基于图神经网络的推荐系统综述(SHIWEN WU,... Graph Neural Networks in Recommender Systems: A Survey)笔记
1.介绍
推荐系统基于用户的兴趣特征与物品属性特征来识别或判断用户对物品的偏好程度。其中用户的兴趣特征与物品属性特征均以压缩向量的形式进行表示。因此,在该领域中基于包含历史交互记录以及其他辅助信息(如社交关系网络和知识图谱)的学习任务是主要的研究挑战
在推荐系统中,默认情况下绝大多数信息都呈现出图形化的特征。例如,在用户-物品交互矩阵中进行序列处理时,默认情况下绝大多数信息都呈现出图形化的特征,并与之对应的知识表示形式也自然地成为一种典型的图形数据类型。此外,在用户-物品交互矩阵中进行序列处理时,默认情况下绝大多数信息都呈现出图形化的特征,并与之对应的知识表示形式也自然地成为一种典型的图形数据类型。因此,在推荐系统的相关研究中已广泛采用这一技术路径并取得了显著效果
最近的研究表明,在引入用户/物品与辅助信息之间互动的方式采用图形化手段时
2.推荐系统和图神经网络概述
2.1推荐系统
推荐系统基于用户的属性或用户与物品之间的互动分析得出用户的偏好及商品特性,并据此提供相应的产品建议。
传统的推荐方法假设用户具有固定的偏好模式,并基于用户的隐式反馈(如点击行为)或显式反馈(如评分数据)对用户与物品之间的潜在兼容性进行建模。该方法旨在预测用户对特定物品的兴趣程度,并为用户提供前 N 个可能感兴趣的物品列表作为推荐结果。许多研究采用矩阵形式来表示用户的交互记录,并将推荐任务嵌入到矩阵分解过程中以捕获潜在关系。然而,在深度学习领域中逐渐兴起的方法开始探索使用神经组件取代传统的矩阵分解模型。构建基于图结构的数据模型时,在节点之间建立关联关系能够有效捕捉复杂的交互模式。此外,在实际应用场景中常需整合社交网络、知识图谱等外部辅助信息以提升模型性能。通过整合这些外部辅助信息能显著增强系统的泛化能力,在数据稀疏的情况下表现尤为突出。在融合外部信息的过程中常用的方式包括引入正则化项约束优化过程或通过自定义的目标函数来进行特征提取与融合
基于顺序信息的个性化推荐系统旨在预测用户接下来可能感兴趣的物品。现有研究表明,在推荐系统中使用马尔科夫链模型来建模物品间的转换关系。其中一种方法是将矩阵分解与马尔科夫链模型相结合[2010]。已有研究表明,在序列建模方面表现出色的另一种方法是使用循环神经网络单元来捕捉序列模式[2018]。为了提升推荐效果不仅依赖于最近点击的行为还需要综合考虑整个序列信息[2018STAMP]。受Transformer模型在自然语言处理领域取得的成功启发研究者们开始关注将其应用于推荐系统中[2018]。SASRec模型通过引入自注意力机制成功地捕捉到了复杂的序列交互模式并进一步提升了推荐性能[2018]。随着图神经网络技术的发展研究人员开始探索将序列数据转化为图结构并利用图神经网络来分析数据间的相互作用从而达到更好的建模效果。
2.2图神经网络技术
图神经网络技术(GNN)能够通过消息传递机制来捕捉图中各节点之间的依赖关系。GNN的核心理念在于通过迭代聚合来自节点邻居的特征信息,并将此整合到当前节点的表示中 。就是否采用谱卷积运算而言,现有的GNN方法可划分为谱方法与非谱方法两类
针对谱方法与卷积运算,在图论框架下定义了拉普拉斯算子的特征分解过程在傅里叶域中展开分析。鉴于特征分解操作需要大量计算资源,在此研究中选择切比雪夫多项式作为替代方案进行近似计算。例如,在图神经网络(GCN)架构中,默认采用一阶局部卷积机制通过迭代传播来自邻居节点的信息。值得注意的是,在时域与频域的不同模型设计中均遵循这一传播机制的基本思想:即所有基于频域的模型均以原始图结构为基础来表征节点间的关系
非谱方法分别实现了信息聚合器与更新器的功能。信息聚合器负责收集并整合来自邻居节点的消息;而信息更新器则用于融合中心节点及其邻近节点的信息。在信息融合过程中,在聚合阶段的主要研究工作主要采用均值池操作来平等处理每个邻居节点的信息[16GraphSAGE];或者采用注意力机制来区分不同邻居节点的重要性[56GAT]。在信息更新阶段,则提供了多种整合策略来结合这两种表示形式。
以下是对当前主流的四种图神经网络框架的分类介绍:图卷积网络(GCN)、图注意力网络(GAT)、门控图神经网络(GGNN)以及GraphSAGE。这些方法从不同角度对图数据进行建模和表示学习,并结合特定领域任务进行了针对性优化。
- GCN 通过式

更新嵌入,其中

是激活函数。

是添加了自连接的无向图的邻接矩阵,且

。
- GAT 区分了邻居的影响,并通过关注邻居来更新每个节点的向量。
,

。
- GGNN 在更新步骤中采用门控循环单元(GRU),

,

GraphSAGE 在固定大小的邻域范围内进行采样,并提出了均值、LSTM和池化聚合器,并通过连接操作来进行更新

,
。
2.3为什么使用图神经网络进行推荐
主要有两个方面:(1)在推荐系统中广泛存在的大量数据都具有图结构特征;(2)现有的GNN技术在捕捉节点间关系及图数据表征能力方面表现出色。旨在通过分析用户的交互行为及可获取的信息来优化个性化推荐机制;通过消息传播机制有效提取用户的偏好与商品特征。大多数现有研究大多是从矩阵视角出发分析问题;将用户的反馈信息(隐式如点击次数或显式如评分)转化为矩阵形式进行处理

