fov视场角计算_计算机视觉-----成像基础知识
像差
该文指出,在光学系统中存在两种主要类型的像是误差:彩色像是误差与单彩像是误差。彩色像是误差又被简称为彩色偏差(color difference),这是由于透镜材料的折射率与其所接收光波长之间存在函数关系所导致的一种像是误差现象。这种类型的像是误差又可分为位置彩色偏差(position color difference)与放大率彩色偏差(magnification color difference)两种类型。而单彩像是误差则指的是即使在高度单一光源照射下也会产生的另一种类型的像是误差现象;根据其作用效果的不同,则可将其划分为导致图像模糊以及图像变形两类情况。其中前者主要包括球面 aberration、彗形 aberration 和边缘模糊等现象。
在实际应用中, 光学系统所得的像与近轴光学得到的结果存在差异. 在这种情况下, 光学成像相对于近轴成像而言的失真现象称为视差.
由于复色光引起的色像差被定义为色差;而非近轴单色光则会导致单色像差的出现。在光学系统中常见的初级像差主要包括以下五类:球面像差、彗形像差、像散、以及由于光线路径弯曲所带来的图像模糊(即像场弯曲),最后还有因物体形状变形而产生的畸变。
由于镜头制造不够精确,也可能因为人员损坏而导致无法使所有光线汇聚于底片感光膜的同一位置;这会导致图像变形或者失焦模糊不清。
真实的人眼视网膜上会形成一个模糊不清的实际图像
赛德尔的五像差1856年德国的赛德尔,分析出五种镜头像差源之于单一色(单一波长)。此称为赛德尔五像差。
球差
轴上物点的物距L确定时,其像点位置L'是孔径角U(或h)的函数,实际像点与理想像点的位置之差,叫做球差。球差(Spherical aberration)亦称球面像差。轴上物点发出的光束,经光学系统以后,与光轴夹不同角度的光线交光轴于不同位置,因此,在像面上形成一个圆形弥散斑,这就是球差。一般是以实际光线在像方与光轴的交点相对于近轴光线与光轴交点(即高斯像点)的轴向距离来度量它。
对于单色光而言,球差是轴上点成像时唯一存在的像差。轴外点成像时,存在许多种像差,球差只是其中的一种。除特殊情况外,一般而言,单个球面透镜不能校正球差,正透镜产生负球差,负透镜产生正球差。对一定位置的物点而言,当保持透镜的孔径和焦距不变时,球差的大小随透镜的形状而异。因此,以适当形状的正、负透镜组合成的双透镜组或双胶合镜组是可能消球差的一种简单结构。保持透镜的焦距不变而改变透镜形状,犹如把柔软的物体弯来弯去,故被称为透镜的整体弯曲,它是光学设计时校正像差的一种重要技巧。

具有不同孔径角U的光线在光轴上交点与理想位置存在差异


球面 aberration 是位于焦点处唯一的一种单色像 difference。
其 measure 可以通过特定 method 来确定。
光线在 Gaussian 平面上并非聚焦于单一物 point 而是一个 circular 的 spread 区域。
定义为:

垂轴球差:


符号规则:由理想像点计算到实际光线交点
dL>0 --- 正球差:

dL<0 --- 负球差:

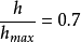
在球差曲线上定义的参数中,在最大孔径角U_max处对应的入射光线高度h_max即为全孔径(也称为边光球差)。

若

若某物镜的通光孔径为0.7毫米,并带有球差,则其可被描述为具有0.7毫米孔径或0.7带球差的带光球差组件。
将导致以下形式的曲线:

球差过校正
球差过校正
由于球差过校正而产生如下形式的曲线:

球差校正不足
具有初级球差与二级球差时的另一种球差曲线






第一项被定义为初级球差,在后续各项中分别被称为二级球差、三级球差等;而除了初级球差之外的各项则统称为高级球差。
在光学系统中,整个孔径光束的垂轴球面 aberration 在像面上形成了一个对称于光轴的圆形弥散斑,在严重情况下会导致轴上点成像变得模糊不清。
消减 aberration 的方法包括:
(1) 单个镜面无法消除 aberration 的三个位置;
(2) 齐明透镜的设计特性;
(3) 单透镜系统的 aberration 特性;
(4) 正负透镜组合的应用特性。
在消减 aberration 的过程中:
A. 一般情况下只能消除一个孔径范围内的 aberration;
B. 通常会对边缘区域的孔径进行 aberration 校正;
C. 不可能实现所有孔径范围内的 aberration 消除;
D. 出现负值 aberration 时校正不足;出现正值时则校正过头。
整个系统的总 spherical 偏心值是各个表面产生的 spherical 偏心误差传递到物面后的叠加结果;每个表面都会对 spherical 偏心产生一定的贡献;贡献大小即为该表面所引起的 spherical 分布值。
在物面一侧产生的 spherical 偏心不仅包括本表面造成的误差(即本生 error),还包括经转面放大或缩小后的影响(即经放大 error 或经缩小 error)。数学表达式如下:
\text{象方 spherical } = \sum (r_i \cdot k_i) + \sum (w_j \cdot m_j)
其中,
- 第一项表示各折射面所带来的本生 error,
- 第二项表示物方各折射面经转面放大或缩小后带来的影响误差,
- r_i 表示第 i 个折射面本身的 radius of curvature,
- k_i 表示第 i 个折射面对 spherical error 的贡献系数,
- w_j 表示第 j 个物方折射面对 spherical error 的贡献系数,
- m_j 表示第 j 个物方折射面对 spherical error 的放大或缩小倍率系数。

