【图形学】计算机图形学知识点提纲4
发布时间
阅读量:
阅读量
【图形学】计算机图形学知识点提纲4
-
- 1.人视觉系统的基本构成
- 2.颜色感知的基本过程
- 3.RGB颜色模型:定义及其特点
- 4.颜色空间的基本定义及其特点
- 5.向量叉积的概念以及基本计算原理
- 6.二维图像的表示方法
- 7.二维图像的基本操作:线性滤波的定义、计算方法及其应用范围
1.人视觉系统的基本构成
眼睛:信号接收
- 角膜
- 晶状体
- 瞳孔
- 虹膜
- 视网膜:由大量的感光细胞构成
- 两类感光细胞:
- 视杆细胞:弱光情形下的检测
- 视锥细胞:强光情形下的检测【三类视锥细胞 => 光的不同波长 => 颜色感知】
视神经:信号传递
视觉皮层:信号处理
2.颜色感知的基本过程

3.RGB颜色模型:定义及其特点
- 定义:通过组合红、绿、蓝三元色得到不同颜色
- 特点:
在显示器、电视机以及相机等设备中广泛使用
设备相关的颜色模型
- 不同设备会产生具有差异的RGB颜色
- 不同设备上显示同一颜色信息:定义标准颜色配置文件,如sRGB
所能表示的颜色有一定范围
不适合描述主观感知
- “紫色”=“红色”+“蓝色”
- 颜色的“深浅”、“亮度”等
4.颜色空间的基本定义及其特点
- 定义:任一颜色可以表示为三元组:(X,Y,Z),定义一个X,Y,Z坐标系,每一颜色对应三维空间内的一个点,该三维空间称为颜色空间。
- 特点:CIE-XYZ颜色空间
- 使用“虚拟/想象”的三原色
- 无法生产对应的实际光源以再现所有可见光
- 对图像的编码和计算将变得低效且不实用:某些XYZ的取值没有对应的实际颜色



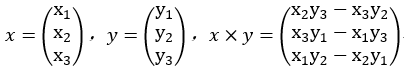
5.向量叉积的概念以及基本计算原理

6.二维图像的表示方法
图像的表示:
- 二维值阵列
- 阵列中的元素称为像素
使用单一实数表示灰度
使用三元组(R,G,B)表示颜色
还可以包含额为信息,如深度等
7.二维图像的基本操作:线性滤波的定义、计算方法及其应用范围
线性滤波定义:对于图像中的任一像素,取其邻域内的像素,传入某一函数计算并输出一新的像素值
- 每一像素使用相同的函数
- 输入以及输出图像一般具有相同大小
计算方法:将每一像素的值替换为邻域像素的平均值
应用范围:
- 图像增强:去噪,光滑,增加对比度等
- 图像信息提取:纹理,边,特征点等
- 模式检测:模板匹配
全部评论 (0)
还没有任何评论哟~
