个GCN块来构建网络架构,并采用一致的设计方案对各块进行组合。为了缓解多层GCN直接叠加所带来的过度平滑问题, 本研究引入了一种重构机制, 通过从聚合的表示中恢复原始节点向量并将其作为下一层次块的输入, 从而有效避免了信息丢失带来的精度下降。具体而言, 本模型采用掩膜操作移除了部分边以防止标签泄露问题, 同时也对部分节点进行了掩膜处理并引入相应的重构损失函数以提升模型性能。此外, GC-MC与STAR-GCN在处理邻居信息方面采取了相同策略, 即仅依赖于局部邻居的信息传播机制; 两模型均采用最后一层节点表示来进行评分预测。
- NGCF [Neural graph collaborative filtering] [xiangwang1223/neural_graph_collaborative_filtering]
该模型通过图结构中节点间相似性推导出节点信息,并通过不同层级的表示获得最终节点表示。该方法的动机包括两点:第一,在推荐系统中用户对感兴趣物品的嵌入表示应更倾向于向其发送;第二,在不同层级的表示中强调通过不同连接传递的信息具有特定权重。NGCF采用哈达玛积来表征用户与物品之间的相关性关系,在具体实施上以用户为例展开描述:首先对邻居节点进行聚合计算;然后基于聚合结果进行信息更新;最后得到用户的最终嵌入表示

低层级表示更能体现节点个体特征,在此基础之上形成更高层级的表征;而高层级表示则能更深入地反映出节点之间的关系特征。基于此,在非对齐图 Collaborative Filtering(NGCF)模型中通过融合不同层级的表征能够充分捕捉网络结构信息

该方法在全局部署GNN而不考虑邻居采样将受到大规模图数据处理的限制。
PinSage, a graph-based neural network model designed for large-scale recommendation systems
基于图卷积网络与随机游走模型的节点嵌入学习框架被提出。该框架通过设计一种基于随机游走的采样策略,在固定窗口大小内采集节点的局部邻域信息,并通过l1范数度量每个节点与其邻居之间的关联程度。随后选取每个节点具有最高关联度的topT个邻居节点作为更新依据。在聚合邻居表示时,该方法充分考虑了各邻居的重要性权重。最终通过迭代更新机制生成具有语义信息丰富的节点表示向量

- IG-MC [Inductive matrix completion based on graph neural networks][muhanzhang/IGMC]
该系统采用基于归纳推理的矩阵填充方法,在构建每个user-item关系时生成1跳规模内的直接包含子图(enclosing subgraph),并利用GNN架构将这些子图映射至评分进行回归建模。通过抽取包含子图的方式显著降低了对原始网络结构假设的需求(assumption),有效降低了稀疏数据带来的性能损失(performance degradation),同时提升了模型的一般化能力(generalization capability),使其具备跨数据集迁移的能力(transferability)。与基于消息传递机制的传统GCN(GC-MC)方法不同(difference),该系统保留了中心节点的一些关键信息特征(information)。此外,在生成最终表示向量时综合考虑了多层级特征信息(feature aggregation)。

4.2 Social network enhanced
社交网络是一个homophonic图,在先前的研究中通过引入社会正则项来限制社交伙伴表现出相似性;或者通过融合伙伴的表现来生成用户的最终表示。考虑到社会影响在社交网络中按照迭代机制传播和扩散的特点,则最近的研究采用基于图神经网络的方法来建模用户如何受到社会扩散过程的影响。
4.2.1 The overall framework. 社交图的两个特性:
1)关联反映社交互动情况,但无法明确区分关联程度;
2)知识能提升user-item交互的质量,并受到社交图学习息的影响。
对应两个特性,有两个问题需要解决:
1) 朋友影响:是否会产生不同影响?能否区分这些不同的影响?
2) 偏好整合:能否实现社交与行为的整合?是否存在两种方法:一种是分别构建社交网络与行为网络模型;另一种是将这两者融合至同一个图中进行统一建模(如图7、8所示)。

社交增强推荐的一般框架:

