【图形学】计算机图形学知识点提纲3
发布时间
阅读量:
阅读量
【图形学】计算机图形学知识点提纲3
- 1.阐述向量与矩阵的定义及其基本运算规则
- 2.介绍计算向量模长的方法,并定义单位向量的概念
- 3.探讨向量在计算机图形学中的主要应用场景
- 4.详细阐述向量内积的代数和几何定义,并分析其在图形学中的具体应用
- 5.深入解析向量叉积的概念及其基本计算法则
- 6.明确二维线性变换的数学定义及其性质
- 7.阐述二维平移、旋转与缩放变换矩阵的构造方法及推导过程
- 8.分析二维变换组合后的复合变换特性及其表现形式
- 9.介绍三角形重心坐标表示方法,并探讨其在计算机图形学中的实际应用
- 10.讨论如何将复杂平面形状分解为简单三角形的过程及其实质意义
1.什么是向量?什么是矩阵?要求掌握它们的基本算术运算
向量被定义为同时拥有大小和方向的物理或数学实体
矩阵被描述为元素按照矩形排列的实数或复数集合
基本算术运算包括:
向量运算:
模长即向量的长度
归一化处理使向量长度标准化为1
加法和减法运算用于对向量进行增减操作
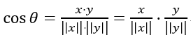
点积:
代数定义是指对应分量相乘后求和的结果
几何定义等于两向量长度乘以夹角余弦值
投影计算方法是将被投影向量长度乘以夹角余弦值
向量间夹角则指两向量之间的角度关系,在此范围内讨论更为合理

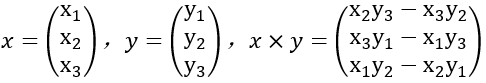
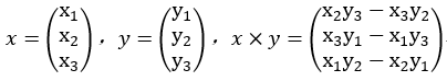
* 叉积:

* 矩阵计算 * 转置 * 加减 * 乘法 * 行列式计算
2.如何计算向量的长度?什么是单位向量?
- 向量的长度的计算:|(|X|)|=√(x_1^2 +x_2^2 )
- 单位向量:长度为1的向量
3.向量在图形学中有哪些主要应用?
- 表示方向
- 表示偏移
- 表示空间位置
4.向量的内积运算,包括代数以及几何定义,在图形学中的应用?
- 代数上的定义:两个向量对应分量相乘后求和
- 几何意义上的定义:两个向量的模长与其夹角余弦值的乘积
- 计算投影是否与第二个向量垂直:投影等于点积除以第二个向量的模长
- 计算自身点积:该值等于自身分量平方和开平方根
- 归一化处理后的点积即为两单位向量间的夹角余弦值
5.向量叉积的概念以及基本计算原理

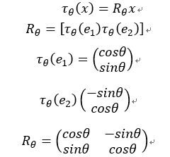
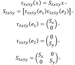
6.二维线性变换的定义
- τ:R^2 →R^2
- τ(αv+βw)=ατ(v)+βτ(w) ∀v,w∈R^2
- τ(x)=Mx
- M=[τ(e_1 )τ(e_2 )]
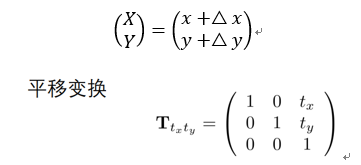
7.二维变换:平移、旋转、缩放矩阵及其推导过程
- 平移

- 旋转



- 缩放



8.二维变换组合的特点
将物体绕z轴旋转135°,然后平移到点(15,15),并等比例缩放1.2倍。

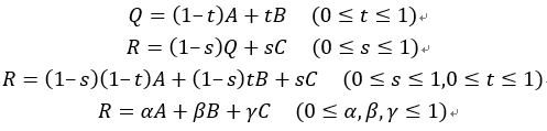
9.三角形的重心坐标表示方法,并了解其在图形学中的应用


- 重心坐标:(α β γ)
- 主要应用:
- 插值法向量
- 插值颜色
10.二维形状的三角化
我们称T为物体X的一个三角形集。如果T中的任意两个三角形t1和t2满足以下任一情况:
- 这两个三角形不相交;
- 它们共享同一顶点;
- 它们共享同一条边。
则称T为X的一个三角化。

全部评论 (0)
还没有任何评论哟~