,其中m是用户总数,n是物品总数。
从图形化的角度来看,在用户有过点击或购买记录时,则这些项目与该商品之间建立了关联关系。由此可见,在推荐系统中将用户-商品关系抽象为一种二分式图形模型(如前所述),其具体表现形式则体现在如图1所示的图表之中。此外,在推荐系统中不仅能够体现单个项目的前后关联关系(即项目间的关系网络),还可以通过将项目序列转换为路径式图形(如图2所示)来展现更为复杂的关联模式——这种路径式图形不仅展示了连续项目的互动关系(即边的存在情况),同时也直观地呈现了每个项目的入度和出度情况(即入邻接矩阵和出邻接矩阵)。相比于传统的基于序列的数据分析方法,在这种路径式图形模型下对项目间相互作用的可能性描述更加灵活多样;值得注意的是,在一些辅助信息资源中也天然地具备这种图形化表示能力——例如社交网络数据以及知识库数据等(如前所述)

用户-物品二分图

序列图和邻接矩阵

用户之间的社交关系

知识图谱
对于基于用户的二分图来说, GNN通过逐步传递来自交互节点的信息来进行用户的表征更新以及同时进行节点表征的更新,从而增强了用户的表征表达能力。此外, GNN还能够被用于学习带有图形结构的边信息之压缩表达形式,并结合交互数据中的嵌入特征提升整体推荐性能。另外一种方法则是将多个子图整合为一个异构知识网络,然后在整个网络上进行信息传播以实现知识融合与共享。
3.基于图神经网络的分类
注:文中使用的所有符号描述如下表。

根据所使用的不同信息类型对基于图神经网络的模型进行分类,并据此将现有模型按是否考虑物品间的顺序关系划分为一般性推荐与序列化推荐(如上所示)。其核心依据在于:(1)各类别输入信息所对应的图拓扑结构存在显著差异性特征,在此基础之上则需采取相应的GNN处理策略以实现有效建模;(2)两类不同的推荐机制背后的根本假设存在本质区别性特点:其中一种是基于静态用户偏好的建模型的一般性推荐方法,在这种设定下主要关注于固定不变的用户体验偏好特性;另一种则是以动态视角为基础的关注用户行为变化趋势的序列化推荐方法,在此过程中需重点捕捉用户的动态偏好的演变规律性特征。

基于图神经网络的推荐模型类别
对于这类有向图中的各条边而言;每条边都反映了当前时刻某个事件的发生情况;同时它还隐含着某种因果关系:即前一时刻的行为会对后一时刻产生一定的影响作用;因此在建模时需要同时考虑前后项之间的相互影响关系
从另一个角度来看;在这种情况下我们所关注的是动态变化过程中的关联性问题:即当前的行为模式会受到过去行为模式的影响;而这种影响作用又可以通过边权重的形式被量化表示出来
至于如何具体实现这一目标呢?我们可以通过引入适当的权重系数来表征不同邻居的重要性差异;并结合深度学习算法中的注意力机制来进行优化计算
接下来我们将简要介绍几种常见的推荐方法类型
- 一般推荐: 模型假设用户的偏好在时间上保持恒定。基于所使用的不同信息类型,进一步将其划分为三个子类别。当缺乏辅助信息时,在现有模型中,默认将用户与物品的关系建模为一个二分图结构。当具有社会关系信息时,则采用GNN方法来分析社会影响力,并提升用户的表征质量。在拥有知识图谱信息的情况下,则采用GNN方法来捕获物品与物品之间的相关性,并进一步增强物品的表征能力。
- 序列推荐: 其核心思想在于捕获序列中的转换模式。大多数现有研究仅关注于基于序列数据来分析用户的动态偏好变化。他们在构建相应的序列图结构后,并结合GNN技术来分析转换模式的规律性特征。
该表格罗列了具有代表性的模型,并基于其使用的信息类型、图的不同类型以及采用的不同GNN技术进行了系统性概述

基于图神经网络的推荐系统
4. 一般推荐
传统的推荐系统主要依赖于利用用户-物品交互数据来构建模型,并通过分析这些数据反映每个用户的长期兴趣偏好。然而,在实际应用中常常面临数据稀疏性问题以及冷启动(Cold Start)场景下的性能下降 challenge. 在冷启动场景下(即为新用户或新商品建立初始推荐),推荐系统的效率会显著降低。为了应对这两个挑战, 研究者们尝试引入社交网络信息与知识图谱等辅助数据源来提升推荐效果. 本节对整体框架进行了概述,并介绍了各类子类方法的主要代表及其优缺点讨论.
4.1无辅助信息
推荐系统的核心数学问题在于矩阵补全这一技术的应用。现有研究基于交互矩阵的分解方法来推导出用户与商品之间的潜在关系,并通过这种潜在关系进一步推断出用户的偏好倾向。从图论视角分析,在协同过滤模型中利用交互数据能够构建一个基于二分图的网络结构。在这个网络模型中推荐系统中的矩阵补全问题等价于在图上进行链接预测任务。具体而言,在构建的二分图模型中,在这种结构下每个用户的相邻节点代表了所有可互动的商品信息
在二分图上运用GNN方法的核心在于利用用户点击的物品来提升用户的表征能力,并通过已有的交互记录来拓展物品的表征空间。
SVD++则基于潜在因子模型进行了改进。
值得注意的是,在这种基础之上构建起来的一阶单层GNN模型被视为一种改进型的方法。
而多层结构设计则能够更好地模拟信息传播机制。
4.1.1总体框架
在给定的用户-项目二分图中,关键挑战在于如何通过GNN模型实现基于用户的推荐机制,同时利用这些用户的互动数据帮助系统识别与目标物品相关的潜在关联。为了提升推荐系统的性能,我们需要解决四个核心问题:
- 图的构建: 由用户节点集和商品节点集构成的图中包含用户与商品之间的交互关系。
- 邻居聚合: 在计算效率的前提下, 如何通过有代表性的邻居节点来进行信息传播而非全局范围内的传播?
- 信息更新: 如何将中心节点与其邻接节点的聚合结果进行结合?
- 最终节点表示: 是否采用最后一层特征向量或者多层特征向量进行融合来生成最终表示?