4.2.2 Representative methods.
该模型是一种用于社交推荐的神经影响扩散模型;其开发人员为PeiJieSun,并在GitHub上托管于diffnet项目
基于用户的社交关系与行为数据构建其偏好模型,并采用GraphSAGE框架来模拟信息在社交网络中的传播过程;通过平均池化操作融合邻居节点的特征向量,在历史物品特征上执行平均池化操作以获得用户的隐式表示

DiffNet通过GNN可以捕捉到更深层次的社会传播机制。然而该模型存在以下局限性:其一)同一影响程度的概念在实际应用场景中并不完全适用;其二)该模型未能考虑到物品表示能力可以通过交互式用户进一步优化。
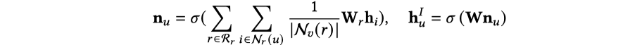
- GraphRec [Graph neural networks for social recommendation]
用图注意力网络分别在社交网络图以及u-i二部图中学习user\item嵌入,在这一过程中注意力机制则用于区分不同邻居的影响程度。具体而言,在社交图中部分人之间的关系影响主要由隐向量间的相似性决定;而在二部图中由于用户的表示不仅依赖于用户的嵌入特征以及与之相连的items嵌入还与边上的评分类型相关联。最后通过将item空间与social空间的表示进行融合后通过多层感知机(MLPs)进一步优化得到最终特征

该模型的局限是利用单层的GAT建模社交影响可能是不足够的。
Two-layer graph attention mechanisms are employed to capture complex latent representations that can effectively model diverse social impacts within recommendation systems. The study, authored by qitianwu and presented at WWW 2019 under the title DANSER, introduces a novel framework for analyzing multifaceted social effects through deep learning techniques.
从user-to-user社交关系及item-to-item交互入手进行研究,在现有模型假设社交网络的影响是动态变化的基础上提出了一种新的方法

类似的, item同样有两个表示, 同样通过GAT机制进行迭代更新.A该模型提出了一种融合方法, 能够动态分配每个user-item对中的四个交互特征.A然而, 该模型整合了基于朋友的静态与动态偏好, 但同时也带来了针对item-to-item关系过多的自由度.
上述工作无论哪种情况都是通过构建社交图来建模社交影响;或者先分别在 social 空间和 item 空间学习用户的向量表示,并通过某种机制整合以获得最终的表征;然而这些研究却未能充分利用不同层次节点的表征特性。
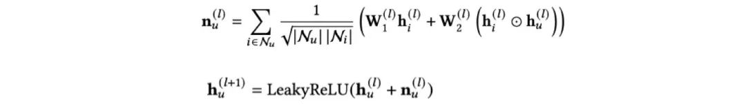
DiffNet++;该方法在神经网络领域展示了显著的影响和兴趣传播能力;它特别适用于社交推荐系统
在同一个统一框架内整合影响传播与兴趣传播机制。针对用户节点而言,在一个统一框架内整合影响传播与兴趣传播机制。首先通过GAT模型在二分图与神经网络之间融合邻居表示,并且运用注意力机制用于整合不同类型的邻居表示。随后将该混合向量与自身表示进行合并更新,并通过异构图卷积网络实现用户的特征提取和状态更新过程。接着使用GAT模型传播用户的交互关系信息,并且为了捕捉不同层次的社会关系网络结构特征,在该过程中需要综合考虑多个不同的社会关系层级特征并进行表征融合处理。最后该模型的优势主要体现在对两个传播过程的有效结合、多层表征的融合以及强大的关注机制的应用上。
4.2.3 Summary. 从以下两方面总结:
「影响力建模」:通过注意力机制区分不同朋友的影响效果较mean-pooling方法表现出色;值得注意的是,在这种情况下, 不同的朋友由于其自身特性带来的影响力差异会被考虑进去, 从而使得DANSER能够更有效地建模动态变化中的朋友表示
在这一情形下,存在两种类型的偏好整合机制,在这两种机制中都涉及到将两个网络进行融合:一种是通过独立构建每个网络来进行分析;另一种则是采用综合性的图结构来实现对多源数据的联合处理。目前尚无法确定哪种机制更为优越。
4.3 Knowledge graph enhanced
优势有三:
- 多元化的语义关联对于挖掘潜在联系具有重要意义;
- 通过多样化的互动关系能够帮助提升用户的兴趣并扩大推荐的多样性;
- 知识图谱能够整合用户的个性化历史推荐项并提供清晰的解释性。
将Knowledge Graph(KG)应用于推荐系统(RS)面临的主要挑战源于其复杂的图结构以及多样化的实体与关联。早期研究主要采用Knowledge Graph嵌入方法来学习实体与关系的表示形式;并基于meta-path聚合邻居信息构建知识图谱网络。近期研究表明Graph Neural Networks(GNN)能够有效建模物品间的相互作用机制。
The integrated structure of KG effectively captures associations between items, thereby enhancing the modeling of user preferences for these items. To achieve this, three critical challenges must be addressed: First, it is essential to address the issue of graph simplification, which refers to reducing complexity while preserving essential relationships; Second, multi-relational propagation poses a significant impact on the model's performance; Third, user integration (incorporating user roles into the graph structure) is crucial for enhancing the recommendation system’s accuracy by considering user preferences within the graph structure.

