算法进阶--朴素贝叶斯,贝叶斯网络,D-separation
发布时间
阅读量:
阅读量
算法进阶--贝叶斯网络
该分类器基于Naive Bayes算法
* 三种通过贝叶斯网络判定条件独立
* D-separation-有向分离
朴素贝叶斯
- 朴素贝叶斯是假设样本特征之间相互条件 独立(给定条件y时互相独立)
如:(通过n个特征来判断样本y的分类)
P(y|x_1,x_2,x_3...x_n)=\frac{P(x_1,x_2,x_3...x_n|y)P(Y)}{P(x_1,x_2,x_3...x_n)}
在上式贝叶斯公式中,如果特征之间不条件独立,则会有:(对于分子,只展开x1的话)
P(x_1,x_2,x_3...x_n|y)=P(x_1|y)P(x_2,x_3..x_n|y,x_1)
若是特征之间相互独立的话:
P(x_1,x_2,x_3...x_n|y)=P(x_1|y)P(x_2,x_3..x_n|y)
也就是:
P(x_1,x_2,x_3...x_n|y)=P(x_1|y)P(x_2|y)P(x_3|y)....P(x_n|y)
所以最终求的就是:(p(x)为全概率公式,其实是定值来的,也就是分母可以省略)
y =argmaxP(y)\prod_{i=1}^{n}P(x_i|y)
高斯朴素贝叶斯
y =argmaxP(y)\prod_{i=1}^{n}P(x_i|y)
- 在朴素贝叶斯的基础上,特征服从高斯分布:

通过最大后验估计(MAP)来计算P(y)
多项分布朴素贝叶斯
y =argmaxP(y)\prod_{i=1}^{n}P(x_i|y)
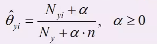
- 假设特征遵循多项式分布,则针对每个类别y而言,在给定变量下其参数定义为向量θ_y=(θ_{y1},θ_{y2},…,θ_{yn})其中n表示特征的数量在给定类别条件下变量x_i的概率由θ_{yi}决定。
- 基于最大似然估计的方法得出的结果是:

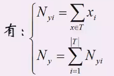
其中:假设有训练集T


贝叶斯网络
定义: 有向无环图=贝叶斯网络

全连接贝叶斯网络
定义:每一对节点之间都有边相连

三种通过贝叶斯网络判定条件独立
- 第一种:已知一个根节点,则根节点下的子节点之间是相互独立的 (tail to tail ):

数学推导 :

- 第二种: 已知中间节点,则前后节点之间是独立的 :(head to tail )

数学推导 :

- 第三种,未知子节点的情况下,两个根节点时条件独立的 :(head to head):

数学推导 :

D-separation-有向分离
给定任意三个节点集合A, B, C,在图论中我们通常会考察从A集合中的任一节点至B集合中的任一节点的所有路径。当设定A与B条件独立时,则必须确保所有这样的路径都被阻断。


若判定气体(Gas)与无线电(Radio)之间是否存在相互独立性,则需考察系统中节点A与节点B均拥有通过中间节点C的tail到 tail连接路径;此时可推断出气体( Gas)仅存在于节点B内部空间,则由此可知气体( Gas)与无线电( Radio)之间亦为相互独立关系。
全部评论 (0)
还没有任何评论哟~