用于用户-物品二分图的GNN框架
4.1.2代表方法
GC-MC专为解决评分预测问题而设计。通过二分用户-物品图来表征用户的互动数据,其中带有标记边的节点则代表已观测到的评分信息。在缺乏额外信息的情况下,GC-MC主要基于其交互记录中的物品(或用户)节点来进行建模与推理工作;然而,在这种情况下它并未考虑原始用户的自身属性或物品本身的特征,则将用户的表征定义为交互物品集合的聚合结果。假设不同类型的物品在反映用户的偏好方面具有相似性,并且不同类型的用户对所接触过的商品具有相同的影响力这一假设下推导出传播公式如下:

其中

是激活函数,

表示评分类型集,

是评分类型

的节点

的度,

是评分类型

的可训练变换矩阵。
GC-MC仅关注了一阶邻居节点,并未能充分利用基于图结构传播的信息来提升模型性能。简单来说,在这种情况下全部舍弃用户或商品节点的原始信息可能会导致遗漏用户的内在偏好或商品的内在属性。
STAR-GCN构成GCN模块的堆叠。各模块结构一致,并可参考GC-MC模块。采用多个GCN模块而非连续叠加多层GCNs的原因在于过多的卷积层可能导致过度平滑现象。为了使各模块间信息有效传递,STAR-GCN引入重建机制:旨在从聚合表示中恢复原始输入节点向量。在训练过程中特别关注标签泄露问题。该方法建议于训练阶段暂时屏蔽某些节点,并在其被屏蔽的位置引入重构损失(如图所示)。最终总损失由预测误差与重建误差两部分组成。
基于重构策略解决过度平滑问题的STAR-GCN同时联合优化预测与重构任务;相比GC-MC具有更好的性能。GC-MC与STAR-GCN对称地处理邻居的影响;其消息仅由邻居节点决定。两者都采用节点表示最后一层来进行评级预测。
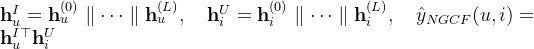
NGCF根据图结构的中心节点之间的亲和力来决定消息传播 。并利用了利用残差网络的优势,通过使用不同层的表示来获得最终的节点嵌入。这样做的动机是:(1)符合用户兴趣的物品嵌入应该更多地传递给用户(对于物品也是,对物品需求的用户嵌入应该更多地传递给物品);(2)在不同层中获得的表示强调了通过不同连接传递的消息。具体来说,NGCF使用元素乘积来增强用户关心的物品特征或用户对商品特征的偏好 。以用户节点为例:

利用激活函数LeakyReLU将自身及其邻居的表示相加以更新节点嵌入:

个体特性的表达更多地体现在较低层次中,在此基础之上高阶层次则更能体现各节点之间的相互作用关系。该模型通过巧妙的设计将各层次的信息进行融合以实现网络结构信息的有效捕捉与传播

NGCF展现出卓越的表现归功于其整体节点表示中的残差策略以及消息传播机制所带来的亲和力。上述研究方法成功整合了GNN模型到全局图中,并避免了对邻域采样的需求。一方面该方法保留了原始全局图的关键结构特征;另一方面在面对大规模复杂网络时存在一定的局限性
PinSage通过融合随机行走机制与图卷积网络(GCN)来学习节点表示。该模型采用了基于随机游走的采样策略以实现对固定邻域范围内的有效信息提取。具体而言,则是通过从任意选定的起始节点出发进行多次随机游走过程模拟, 并在此基础上计算相关的特征表示, 从而实现对节点嵌入的有效学习。

标准化访问次数。**节点

的邻域是标准化访问次数最高的前

个节点。这样,那些不与节点

Immediate neighbors may also serve as its neighbors. Furthermore, when aggregating the vector representations of the neighbors, the normalized access counts are used to reflect the importance of the neighbors. Drawing inspiration from the GraphSage method, PinSage aggregates neighbor vectors through a process that leverages their normalized access counts.

与

的当前表示

进行连接操作,并将其与非线性变换相结合以实现特征间的高效融合。通过标准化操作来约束节点嵌入的尺度范围,在提升训练过程稳定性的同时带来了更高的组合自由度

最后的节点嵌入,是最后一层表示的非线性变换,即:

。
实验结果表明,在网络推荐系统中采用重要性池化策略能够显著提升性能。这表明中心节点的邻域可能无法等价地表示自身的特征。基于随机游走采样方法设计的PinSage框架能够在包含数百万用户与商品的大规模网络中实现高效的推荐任务。尽管在提高计算效率方面有所牺牲,在实际应用中该方法仍能有效满足相关需求
IG-MC则专注于不使用边信息的归纳矩阵补全方法,同时实现与最先进的传导方法相似或更好的性能。它首先根据 用户-物品对 构建单跳子图 (而不是对整个图进行操作):具体是给定目标用户和目标物品,物品集是目标物品和目标用户曾经交互过的物品的组合,用户集是目标用户和曾经与目标物品交互过的用户的组合 。用户和物品集中的实体是子图中的节点。封闭的子图提取设计减少了对原始图结构的依赖,从而缓解了稀疏情况下的性能下降,并增强了其将模型迁移到另一个数据集的泛化能力。它采用与GC-MC类似的传播策略,不同之处是它保留了一些中心节点嵌入的信息,即:

。IG-MC还采用连接操作来聚合不同层的信息作为最终的用户/物品表示。
该方法引入了创新性的子图构建策略;通过实现归纳矩阵完整性,并显著提升了模型泛化能力。当遇到数据稀疏性和 cold-start 问题时,“相较于现有方法如 GC-MC 等基准模型,“该方法在此情况下表现更为突出;”
4.1.3总结
本文从多个方面概述了现有缺乏辅助信息的相关领域的研究。
图表构建
GNN通过逐步传播的方式向各个层级传递单-hop邻居的信息。随着层数的增长,节点数量呈现指数级增长特性。在大规模图中应用GNN时需要对邻域进行采样操作,以减少计算开销并提高效率。具体而言,PinSage算法采用了随机游走策略从固定大小的邻域中进行采样操作,而IG-MC则可能牺牲了更多的原始图信息来进行采样构建子图的过程。就传递机制而言,IG-MC的方法更为理想;如果采用其他策略,则可能会导致结果不如PinSage优化效果显著。研究发现,有效的采样策略直接决定着模型的整体性能表现,因此进一步探索更加高效的邻域构建与采样方法具有重要意义
邻居聚合
如图6所示, 可将聚合函数划分为四类: ①平均池化, 对周边节点一视同仁; ②度归一化处理, 根据图结构为节点分配标准化权重; ③注意力导向型池化, 使用注意力机制区分邻居的重要性; ④中心点强化型, 考虑节点间的亲和力, 并通过中心点过滤邻居信息. 相较于基于平均池化或度归一化的聚合方式, 区分邻居的影响往往能带来更好的性能表现, 其主要原因在于交互的物品难以保持一致的代表性以反映用户的偏好.
信息更新
一些研究将邻居节点的特征聚合后作为新生成中心节点的表征。多数研究倾向于融合中心节点与其邻近节点的信息。常见的集成策略包括平均池化层、加法汇聚层以及转接连接模块(后者有助于增强多模态特征的表现能力)。在无需特征交互的情况下,默认采用平均池化与加法汇聚操作即可满足需求。
最终节点表示
一些研究采用GNN最后一层节点向量作为表征形式的同时也存在其他方法如加权池化或通过连接操作整合各层节点表示的情况。考虑到不同层级输出反映了各自特定的关系网络结构综合考虑各层节点表征能够更为全面地提升模型性能

无边信息的一般推荐中GNN的整体框架
4.2社交网络增强
伴随着社交网络的兴起
在实践中,社会影响力经由社交网络中的递归途径进行传播与扩散,即一个人可能会受到朋友的朋友圈的影响.图神经网络的一个显著问题是其迭代性扩散机制,这与其所描述的朋友间信息传递机制具有一致性.由此促使研究者们致力于通过GNN模型来模拟这一现象.
4.2.1总体框架
现有研究已将社交影响力融入推荐系统中,并将其作为提升系统性能的重要手段之一。在这一领域研究中发现,在实际应用中这些联系强度通常是不可知或难以量化确定的特性主要体现在以下两个方面:(1)在社交图谱中,默认情况下会结合用户的互动数据以及物品间的关联信息来辅助决策;(2)通过从这些图结构中获取的知识能够提升用户的表征能力。根据这一背景特点主要需解决以下两个问题:第一,在实际应用中如何有效提取并表征这些复杂的社会网络结构特征是一个关键挑战;第二,在动态变化的社会网络数据环境下进行有效的建模与推理分析同样面临诸多困难。通过以上分析可知,在构建基于社会网络影响力的个性化推荐模型时仍然面临诸多技术难题和理论挑战
- 社交影响力的内涵: 在社交网络中讨论个体间的社会影响力的均衡性问题?当存在不均衡时,在社交网络中如何区分不同个体的社交影响力的差异?
- 偏好融合机制: 用户与其好友之间存在社会关系的同时也在与其他商品产生交互作用。在理论层面探讨社会影响维度与行为互动维度下的用户特征提取问题时以下图表分别展示了上述两种策略的具体实施方式。

社交增强一般推荐中 两图 上的GNN整体框架

社交增强一般推荐中 统一图 上的GNN整体框架

用于社会增强推荐系统的GNN框架
4.2.2代表方法
本节将介绍社交增强通用推荐中的四种具有代表性的推荐方法,并指出每种推荐方法均采用了独特的策略来进行影响力建模或偏好整合。
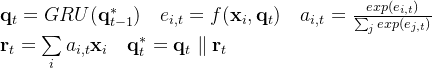
DiffNet通过分析用户的社交关系与历史行为来构建其偏好模型 。该方法基于graphSage框架模拟用户受递归社交扩散影响的过程,在该模型中假设朋友具有同等影响力,并通过均值池化函数将朋友的表示进行融合。受SVD++框架的启发 ,该模型将历史项目的表示映射到物品空间中以反映用户的偏好,并利用迭代扩散后的用户表示取代传统的用户嵌入方法。

其中右项表示用户的整体偏好,

表示用户

一种历史物品群体。注释:将交互物品嵌入映射到投影空间中的用户偏好相当于将用户的单步邻居表示引入向量聚类。在两项实验中发现最佳传播深度设定为两层。相较于基于TrustSVD的方法,DiffNet通过图神经网络(GNN)捕捉了更为深入的社会传播机制。这一假设与现实情况存在较大差异,导致结果可能出现偏差。此外,通过分析用户的互动行为,DiffNet能够更好地反映真实世界的复杂性。
GraphRec认为用户参与了社交网络图和用户-物品二分图 ,并使用图注意力网络分别在这两个图中学习用户/物品嵌入 。利用具有连接操作的注意力机制来区分邻居的影响。在社交图中,朋友的影响力取决于他们潜在向量之间的相似性 。

在用户-物品二分图中,物品对用户的代表性不仅取决于用户和物品嵌入,还取决于连接的评分类型。为了获得整体用户表示,它将物品空间表示和社会空间表示连接起来,并应用多层MLPs。

注意力机制基于辨别好友影响力与物品重要性来增强整体效果。然而,在GraphRec中仅采用单层GAT模型来模拟社交图中的社交影响关系。
该方法同时考虑了用户间的社交关系以及物品间的相互关联性。
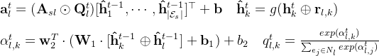
与现有研究不同的是,在DANSER中,我们通过双图注意力网络实现对双重社交影响特征的协同学习。
其中一个是基于特定于用户的关注机制建立的,另一个则是由动态且受上下文影响的关注机制构建...
在静态影响方面,DANSER通过传播每个用户的偏好向量来反映这种特性...
而在动态影响力方面,DANSER则采用依赖目标物品上下文信息的关注向量来进行传播...