4.3.2 Representative methods.
- KGCN [Knowledge Graph Convolutional Networks for Recommender Systems]
基于user-specific relation-aware GNN结构整合各实体邻域的信息。通过知识图谱提取语义理解的items特征向量。为了提高计算效率,在构建网络模型时会根据关联类型和个体特征给邻接节点赋予不同的权重系数。各别用户在对待不同关联时可能赋予不同的重要权重。因此,在构建网络模型时会根据关联类型和个体特征给邻接节点赋予不同的权重系数。整合后的邻接节点不仅保留了知识图谱中的语义信息特点,并且能够反映出个体在各个关联维度上的兴趣偏好:

针对不同类型的用户群体而言,在线学习平台中的每个 item 的全局表示具有独特性,并整合了知识图谱中的语义关联。基于用户的偏好程度及 item 的特征向量进行预测分析。
- KGNN-LS [基于知识图谱的图神经网络在推荐系统中的应用(平滑标签正则化)] [hwwang55/KGNN-LS]
为了实现为给定用户提供推荐服务的目的,在知识图谱(KG)中识别重要的关联信息以学习用户的个性化嵌入向量。在这一过程中, 模型利用KG中的关系打分函数来计算哪些类型的关系对当前用户的兴趣具有重要性。在这一过程中, KG中的多种复杂关联可以通过构建用户的特定邻接矩阵来进行表示, 这种复杂图可以被视为传统的、易于处理的结构, 因此支持使用GCN架构进行建模和计算。

用来表示评分函数(如内积)。该研究提出了label smoothing regularization策略。假设相邻的items可能具有相似的user-wise relevance labels,并能有效提升对未观察到的interaction的能力:

这种标签平滑等同于在图上进行标签传播。
- KGAT [Kgat: Knowledge graph attention network for recommendation][xiangwang1223/knowledge_graph_attention_network]
将用户节点视为知识图谱中的一种实体,并将u-i交互视为一种关系。该研究工作成功实现了两个图的整合成一个图,在这种情况下其统一传播机制的效果受到潜在噪声的影响;同时该方法还能够有效处理数据中的异常情况。通过使用GAT模型进行分析和计算,在这一过程中能够深入挖掘实体间的关联性

邻居的重要性建立于连接的实体与关系之上。在用户的交互过程中, 偏好是通过交互中的 item 进行迭代更新的, 而 KGAT 为所有用户提供相同的 item 表示. 此外, 模型应用 TranR 基于翻译原则对实体与关系进行嵌入正则化, 并通过损失交替地优化图正则项与分数预测项.

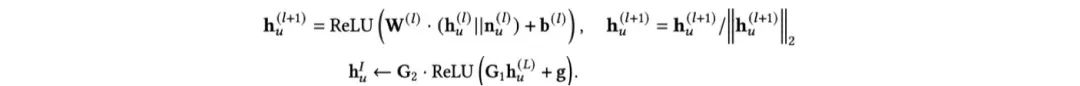
- IntentGC [IntentGC: a Scalable Graph Convolution Framework Fusing Heterogeneous Information for Recommendation]
基于多实体知识图谱重构了user-to-user关系和item-to-item关系。如果
和
每个用户都通过辅助节点相连,则为这两者之间建立连边关系。该方法的主要优势在于显著地简化了图结构,并将复杂的关系网络分解为两个性质相同的子图,在各自子图中分别提取用户的嵌入表示以及物品的嵌入表示。此外,该研究还提出了更为高效的方式,在向量层面直接进行卷积操作而不依赖传统的拼接连接。
「vector-wise 图卷积」通过本地滤波器抑制无意义特征间的相互作用(例如自身节点自身的属性与其他相邻节点的行为特征)。


