精解:EfficientNet: Rethinking Model Scaling for Convolutional Neural Networks
Abstract: CNN通常都是在固定资源预算下开发设计,如果有更多的可用资源再将模型结构放大以获取更高的精度。这篇文章系统性的研究了模型的缩放并且仔细验证了网络深度,宽度,分辨率之间的平衡可以使网络获得更好地性能表现。基于此发现,提出了一个新的网络缩放方法----利用一个简单且高效的复合系数来完成对深度/宽度/分辨率所有维度的统一缩放。文中通过MobileNets和ResNets对这种方法的高效性进行了展示。
更进一步说,文中使用神经网络结构搜索设计一个新的baseline网络,并且将模型放大获得一系列模型,比之前CNN的准确率更好更有效,称之为EfficientNets。特别的,EfficientNets-B7 在ImageNet上获得了SOTA的成绩,精度分别为84.4%/top-1和97.1%top-5。同时比之前最好的CNN缩小了8.4倍,并且快了6.1倍。EfficientNet也可以很好地用在迁移学习上,并且在CIFAR-100(91.7%精确率)和Flowers(98.8%精确率)等其他三个迁移学习数据集上分别获得了SOTA精度,参数减少一个数量级。
(Paper index: https://arxiv.org/abs/1905.11946)
(Code index: https://github.com/tensorflow/tpu/tree/master/models/official/efficientnet)
1. Introduction
为了获得更好地精度,放大CNN被广泛的使用。通过使用更多的网络层ResNet可以被放大到ResNet-18到ResNet-200。近来,通过对一个baseline模型进行四倍的放大,GPipe获得了84.3%的准确率登上ImageNet的榜首。然而,CNN放大的处理并没有被很好地理解,目前有很多方法可以做到。最常用的方式是通过在网络深度上或者宽度上放大CNN。另外一种不常用是图像分辨率进行模型放大,但越来越受欢迎。在先前的工作中,通常都是在深度,宽度,和图像大小三个维度其中之一进行缩放。尽管放大任意两个甚至三个维度时也是可能的,任意缩放需要繁琐的人工调参,同时可能产生的是一个次优的精度和效率。
本文中,通过学习和重新思考CNN的放大处理过程。特别的,我们调查了一个核心问题:是否存在一个准则对CNN进行放大可以得到更好地精度和效率?实验研究表明,平衡深度、宽度和分辨率这三个维度是十分重要的,更为惊讶的是这种平衡可以通过一个常量比率来对每一个维度进行简单缩放。基于此发现,提出了一个简单且高效的复合缩放方法。与常规方法不一样,任意的放缩这些因素。文中用一组固定的缩放系数统一对网络宽度,深度,分辨率进行缩放。例如,假设我们需要使用2N倍的计算资源,我们可以简单的对网络深度扩大αN,βN,γN,其中α,β,γ都是通过在原始小型模型上进行小型网格搜索决定的常系数。图2展示了本文缩放方法和传统方法的区别。

直观的,复合缩放方法是说的通的,因为如果输入图像很大,网络就需要更多的层去扩大接受域和更多的通道去捕获更大图像上有更多细粒度的模式信息。事实上,先前的工作和实验结果都展示了网络深度和宽度之间存在确定的关系,但是据我们所知,本文是第一个根据经验量化网络宽度,深度和分辨率这三个维度之间关系。
我们证实了我们的缩放方法在现有的MobileNets和ResNet上表现突出。特别的,模型缩放的效率严重的依赖于baseline网络;进一步说,我们使用了神经结构搜索去发展一个新的baseline网络,对其放大并获得一个一系列的模型组,称之为EfficientNets。图1总结了ImageNet的性能表现,文中的EfficientNet明显比其他网络表现突出。特别的,EfficientNet-B7超越了现有最佳的GPipe的精度,但是参数量少了8.4倍,速度快了6.1倍。和现有的ResNet-50相比较,我们的EfficientNet-B4在具有相近的FLOPS(floating-point operations per second,每秒浮点运算次数)的情况下将top-1的精度从76.3%提升到83.0%(+6.7%)。除了ImageNet,EfficientNet迁移的效果也是表现良好,在8个广泛使用的数据及上其中5个获得了SOTA精度。