其中

是用户点击的商品集,

是商品

嵌入表示中包含了丰富的信息内容。值得注意的是, 每个商品都包含两个表征维度, 这些表征通过图注意力网络构建了动态更新机制. 其动态更新机制基于图注意力网络, 旨在捕捉商品间相互作用的复杂关系. 此外, 该研究还提出了一种基于策略的融合算法(将权重分配建模为上下文[multi-armed bandit]问题),该算法根据特定用户-商品对动态分配四个交互特征的权重. 然而这项研究成功地整合了静态与动态偏好信息, 然而这项研究成功地整合了静态与动态偏好信息, 却未能充分考虑商品间关系的具体变化特性.
该模型在同一个框架内整合了影响力传播与兴趣传播机制。该模型首先通过GAT机制对二分图与社交网络中的邻居信息进行整合。通过注意力融合模块将邻居的两个隐藏状态结合起来。将融合后的向量用于更新用户的表征。相似地,在物品节点上,交互用户的表征信息同样经过GAT机制传播。为了捕获不同层次的社会关系网络特征,该模型将各个GCN层的中间状态进行连接并作为整体表征的基础。其优异性能归因于双层传播机制与整合操作的优势,在这一过程中相比于简单的平均方法,这种注意力机制能够更有效地捕捉关键信息。
4.2.3总结
下面从两个角度简要总结了现有的社交增强一般推荐方面的研究。
影响力建模
现有研究表明,在多数情况下采用注意力机制以识别不同用户的社交影响;然而研究表明,在对比平均池化操作时发现其性能更为优异;其实质是在于认为不同用户的社交关系通常与其所处的朋友圈存在差异;鉴于此,在推荐系统中 friend 的影响可能因商品特性而异;此外,DANSER模型还针对每个商品构建了动态化的用户行为特征模型;在面对丰富多样的商品时,这种动态化的表征能够带来显著的帮助作用
偏好整合
用户在两种不同类型的网络环境中进行交互活动:一种是基于用户-物品二分图结构进行的数据建模;另一种则是基于社交图(Social Graph)进行的人际关系建模。现有研究通过整合这两种网络中的信息资源来提升用户的个性化推荐能力。其中一部分研究工作分别从这两种不同的网络视角出发提取用户的特征表示;随后将这些表示信息融合到最终的偏好向量中构建完整的推荐框架。这种方法的优势在于能够保证邻居节点具有相似性特征;而另一种方法则是通过将两个独立的网络进行融合构造一个统一模型;利用图神经网络(GNN)来学习综合化的偏好表示空间。这种方法的优势在于能够使用户的特征表示在多个层次上同时考虑两种不同的信息来源从而获得更加丰富的表征空间。然而当前学术界还没有确凿的研究证据表明上述任意一种策略必然优于另一种。
4.3知识图谱增强
与传统推荐方法相比,在推荐系统的构建过程中引入知识图谱(KG)可以从三方面显著提升推荐效果:其一,在知识图谱中项目之间丰富的语义相关性有助于揭示潜在关联;其二,在知识图谱中多种关系能够有效拓展用户的兴趣范围;其三,在知识图谱中通过建立与用户过去喜欢的项目之间的联系来提升推荐系统的可解释性
虽然知识图谱涵盖了大量信息
4.3.1总体框架
知识图谱

由实体-关系-实体三元组

组成。其中

分别表示三元组的头、关系和尾,其中

和

该系统由实体及其关联关系构成。基于用户行为数据及构建的知识图谱框架下开展研究工作时所关注的重点即在于:通过充分挖掘知识图谱中蕴含的丰富信息资源来识别商品间的潜在关联性,并结合现有数据构建相应的连接模型;同时构建反映用户偏好的行为模型;为了应对这一具有挑战性的研究课题,在深入分析现有技术局限的基础上提出了以下三个主要研究方向:
图形简化: 考虑到KG结构的高度复杂度,如何简化图结构实现高效传播?
多关系传播: 为了传播来自链接实体的信息,应该同时考虑实体和关系。
用户集成: 为了在推荐系统中实现知识图谱的应用,在实际操作过程中需要将用户的角色信息融入到知识图谱的架构体系中。例如,在特定用户场景下,各实体间的关联关系需要通过相应的机制进行构建和管理。
4.3.2代表方法
本文将介绍通过知识图谱技术提升广义推荐系统的性能,在这一过程中探讨了四个具有代表性的研究方向。每个研究方向均提出了一系列针对性策略以应对该领域的核心挑战。
注

此传播算法可归类于图注意力网络架构,在特定领域应用中,默认情况下邻居的重要性被视为固定值。相较于传统的GAT模型,在特定用户及其关联关系中,默认情况下邻居的重要性被视为固定值。注:值得注意的是,在同一个知识图谱中,默认情况下不同用户的物品整体表示具有差异性。最终预测结果由用户的偏好向量与其对应物品的整体表征所构成。
主要目标是基于对重要知识图谱关系的分析来构建针对特定用户的物品嵌入模型

对用户

的重要性是什么?给定基于特定用户的评分函数来评估不同关系。
知识图谱中的多个关系可以用邻接矩阵分别表示。
通过构建邻接矩阵将复杂的知识结构转化为传统形式。
这种转换使图卷积网络具备可应用性。
特别地,在使用个性化加权后的邻接矩阵时,经典GCN模型的表现与GAT机制表现出相似性