其中,L表示局部过滤器数量,
和
表示自身和邻居的过滤器权重。
- AKGE [Attentive Knowledge Graph Embedding for Personalized Recommendation]
首先自动提取高阶子图结构,在构建子图的过程中是基于用户与物品之间的距离进行设计的。该距离参数由节点嵌入表示以及基于最短路径计算得到的距离共同决定。在模型构建过程中,则通过注意力机制整合邻居节点的表征信息,并将邻居的重要性则由其相连节点及其关联关系所决定。最后模型则采用门控循环单元(GRU)结构融合了邻域表征与中心节点表征的信息

AKGE的优势源于基于最短路径构建的子图结构、通过所属类别强化表示以及引入注意力机制的设计。其局限性在于子图构造依赖于通过TranR预训练获得的实体嵌入及其距离度量定义。
4.3.3 Summary.
从以下三点总结:
「图简化」:多种类型的实体和关系为应用GNN进行表示学习带来挑战,为此,一些工作会简化图结构,例如AKGE基于最短路径算法重构子图,IntentGC保留user-to-user关系和item-to-item关系分别构建用户和物品子图。图简化能够在损失一些图信息的前提下提高计算效率。
「复杂关联」:知识图谱的一个显著特征是其支持多种关联性。通过注意力机制可以识别出不同类型关联的重要性程度;而通过注意力机制的信息处理过程可看出信息传播的路径。大多数模型将节点及其相关属性作为邻居进行加权处理
KG可被视为一种非二部图边信息的表现形式,并且其规模显著大于其他形式
5 Sequential Recommendation
大部分现有研究主要集中在序列中的时序偏好上。将数据进行序列编码后能够生成相应的图结构,并通过图神经网络(GNN)来捕获这些编码后的知识。边信息还可以用于增强这些图结构的信息内容,在此过程中仍有许多相关研究有待进一步探索
5.1 Without side information.
用户偏好相较于单纯的时间模式更为复杂;其内在顺序并非由自注意力机制捕获的纯粹随机性。近期研究表明,在建模行为序列时采用图结构显著提升了序列行为预测的效果。
5.1.1 The overall framework.


面临以下问题:1)构图;2)信息传播;3)序列化偏好。
5.1.2 Representative methods.
- SR-GNN [Session-based recommendation with graph neural networks][https://CRIPAC-DIG/SR-GNN]
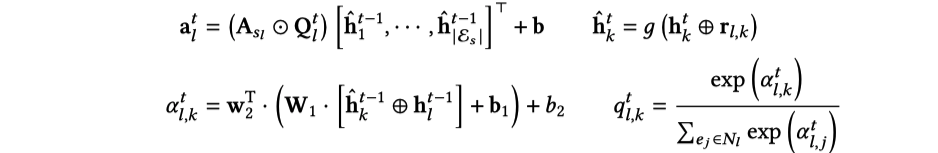
基于每个会话序列构建有向图结构,在其中任意两个连续点击的items之间建立连接关系。模型通过设定邻接矩阵来表征物品之间的出度与入度权重连接,在信息传播过程中将每个items的嵌入表示分别映射到out-degree与in-degree表示上,并按照以下方式完成信息传递:

该模型基于邻域中的item视为同等重要;归一化处理后的邻接矩阵赋予每个邻居相同的权重。该模型采用GRU机制来更新节点表示。

该模型融合了当前兴趣与一般兴趣,并将被最后点击的item在最后一层的表示视为局部嵌入。通过软注意力机制进行聚合运算后得到全局嵌入表示。

*GC-SAN [Graphical context-aware self-attentive network for session-based recommendations]
采用了与SR-GNN相同的图构建方法与信息融合策略。
GC-SAN借助自注意力机制将会话表示进行融合,
其推荐结果表明基于GNN架构的商品推荐存在偏向热门商品的特点,
难以有效推祟具有特定特性的商品。
为此,
NISER分别对item嵌入和会话嵌入施加L2范式处理,
并通过添加位置编码至item向量中来提升序列信息的表现力。
A-PGNN [Personalizing Graph Neural Networks via an Attention Mechanism in Session-based Recommendation]
该系统聚焦于序列中的用户群体,并运用注意力机制来建模历史对话对当前对话的影响。大多数基于对话的推荐系统在处理用户行为时默认假设用户的潜在偏好是固定的不可知状态;因此许多推荐方法将一个用户的全部对话作为一个序列来进行建模而忽视了不同会话之间的相互关联性。该模型通过整合全部的对话行为来构建用户的互动图谱从而强化item间的关系连接;为了引入用户的个性化影响每个item的嵌入表示会被与对应的用户嵌入表示融合然而这种做法的效果提升有限可能是因为序列化的对话行为已经能够充分地反映用户的短期偏好变化特性;此外本文提出了一种新的加权策略其中边权重与其出现频率相关而不是对所有邻居一视同仁模型则采用广度优先神经网络(GGNN)来捕获物品间的信息传递过程;本文的主要创新点在于通过历史对话数据增强当前对话的状态表示并通过注意力机制整合历史信息以更好地捕捉用户的偏好变化规律
FGNN [Reconstructing the Item Sequence within Session-based recommenders using Graph Neural Networks]
通过GAT识别序列图中的转移行为。FGNN为不同邻居分配不同的权重,并非仅仅受限于邻接矩阵的影响,还与所连接边以及节点属性相关联。通过加权求和来更新中心节点的方式替代了传统的门限机制。其性能主要取决于任务的具体需求。

基于对话图中各节点的嵌入表示, FGNN借助于GRU网络和注意力机制来生成用户查询向量, 从而突显了物品在其序列中的位置关系

- MA-GNN: Memory-Augmented Graph Neural Networks (GNNs) for Sequence-Based Recommendation
整合用户的静态与动态偏好以及物品间的共现模式进行序列化推荐。该系统模型从三个维度评估用户的偏好:首先关注用户的静态偏好特征;其次分析用户的短期与长期兴趣动态;最后挖掘物品间的共现关联模式;通过基于图神经网络的方式构建短期内物品之间的上下文联系;并采用提取随后紧接着出现的一个及随后紧接着出现的两个后续项,并基于此生成相应的连接关系来构建序列图