2. Related Work
CNN****的精度 :自从AlexNet在2012年的ImageNet比赛上夺魁,CNN在体量增大的同时精度变得越来越高。2014年的ImageNet冠军GoogleNet(又名InceptionNet)拿到了top-1的排名,在参数量为6.8M的同时精度更是达到74.8%。2017年的ImageNet冠军SENet拿到了top-1的排名,在参数量为145M的同时精度达到了82.7%。前不久,GPipe进一步的将ImageNet top-1 的精准度推进到84.3%,使用了557M的参数数量:它如此的大以至于需要将网络划分使用特定的并行化手段训练,然后将每一部分传递到一个不同的加速器。然而这些模型主要是为ImageNet设计,将其迁移到其他应用上时效果也很好。尽管高精度对于很多应用很重要,我们已经达到了硬件存储的限制,获得更高的精度仍需要更高地效率。
CNN****的效率: 深度CNN经常参数过量。模型压缩是一个常用的方法通过牺牲精度来换取效率减少模型的尺寸。手机的使用无处不在,手动设计高效的手机尺寸的CNN变得寻常化。(SqueezeNets,MobileNets,ShuffleNets)。近来,神经结构搜索在移动尺寸CNN的高效设计变得越来越受欢迎,扩展性的调整网络的宽度、深度、卷积核的类型和尺度和手工mobile CNN的设计相比较有着更高的效率。然而,如何应用这些技术在更大的模型上有一个更大的设计空间和更好扩展的调整代价尚不清楚。这篇文章中,我们针对研究更大的CNN模型的效率,其准确性要超越SOTA的精度。为实现这个目标,我们通过模型缩放来实现。
模型缩放 :根据不同的资源约束,有很多方法对CNN进行缩放。ResNet可以被缩小(ResNet-18)和扩大到(ResNet-200)通过调整网络的深度。同样的,WideResNet和MobileNets可以通过网络的宽度进行缩放。众所周知,更大的输入图像尺寸将有助于提升精度,同时增加更多的FLOPS。尽管经验学习已经展示了网络深度和宽度对CNN的表达力很重要,仍遗留一个开放的问题:如何更高效的缩放CNN去获得更高的效率和更高的精度。本文的工作系统性和实验性的研究了CNN的在网络宽度,深度,分辨率三个维度上的缩放。
3. Compound Model Scaling
Problem Formulation:

不像常规的CNN设计,大多数聚焦于在寻找最好的层结构Fi, 在不改变预先在baseline网络下定义的Fi情况下,模型放缩尝试延伸网络的长度,宽度,分辨率。由于固定了Fi, 模型缩放简化了新资源限制的设计问题,但是在探索不同层中的Li; Ci; Hi; Wi始终保留了更大的设计空间。为更进一步减少设计空间,限制所有层必须以一个常量比例被统一的缩放。我们的目标是在任何已给的资源限制下,最大化模型的准确率。优化问题可以定义如下:

Scaling Dimensions

问题2中的主要困难在于优化d, w, r相互依赖并且值的变化是在不同资源约束情况下。由于这个原因,传统方法大都缩放CNN在这些维度中的一个:
Depth(d):缩放网络深度是经常被CNN用到的一种方法。直观上深度CNN在新的任务中可以捕获到更多和更复杂的特征,有着很好地泛化性。然而,由于存在梯度消失问题,深度网络往往很难去训练。尽管很多技术被提出,像跳跃链接,批归一化,减轻训练问题,很深的网络获得的精度仍然在减少:例如,ResNet-1000和ResNet-101有着相同的精度尽管它有更多的层数。图3(中)展示了我们通过不同深度系数d在缩放baseline模型的实验研究,进一步表明非常深的ConvNets的准确性回报递减。
Width(w):缩放网络宽度通常被小尺寸模型广泛采用;更宽的网络倾向于获得更好地细粒度特征,并且训练起来比较简单。然而,过分宽且浅的网络在获取更高层次的特征显得非常困难。图3(左)的实验结果展示了精度快速显著增加当网络变得更宽的时候同时有着更大的系数w。
Resolution(r):高分辨率的输入图像,CNN可以捕获到更细粒度的模式。早期的图像大小以224224开始,为获取更高的精度,现在图像大小倾向于使用299299或者311311。近来,GPipe取得了SOTA的成绩使用了480480的分辨率。更高的分辨率,600*600,也经常被用到基于CNN的目标检测中。图3(右)展示了缩放网络分辨率的结果,更高的分辨率的确提高了网络的精度,但是网络精度在高分辨率的情况下精确率明显下降(r = 1.0 表示分辨率为 224x224 and r = 2.5 表示分辨率为 560x560)。
发现1: 缩放网络的任何一个维度,宽度,深度,分辨率都将提升网络的精准度,但是精度在模型较大的时候会降低。
Compound Scaling:
实验发现对不同维度进行放缩是不独立的。直观的,对于高分辨率的图像的说,我们应该增加网络的深度,在大的图像中大的接受域可以帮助获取相似特征包括更多的像素。相应的,当分辨率高的时候我们应该增加网络的宽度,旨在高分辨率图像中获得更多像素更细粒度的图案。这些直观的建议我们需要协调和平衡不同的缩放维度,而不是常规的单维度缩放。
为了验证我们的直观结论,我们在不同网络深度和分辨率中比较宽度缩放,如图4所示。如果我们在不改变深度(d=1.0)和分辨率(r=1.0)的情况下,仅仅对宽度w进行网络缩放。精度显著变化。当深度(d=2)和高分辨率(r=2)的时候,在同样的FLOPS代价下宽度缩放取得了更高的精度。
发现2: 为了追求更高地精度和效率,在CNN缩放的时候平衡所有的维度宽度,深度,分辨率极为重要。
事实上,一些先验工作以及尝试任意的平衡网络的宽度和深度,但是它们都需要大量的人工微调。

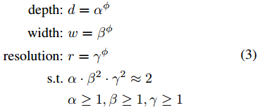
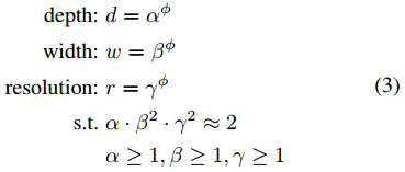
本文中,提出了一种新的复合缩放方法,利用一个遵循准则的复合系数φ去统一的缩放网络的宽度,深度,分辨率:

小的网格搜索可以决定常量α,β,γ。直观的,φ是一个用户指定的系数控制着模型缩放可用资源的多少,α,β,γ指定如何在网络的宽度,深度,分辨率方面分配这些多余的资源。值得注意的是,常规卷积运算的FLOPS与d,w2,r2成正比,即网络深度加倍会使FLOPS翻倍,但网络宽度或分辨率翻倍会使FLOPS增大四倍。由于卷积运算通常在CNN中占主导地位,因此用等式3缩放CNN将使总FLOPS大约增加(α·β2·γ2)φ。在本文中,我们对α·β2·γ2≈2进行约束,使得对于任何新的φ,总FLOPS大约会增加2φ。
4. EfficientNet Architecture
**** 由于模型的缩放不改变baseline网络中的Fi的层操作,所以一个好的baseline网络十分重要。文中将通过现有的CNN来评估缩放方法,为了更好地验证我们缩放方法的有效性,我们开发了一个新的mobile-size的baseline,命名为EfficientNet。
受到MnasNet的启发,我们也开发了一种多目标的神经网络结构搜索同时优化精度和FLOPS,我们的搜索空间和MnasNet相同,同时我们的优化目标为ACC(m)×[FLOPS(m)/T]w ACC(m)和FLOPS(m)分别是模型m的精度和计算量,T是目标计算量,w=−0.07是一个超参数用来权衡精度和FLOPS。不像MnasNet中的优化目标,这里优化的是FLOPS而不是延迟,因为我们没有说是要在特定的硬件平台上做加速。我们的搜索方法得到了一个高效的网络,我们称之为EfficientNet-B0,因为我们使用的搜索空间和MnasNet相似,所以得到的网络结构也很相似,不过我们的EfficientNet-B0稍微大了点,因为我们的FLOPS预算也比MnasNet中大(400M)。table 1展示了EfficientNet-B0的结构,它的主要构建块就是移动倒置瓶颈MBConv,其网络结构如下:

从EfficientNet-B0作为baseline开始,我们应用我们的复合缩放方法分两步对其进行放大。
STEP1 :首先固定φ=1不变,假设两倍多的资源是可用的,基于公式2和3对α,β,γ做一次小的网格搜索。特别的,我们发现EfficientNet-B0的最佳取值分别为α=1:2;β=1:1;γ=1:15,符合约束α·β2·γ2≈2.
STEP2 :接下来固定α,β,γ不变,结合公式3利用不同的φ对baseline进行网络放大,获得EfficientNet-B1-B7。
很明显,直接寻找α,β,γ可能在大的模型中获得更好地性能表现,但是在更大的模型上搜索的代价变得昂贵的多。我们的模型在小的baseline网络(step 1)中通过一次搜索就可以解决这个问题,然后对其它所有模型使用相同的缩放系数(step 2)。
5. Experiments
Scaling Up MobileNets and ResNets
作为概念证明,我们第一次将我们的缩放方法广泛的应用在MobileNets和ResNet中。表3展示了用不同方法对其缩放在ImageNet上的结果。和单维度缩放方法相比较,我们的复合缩放方法在这些模型上都提升了精度,证实了我们提出的缩放方法对现有的CNN有效性。


ImageNet Results for EfficientNet
EfficientNet模型在ImageNet上的训练使用了和MnasNet 相似的参数设置:优化使用了RMSProp函数,decay=0.9,momentum=0.9,batch norm momentum=0.99,weight decay=1e-5,初始的学习率为0.256,每2.4个epochs变为原来的0.97倍。同时使用了swish activation,固定的增强技术,随机深度(drop connect ratio 为0.2),同时更大的模型需要更强的正则化,所以我们线性地增加dropout比率从EfficientNet-B0的0.2到EfficientNet-B7的0.5.
表2展示了在相同baseline下缩放的所有EfficientNet模型性能。我们的EfficientNet模型通常使用的参数和FLOPS比其他具有相似精度的CNN少一个数量级。尤其是,我们EfficientNet-B7通过66M参数和37B FLOPS达到84.4%top1/97.1%top-5精度,比以前的最佳GPipe精度更高,但要小8.4倍。图1和图5阐述了具有代表性的CNN的参数-精度和FLOPS-精度曲线。不难看出,EfficientNet模型表现最佳。值得注意的是,EfficientNet模型不仅仅小,而且计算代价小。例如,EfficientNet-B3相比于ResNetXt-101获得了更高的精度并且FLOPS是后者的1/18。


为了验证计算代价,文中通过一些代表性的CNN方法在CPU上比较延迟,如表4所示,文中的平均运行延迟超过20次,表明我们的EfficientNets在硬件上执行更快。


Transfer Learning Results for EfficientNet
在一些迁移学习的数据集上对EfficientNet进行了评估,如表6所示。借用预训练好的模型设置(Gpipe和Do better imagenet models transfer better两篇文章),利用了ImageNet预训练的checkpoints和在新的数据及上进行微调,表5展示了迁移学习的表现。
图6比较了一系列模型的精度-参数曲线,在和现有模型少一个数量级参数的前提下,我们的模型一致的获得更高地精度。

为了更近一步的理解为什么我们的复合缩放方法就比其他的方法效果好,图7比较了使用不同方法的模型得到的class activation map的效果图,所有的这些模型都是从baseline模型缩放得到的,它们的统计特性如图表7。图片是随机从验证集中得到的,正如在图中可见,复合缩放得到的模型倾向聚焦于与更多目标细节相关的区域,而其他的模型要么缺乏目标细节,要么不能捕捉到图片中所有的目标。