其中

属于可微函数类别的一种常见形式...例如内积操作。此外,KGNN-LS引入了标签平滑正则化策略...以促进其对未观察交互关系的有效建模。

其中

被称为实体的标签函数。类似于节点之间的特征传播,在图上的一种标签平滑度等同于图上的一种标签传播方案。消融实验验证了约束在相同标签相邻节点上的有效性。
KGAT将用户节点视为知识图谱中的一个实体,并将用户与物品之间的互动视为一种关联。通过融合操作形成一个统一的图结构。为了提取节点的表示信息,它采用了GAT机制来充分挖掘实体间的关联性。具体而言,在优化自身表示的过程中会递归传播邻居信息,并根据注意力机制区分不同邻居的重要性。

值得注意的是,在推荐系统中,邻居的重要性主要由与之相连的实体及其关系所决定。此外,在KGCN模型中,默认情况下用户的偏好表示会随着交互项的迭代而不断更新。与以往研究不同的是,在KGCN模型中,默认情况下每个用户的物品嵌入都是相同的。最后采用广泛使用的方法TransR模型,并基于平移机制对实体及其关系的嵌入进行规范化处理。

它交替优化知识图谱正则化项和配对得分预测项。
IntentGC基于多实体知识图谱重构了用户与用户关系和物品与物品关系。例如,若用户

和用户

当两个用户都通过辅助节点建立联系时,则该辅助节点类型代表这两个用户的互动关系。这一转换过程使得图结构得以显著简化,并将原始多模态关系图转化为两个同构式的子图。这种简化的图结构虽然牺牲了一部分信息量但显著提升了信息传播效率。在这一过程中 用户嵌入与物品嵌入分别从两个独立的子图中进行学习 在传统的向量卷积运算设计中 默认假设每个连接向量仅能捕捉到相邻节点间单一对特征之间的相互作用 因此 为了更好地适应复杂网络中的多种异构关系 我们提出了一种更为高效且灵活的向量卷积运算方法

注意,在不同知识图谱类型间存在对应的设计理念与技术架构选择标准。通过系统化的实验对比分析显示,在网络表示学习方面(IntentGC)表现出明显的优势特征与创新价值:该模型在关键任务指标上取得超越现有方法(如GraphSage)显著提升的效果水平,并且其核心优势在于对向量信息进行深度融合的能力远超传统的串联处理方式。
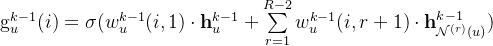
AKGE在第一步自动提取高阶子图 ,这些子图连接了具有丰富的语义用户-物品对。子图的构建依赖于配对节点(该节点是根据其嵌入和最短路径算法计算得出的**)之间的距离** 。对于迭代传播,AKGE采用了一种注意力机制来汇总邻居的节点嵌入。邻居的重要性取决于连接的及其之间的关系。在更新步骤中,AGNN采用GRU机制来整合邻居表示和中央节点表示。

通过消融实验分析表明,在随机采样的方法与基于元路径的方法进行对比时,在基于最短路径构建的子图上表现出更好的效果,并且这种构造方法还揭示了通过类别归属与注意力机制增强节点嵌入所带来的优势。其核心在于这一构造过程依赖于TransR模型预训练得到的实体嵌入以及距离测量的定义。
4.3.3总结
基于以下几点对现有的知识图谱增强型通用推荐工作做了简明扼要的归纳。
图形简化
知识图谱包通常包含大量实体与关联,在基于知识图谱的GNN表示学习中面临诸多挑战。现有研究已尝试通过简化图形结构来解决这一问题。其中AKGE采用最短路径算法构建子图以模拟原始复杂网络特性;而IntentGC则专注于保留用户间及物品间的特定邻接关系。这种简化的策略可能需要权衡信息损失与计算效率之间的关系。由此可见,在探索有效简化的策略方面仍有许多值得深入研究的方向。
多关系传播
知识图谱(KG)的一个显著特点是支持多种关联类型。通过引入注意力机制来聚合邻居信息是一种普遍采用的有效策略。注意力机制的设计直接影响着信息传播的效果。在分析邻居的影响时,现有研究中的一部分(例如KGCN与KGNN-LS)特别关注了用户与节点之间的互动;而另一些研究则聚焦于节点之间的连接及其相互作用。
用户集成
知识网络作为一种辅助工具,在于其能够超越简单的二分图结构这一前提下展开应用。值得注意的是,在 KG 中的数据量通常显著超过了 二分图的数据量。某些研究利用 GNN 学习物品向量,并假定用户的兴趣特征是静态不变的。另外一批研究尝试将两幅图整合为单一网络,并将用户节点视为 KG 中的重要组成部分。
5.序列推荐
基于用户最近行为的sequence recommendation旨在预测用户的下一个偏好**(preference)**
5.1没有附带信息
现有研究主要采用循环神经网络模型(如长短期记忆网络LSTM和 gated recurrent unit GRU)来捕捉物品选择行为的时间依赖性特征。受Transformer模型在序列建模方面的卓越表现影响,在推荐系统领域出现了一系列基于自注意力机制的设计方法用于分析用户动态偏好变化规律。然而用户的行为偏好远超传统的基于时间序列模式理解能力范畴;其内在顺序并非完全随机排列而遵循某种特定规律性结构。最新的GNN研究则通过将每个用户的消费行为序列抽象为一个图结构来提升行为预测的效果,并最终实现了与现有算法相当甚至超越的最佳性能水平
5.1.1总体框架
根据物品间的邻接关系分析可知, 物品序列可以通过构建图结构数据来进行建模。基于会话图的架构下, GNN网络能够捕捉到物品之间复杂的关系网络, 这些关联特征在传统的序列方法中往往难以被充分揭示出来。为了将GNN应用到序列推荐系统中, 需要解决一系列关键问题以提升模型性能
- 图的构建: 在用于序列推荐时,在GNN模型中需要将原始数据转化为时间顺序相关的表征,并将其构建为对应的图结构。
- 信息传播: 针对给定的时间顺序图,在实际应用中必须设计一个有效的方法来捕捉并分析各节点之间的相互作用关系。
- 顺序偏好: 在分析用户的观看历史时,在时间维度上应关注其表现出的时间偏好趋势,并对提取出的关键特征进行集成处理后得到更加精确的结果。