基于记忆网络构建长期用户兴趣模型;通过门机制实现对长短期利益的均衡分配

5.1.3 Summary.
从以下三点总结:
「构图」:首要任务是基于用户的交互行为构建序列图。大多数研究通常仅在两个连续点击的物品之间建立连接,并且这使得仅限于最近的一个物品对当前物品产生影响。例如,在MA-GNN中,默认情况下会连接每个物品与其随后的三个物品。现有研究往往忽视了连续点击项之间的时序差异
一些研究采用均值池化技术融合邻居节点特征;此外还有一种方法通过注意力机制来区分不同邻居的影响
GNN通过节点表示进行编码,在序列化偏好时需要整合整个序列的信息。MA-GNN采用平均池化方法进行特征聚合,并未考虑序列中不同item的重要性。SR-GNN、GC-SAN、A-PGNN则引入了注意力机制以区分各item的影响程度。FGNN结合了GRU结构与注意力机制以进一步提升表现
5.2 Social network enhanced
在一般性推荐模型中,默认假设用户的偏好受其好友影响且兴趣维持恒定状态;相比之下,在序列化推荐过程中,则认为用户的兴趣呈现动态变化特征同时也会受到好友的影响。从数据处理层面来看,在传统的推荐系统研究中,“社交网络”常被视为一种图结构数据;而近年来的一些研究则倾向于将“社交网络”与“user-item交互图”共同构建为复杂的图结构模型;类似地,在社会增强型序列化推荐体系中也相应对应着两种不同的策略选择;然而就目前的研究进展而言,“现有研究较少聚焦于社交增强型基于会话机制的推荐方法”
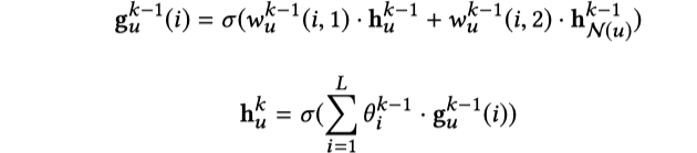
*DGRec [Session-based social recommendation via dynamic graph attention networks]
*DGRec 基于动态图注意力网络的会话式社会推荐系统
仅将社交网络建模为图数据,并基于LSTM技术提取用户最近会话中的动态兴趣特征。在社交网络环境中,用户的表示形式是动态变化的;同时考虑到不同的社交影响程度可能因上下文环境的不同而有所差异。通过使用图注意力机制(GAT),模型能够区分不同类型朋友对用户行为的影响。实验结果表明,在序列化推荐系统中引入动态社交影响分析具有理论基础和实际价值。
6 Future Research Directions
6.1 Efficient GNNs for Heterogeneous Graphs
当前SOTA级别的GNN模型主要用于处理同质图的数据。然而,在推荐系统中使用的图数据呈现出异质性特征。现有技术中的推荐系统(RS)中的GNN模型多基于基础型GNN架构进行优化与改进。值得深入探讨的是,在针对具有特定特性(如节点类型、边权重等)的异构图场景下是否为异构图设计专门化的传播与更新机制能够进一步提升模型性能?
6.2 Multi-graph Information Integration
为了充分挖掘边信息的价值,在实际应用中有必要实现对边信息的有效整合,并将其与user-item交互机制相结合以提升模型性能。现有研究主要可分为两类:一类是在两个独立的图中分别学习节点表示;另一类则是将多源图融合为一个统一的图结构,并通过GNN模型在统一的图结构上进行学习。然而,在当前的研究中如何更好地整合多源图中的信息仍有待深入探讨。
6.3 Scalability of GNNs in Recommendation
为了应对大规模图的数据处理挑战, 现有研究主要依赖于采样方法来构建子图, 从而减少计算资源的需求。其中一些研究采用了随机游走策略, 而另一些则采用了基于最短路径算法的方法构建子图, 这些采样方法对GNN模型的整体性能产生显著影响。值得注意的是, 在实际应用中无需过多关注全图的整体规模, 但其缺点在于每个传播层的节点层次信息更新都需要重新计算, 这会增加整体计算负担。未来的研究可以进一步探索在邻居构造与批次生成过程中优化采样的相关策略, 同时通过合理利用节点信息重用机制能够有效降低整体计算复杂度
6.4 Sequence Graph Construction for Sequential Recommendation
多数研究探讨相邻项之间的关联性,在MA-GNN模型中提取随后三项并建立连边关系。关于仅连接后续一项或多个项的研究仍具有进一步探索的空间。此外,在现有研究中忽视了 item 间时间间隔对关系影响的现象亟待改进。基于 GNN 性能受序列图结构制约这一事实可知,在构建有效的序列图方面仍需深入探究。
-END-
原创:知乎@yone
https://zhuanlan.zhihu.com/p/323302898
通过扫描二维码加入QQ讨论群,并与志同道合的伙伴们一起交流学习,在群里共同进步吧!还有更多专业的大佬随时在线解答你的疑问。
**

**
【严肃脸.jpg】
赞/在看
赞/在看
由于微信平台的算法进行了调整, 公众号的内容不再是按照时间顺序进行展示, 而且部分文章可能会因流量不足而被限流显示. 如果大家还想继续关注直播或学习相关信息, 我们强烈建议先给我们一个小星星✨, 并且多多点击一下【赞/在看
⭐点亮小星星⭐的步骤为:
1 点击最上方“图与推荐”,进入公众号主页
2 点击右上角的小点点,在弹出界面点击“设为星标”,就可以啦
!

图与推荐
扫码关注我们/设为星标
图神经网络/推荐算法/图表示学习
您的“点赞/在看/分享 ”是我们坚持的最大动力!
坚持不易,卖萌打滚求鼓励 ฅ>ω<*ฅ
