深度学习论文: EfficientNet: Rethinking Model Scaling for Convolutional Neural Networks及其PyTorch实现
发布时间
阅读量:
阅读量
深度学习领域的研究论文:《基于标量的卷积神经网络重新思考》及其PyTorch实现
1 概述
论文提出了一种多维度混合的模型放缩方法,在综合考虑网络结构复杂度、计算资源占用以及图像质量的基础上实现了平衡优化。

相较于其他的网络结构,EfficientNet在ImageNet的性能更为优异。

2 Compound Scaling
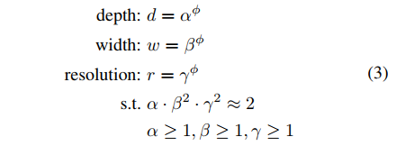
Model Scaling可以表示为一个给定资源约束的模型精度最大化问题。即

其中,w、d、r 分别是网络宽度,网络高度,分辨率的倍率。
之前的研究主要针对 Depth (d), Width (w) 和 Resolution ®这三个关键参数中的单一维度进行网络调节。观察下图可知,在单独优化某一个参数时能够获得较好的效果(单一维度调节的效果相对较好),然而这些改进的效果在达到一定水平后会趋于平缓(约80%左右)。

然而综合平衡三个关键参数的同时优化可能会导致较高的计算成本。为此建议采用一种复合系数体系(Compound Coefficient Framework),用于调节这三个核心指标的增长幅度。

其中,在\alpha, \beta, \gamma均为常数的情况下(这些常数可以通过grid search方法获得)。混合系数\phi则可由人工进行调节设置。卷积操作的计算量(FLOPS)与其相关,并与d, w^2, r^2之间存在正比例关系。其复杂度可近似表示为(\alpha, \beta^2, \gamma^2)^\phi的形式。在上述约束条件下设定好混合系数\phi后(即设置好该参数),网络的整体计算量大致相当于原来的2^\phi倍。
3 EfficientNet
B0网络结构: φ = 1,α = 1.2; β =1.1; γ = 1.15