说明了序列推荐中GNN的整体框架

用于序列推荐的GNN框架
5.1.2代表方法
下面简单介绍几个序列推荐中没有辅助信息的代表性方法。
SR-GNN[1][2]为每个会话序列构造一个有向的会话图。具体来说,在连续点击的两个物品之间存在一个有向边,例如,从物品

到物品

在有向图中存在一条边链接。SR-GNN在会话图中定义了一个邻接矩阵用于表示会话图中的输出结果;另一个邻接矩阵则用于表示会话图中的输入结果。

和输入

边的加权连接。在传播过程中,物品嵌入分别由

映射为输出表示和输入表示。先前点击的物品和下一个点击的物品的信息将传播到当前物品 ,如下所示:(“:”表示矩阵的切片操作,这里是提取矩阵的第j行)

其中

是在

层会话

该模型将注意力机制应用于节点表示(注:该方法假设邻域中的节点具有相似的重要性,并通过归一化邻域矩阵赋予相同权重)。基于SR-GNN框架,在每个时间步中,通过GRU神经元模块动态协调来自不同邻居的信息融合与遗忘过程。

为了更准确地预测用户的下一次点击行为,研究者们致力于深入分析用户最近的行为模式与偏好特征之间的关联性。SR-GNN通过整合会话中当前关注的内容以及整体兴趣维度的信息,在模型构建过程中实现了对目标事件的精准预测能力。具体来说,在模型构建过程中

层最后一次点击的物品的嵌入作为会话

的局部嵌入

。全局嵌入

则采用该种软注意力机制(而非传统的),用于整合对话内容

中各物品的嵌入。

其中

和

控制物品嵌入向量的权重,

将两个组合的姓梁压缩到整个会话嵌入中。
GC-SAN和NISER采用与SR-GNN相同的图形结构和信息传播策略。GC-SAN采用自注意力机制来生成会话表示 ,从而更好地捕捉序列中各项之间的交互。推荐结果表明,基于GNN的推荐模型倾向于推荐热门商品,而无法推荐相关的长尾物品(不太热门或不太常见的物品)。为了解决流行度偏差问题,NISER在物品和会话嵌入中都应用L2归一化 。消融研究表明,归一化操作有效地缓解了流行度偏差。此外,为了增强物品交互的序列信息,向物品嵌入中添加了位置嵌入。
A-PGNN关注用户在序列中的作用 ,并通过注意力机制明确地对历史会话会对当前会话产生的影响进行建模 。大多数基于会话的推荐方法处理的是用户未知的情况,因此许多基于会话的推荐方法仅将用户的全部会话视为一个单一序列,而忽略了会话之间的关系。A-PGNN利用用户所有会话行为构建用户行为图,从而丰富了物品之间的连接。为了整合用户的影响,每个物品嵌入都与用户嵌入进行拼接 。消融研究表明,引入用户向量合并对性能的提升作用不大,原因可能是因为序列行为足以反应用户的时序偏好。边权重与 物品及其下一个点击的物品出现的次数呈线性比例关系,而非对邻居一视同仁。A-PGNN还采用GGNN来捕获物品之间的信息传递。创新点是,当前会话的表示通过整合历史会话中包含的信息得到了增强。 通过将当前会话嵌入作为查询,注意力机制利用了历史会话对当前会话的影响。消融研究表明,用历史会话增强当前会话嵌入以表示用户偏好是有效的。
FGNN利用图注意力网络(GAT)捕获序列图中的物品转换。具体而言,FGNN为不同的邻居分配了不同的权重,这些权重取决于连接的边和节点 ,而不仅仅依赖于邻接矩阵,并使用加权和来更新中心节点 ,而不是负责的门控机制。目前没有证据表明GAT是否优于GGNN,它的性能取决于具体任务。

在对话图的所有节点上提取嵌入表示后,在此基础上构建了一个基于门控循环单元(GRU)与注意力机制相结合的学习框架;进而指导模型按照特定顺序从记忆单元读取相关信息;这种设计突出了序列中的项目排列顺序;同时消融实验进一步验证了该方法的有效性

MA-GNN将静态和动态用户偏好和物品共现模式相结合,用于序列推荐。MA-GNN从三方面衡量用户对目标物品的偏好:用户的静态偏好、短期和长期兴趣以及物品共现模式。具体来说,它利用GNN对对短期内的物品上下文信息进行建模。需要注意的是,序列图的构建是为了提取后续的三个物品并在他们之间添加边,这种方式对接下来三个物品的处理是无差别的。(分号“;”用于分隔两个向量并将它们拼接(concatenate)在一起 )

除此之外,在建模用户的行为模式时,MAGNN主要依赖于共享记忆网络这一技术手段来进行分析研究。在实现动态目标行为预测的过程中,为使模型能够有效捕捉到不同时间尺度上的行为特征,MAGNN引入了具有自适应能力的注意力调节模块,该模块能够根据具体情况进行行为模式预测权重分配并据此生成相应的预测结果

和

分别表示矩阵乘法和逐元素乘法)

5.1.3总结
从以下角度总结了不包含辅助信息的序列推荐相关工作。
图构建
为了解决序列推荐问题,在GNN模型中首先需要根据用户的序列行为构建一个序列图。现有研究(例如SR-GNN)通常仅在两个连续点击的物品之间建立连接关系。然而,在MG-GNN模型中,则采取了一种更为全面的方式:为了捕捉用户的兴趣演变规律,在后续三项中添加边,并对这三项进行等距处理以保证一致性。这种处理方式使得模型不仅能够反映用户兴趣的变化趋势,并且还能有效避免由于兴趣消退现象导致的信息丢失问题。目前尚无明确证据表明这两种方法哪一种更为优越;此外,在现有研究中仍存在一个关键缺陷:未能充分考虑相邻项之间的间隔时间这一潜在影响因素;这可能进一步提升模型性能表现
信息传播
许多研究倾向于使用均值池化(mean-pooling)这一方法来进行邻居信息的聚合;而另一些则通过注意力机制来区分不同邻居的影响。鉴于GRU在序列建模领域已被广泛认可为一种有效的工具;因此;大多数研究都采用了GRU模型来更新中心节点的表示;并综合考虑了邻居的信息以及自身的特征。
序列偏好
该GNN组件能够生成每个节点的独特表示。
为了将多个节点表示转换为有序序列表达。
MA-GMMN通过均值池化操作实现了数据汇总。
SR-GMMN、GC-SAN以及A-PGMMN都运用了关注点相关的方法。
FG-NNG同时融合了GRU结构和关注点机制。
应用关注点机理的目的在于区分不同位置的重要性。
FG-NNG在信息传播过程中结合了GRU结构以强化关联性,
这是因为其已经在关注点识别阶段进行了相关处理。
5.2社交网络增强
社交网络增强的一般推荐主要认为用户的偏好会受到朋友的影响,并且每个用户的兴趣是静态的。相比之下,在序列推荐中用户的需求是动态变化的 并且用户的行为也会受到朋友的影响。对于社交网络增强的一般推荐 一些研究仅仅将社交网络视为图数据 而另一些则从图结构的角度综合考虑了社交信息以及用户与物品之间的交互关系 类似地 社交网络增强的序列推荐也同样面临两种不同的策略 现在基于会话的历史记录结合社交网络信息的研究还较少得到重视 下面简要介绍一项具有代表性的研究工作
DGRec主要认为社交网络应被视为图数据结构。通过最近会话行为数据,采用LSTM模型提取用户动态兴趣特征。由于社交影响可能受不同情境的影响,在该框架中采用了GAT模型来区分不同类型的朋友影响力。对比实验结果显示,在仅依赖传统推荐方式与加入辅助信息的序列化推荐方法中,该方法表现更为突出。这一结果进一步验证了在序列化信息处理中考虑动态社交因素的有效性。
6.未来的研究方向
虽然图神经网络(GNNs)在推荐系统领域表现出显著成效,并未阻挡其探索未来研究方向的可能性
6.1面向异质图的高效GNNs
最近的图神经网络(如GCN、GAT和GGNN)在同质图数据上的研究取得显著进展。然而,在推荐系统中遇到的大多数图数据都是异质的(如用户-物品二分图与知识图谱)。基于现有研究发现,在推荐系统中应用的大多数基于图神经网络的方法均可视为基础架构设计的衍生方案(如表2所示)。例如,在PinSage方法中采用基于重要性采样策略构建子图,并基于重要性池化方法整合邻居信息;而LightGCN则通过去除非线性和特征变换模块简化了传统的GCN架构设计。
基于推荐系统中图数据的独特性质,在探索高效算法方面有必要进一步探究能够实现更高效率的图神经网络架构。特别地,在处理异质图方面是否存在一种与现有同质图策略不同的独特传播机制及其更新逻辑?这种新机制能否带来改进并提升其在推荐系统中的实际应用效果?
6.2多图信息整合
辅助信息已被证实对提升推荐系统性能具有重要意义,在数据稀疏性和 cold-start 问题中尤为突出。为了更好地利用辅助信息以提高推荐系统的性能表现,则需要有效地整合辅助信息与用户的交互关系网络结构等关键要素之间的联系机制。
某些研究尝试从不同知识网络出发分别提取特征表示,并基于这些特征向量设计联合空间以促进最终目标的实现。
例如,在社交网络嵌入与用户兴趣嵌入之间构建映射关系,则可以通过拼接方式形成统一表达空间。
此外,在知识融合框架下开发联合模型也是研究热点之一。
两种策略各有其独特的优势;然而目前尚无确凿的证据来证明哪一种策略更为优越。鉴于此,在整合来自不同图的信息方面仍需进一步的研究与探索
6.3GNNs在推荐系统中的可扩展性
在实际系统中的应用具有重要性,在实际系统中的应用具有重要性,在实际系统中的应用具有重要性,在实际系统中的应用具有重要性,在实际系统中的应用具有重要性,在实际系统中的应用具有重要性
在此架构下无论全图规模多大都可以实现对神经网络的有效应用然而在这种架构中存在局限性:节点表示需在每个传播层次重新计算为此建议进一步探索邻域构建与批量采样的优化策略若能部分重用节点表示则可显著提升时间复杂度
6.4序列推荐的序列图构建
已知一些信息(包括社交网络与知识图谱)通常被以图形化的方式表示出来。近期研究表明,在处理序列数据时将其转化为序列图,并成功地应用了图神经网络于序列推荐领域取得了显著成果。然而,在大多数研究中,默认的做法是仅考虑两个相邻的项目之间的关系模式而非更为复杂的联系方式。相比之下MA-GNN方法则突破常规采用了三元组关系模型并在此基础上构建起相应的边集从而实现了对后续三项关系的有效捕捉这一创新特性使其在推荐性能上表现出了显著的优势值得进一步探讨和完善

两个物体之间的连接问题仍然值得进一步探究。此外,在现有研究中未能充分考虑物品间的时间间隔问题。不同时间跨度内的物品在其转移过程中可能产生不同的影响效果。例如,在时序数据处理领域中采用Time-LSTM模型能够有效捕捉长时依赖关系(Time-LSTM通过时间门机制扩展了原始LSTM结构),从而展现出显著的优势对比于传统LSTM方法。基于此可知,在构建有效的序列图方面仍有许多值得深入探讨的问题。