PyTorch代码:
import math
import torch
import torch.nn as nn
class Swish(nn.Module):
def forward(self, x):
return x * torch.sigmoid(x)
def ConvBNAct(in_channels,out_channels,kernel_size=3, stride=1,groups=1):
return nn.Sequential(
nn.Conv2d(in_channels=in_channels, out_channels=out_channels, kernel_size=kernel_size, stride=stride, padding=kernel_size//2, groups=groups),
nn.BatchNorm2d(out_channels),
Swish()
)
def Conv1x1BNAct(in_channels,out_channels):
return nn.Sequential(
nn.Conv2d(in_channels=in_channels, out_channels=out_channels, kernel_size=1, stride=1),
nn.BatchNorm2d(out_channels),
Swish()
)
def Conv1x1BN(in_channels,out_channels):
return nn.Sequential(
nn.Conv2d(in_channels=in_channels, out_channels=out_channels, kernel_size=1, stride=1),
nn.BatchNorm2d(out_channels)
)
def Conv1(in_planes, places, stride=2):
return nn.Sequential(
nn.Conv2d(in_channels=in_planes,out_channels=places,kernel_size=7,stride=stride,padding=3, bias=False),
nn.BatchNorm2d(places),
Swish(),
nn.MaxPool2d(kernel_size=3, stride=2, padding=1)
)
class Flatten(nn.Module):
def forward(self, x):
return x.view(x.shape[0], -1)
class SEBlock(nn.Module):
def __init__(self, channels, ratio=16):
super().__init__()
mid_channels = channels // ratio
self.se = nn.Sequential(
nn.AdaptiveAvgPool2d(1),
nn.Conv2d(channels, mid_channels, kernel_size=1, stride=1, padding=0, bias=True),
Swish(),
nn.Conv2d(mid_channels, channels, kernel_size=1, stride=1, padding=0, bias=True),
)
def forward(self, x):
return x * torch.sigmoid(self.se(x))
class MBConvBlock(nn.Module):
def __init__(self, in_channels, out_channels, kernel_size=3, stride=1, expansion_factor=6):
super(MBConvBlock, self).__init__()
self.stride = stride
self.expansion_factor = expansion_factor
mid_channels = (in_channels * expansion_factor)
self.bottleneck = nn.Sequential(
Conv1x1BNAct(in_channels, mid_channels),
ConvBNAct(mid_channels, mid_channels, kernel_size, stride, groups=mid_channels),
SEBlock(mid_channels),
Conv1x1BN(mid_channels, out_channels)
)
if self.stride == 1:
self.shortcut = Conv1x1BN(in_channels, out_channels)
def forward(self, x):
out = self.bottleneck(x)
out = (out + self.shortcut(x)) if self.stride==1 else out
return out
class EfficientNet(nn.Module):
params = {
'efficientnet_b0': (1.0, 1.0, 224, 0.2),
'efficientnet_b1': (1.0, 1.1, 240, 0.2),
'efficientnet_b2': (1.1, 1.2, 260, 0.3),
'efficientnet_b3': (1.2, 1.4, 300, 0.3),
'efficientnet_b4': (1.4, 1.8, 380, 0.4),
'efficientnet_b5': (1.6, 2.2, 456, 0.4),
'efficientnet_b6': (1.8, 2.6, 528, 0.5),
'efficientnet_b7': (2.0, 3.1, 600, 0.5),
}
def __init__(self, subtype='efficientnet_b0', num_classes=1000):
super(EfficientNet, self).__init__()
self.width_coeff = self.params[subtype][0]
self.depth_coeff = self.params[subtype][1]
self.dropout_rate = self.params[subtype][3]
self.depth_div = 8
self.stage1 = ConvBNAct(3, self._calculate_width(32), kernel_size=3, stride=2)
self.stage2 = self.make_layer(self._calculate_width(32), self._calculate_width(16), kernel_size=3, stride=1, block=self._calculate_depth(1))
self.stage3 = self.make_layer(self._calculate_width(16), self._calculate_width(24), kernel_size=3, stride=2, block=self._calculate_depth(2))
self.stage4 = self.make_layer(self._calculate_width(24), self._calculate_width(40), kernel_size=5, stride=2, block=self._calculate_depth(2))
self.stage5 = self.make_layer(self._calculate_width(40), self._calculate_width(80), kernel_size=3, stride=2, block=self._calculate_depth(3))
self.stage6 = self.make_layer(self._calculate_width(80), self._calculate_width(112), kernel_size=5, stride=1, block=self._calculate_depth(3))
self.stage7 = self.make_layer(self._calculate_width(112), self._calculate_width(192), kernel_size=5, stride=2, block=self._calculate_depth(4))
self.stage8 = self.make_layer(self._calculate_width(192), self._calculate_width(320), kernel_size=3, stride=1, block=self._calculate_depth(1))
self.classifier = nn.Sequential(
Conv1x1BNAct(320, 1280),
nn.AdaptiveAvgPool2d(1),
nn.Dropout2d(0.2),
Flatten(),
nn.Linear(1280, num_classes)
)
self.init_weights()
def init_weights(self):
for m in self.modules():
if isinstance(m, nn.Conv2d):
nn.init.kaiming_normal_(m.weight, mode="fan_out")
elif isinstance(m, nn.Linear):
init_range = 1.0 / math.sqrt(m.weight.shape[1])
nn.init.uniform_(m.weight, -init_range, init_range)
def _calculate_width(self, x):
x *= self.width_coeff
new_x = max(self.depth_div, int(x + self.depth_div / 2) // self.depth_div * self.depth_div)
if new_x < 0.9 * x:
new_x += self.depth_div
return int(new_x)
def _calculate_depth(self, x):
return int(math.ceil(x * self.depth_coeff))
def make_layer(self, in_places, places, kernel_size, stride, block):
layers = []
layers.append(MBConvBlock(in_places, places, kernel_size, stride))
for i in range(1, block):
layers.append(MBConvBlock(places, places, kernel_size))
return nn.Sequential(*layers)
def forward(self, x):
x = self.stage1(x)
x = self.stage2(x)
x = self.stage3(x)
x = self.stage4(x)
x = self.stage5(x)
x = self.stage6(x)
x = self.stage7(x)
x = self.stage8(x)
out = self.classifier(x)
return out
if __name__=='__main__':
model = EfficientNet('efficientnet_b0')
print(model)
input = torch.randn(1, 3, 224, 224)
out = model(input)
print(out.shape)
代码解读
全部评论 (0)
还没有任何评论哟~