转面倍率:

球差分布系数与球差分布公式
球差分布系数

:
折射面的

与

的乘积即为该折射面对光学系统总球差值的贡献量。

称为球差系数。
球差分布系数的计算:
定义式:

计算式:

,其中,

。
运用
设单个折射曲面上某一点处的曲率半径为r,则该曲面上两点处的光线传播路径长度分别为u=0(顶点)、到中心的距离以及由l = r + (r·n₂)/n₁所确定的位置时均不产生像差,并且后两种情况具有重要的应用价值;而对于仅具有旋转对称性的反射镜而言,则只有当物体位于顶点和中心位置时才不会产生像差。所有具有旋转对称性的二次非理想表面反射镜都具有一对不引起像差的共轭点;其中抛物线型在无限远轴上某一点与焦点相对应;椭圆与双曲线各自对应于一对焦点,并且它们在光学设计中都有实际的应用。
在共轭球面系统中,在光路对称面上存在两种不同的像差类型:一种是位于主光轴上的物体所引起的最简单形式的像差;另一种则是偏离主光轴后的其他位置所造成的更为复杂的图像偏差现象。当一个主光轴上的物体在其固定物距L处采用宽束光阑对其进行成像时,则随着观察角度U(或观察高度h)的不同取值范围的变化情况可知:通过光学系统的映射后所得到的是非同心光线束集合体而非理想的同心光线束群落状态特征表现出来
不受物高的影响而与入射光瞳口径三次方成正比的像差。它使得在理想像平面上的所有像点都呈现为等大圆斑。仅存在球差这一种像差位于轴上物点。通过入射光瞳上不同环带的光线经过光学系统后会聚于光轴上的不同位置这些位置与近轴光的像点之间的距离称为轴向球差
单个折射球面的齐明点
对于单个折射球面经证明存在三处位置能够避免产生轴上点球差这三处位置即为所求
物点位于球心位置上,则所有光线将沿着法向入射,并且此时入射角为零;
焦点处于球面的顶点位置。无论U角取何值,在此情况下任意入射光线都将指向此处位置,并经过折射作用后都会从该位置发出;其像的位置同样在该顶点处。
3.物点位于

处,此时对于任意孔径角,有I'=U,U'=I。
彗差

光轴外的物点会产生彗差现象;其成像效果主要取决于偏离主光轴的程度,在这种情况下,光线聚焦变得复杂。
子午面对称平面既是系统的对称面也是光束传输的对称平面,在经过系统成像作用后的该平面上的所有光束仍位于同一平面上。由此可知,在二维空间中可以通过绘制平面图形来直观地表示出子午光束组的空间分布情况。
轴外物点B发射出经过入瞳中心的一道光线,并以此穿过具有高度对称性的入瞳中心线——即所谓的"主光轴"(principal ray axis)。在此基础上观察两条平行于该主光轴并位于其两侧等距离分布的参考视线(paraxial rays)——分别标记为a与b这两条射线之间的相对位置关系在未发生折射时是对称存在的;但在发生折射作用后,则会因空间几何关系的变化而导致这两条参考视线之间的相对位置关系失去原有的对称性——即它们之间的夹角不再与原来的数值相等;最终导致这两条射线不再交汇于同一个焦点上——或者说其交汇位置相对于未发生折射情况下的焦点位置已经发生了偏移
与物高呈线性关系、入射光瞳直径平方呈比例关系之像是由其决定的一类现象;当仅发生慧星差时,在理想图像平面上将被观察到来自轴外物体点经不同光环传递而产生具有半径变化并伴随视场半径方向偏移的一系列同心圆状图像;这些图像特征共同作用将导致物点呈现类似于慧星形态且具有扩散分布状态的现象
慧差是轴外点通过大光束成像所导致的一种失对称的垂轴像差,在子午面及其截面上存在明显的失对称现象。当入瞳为一个环形区域时,在系统中进入的是以物点为顶、主光线为中心线的大光束集合体;这些光束按照不同孔径大小呈现出不同形态的空间分布特性。经过系统后由于存在慧差现象不再保持对称于主光线的空间分布特征也不再聚焦于单一位置而是与高斯像面形成一个封闭且复杂的曲线交界面该曲线在子午面方向上呈现镜面对称性;而随着观察光锥角度的变化其空间分布特性也会发生相应的变化:当光锥角度增大时空间分布特性会更加显著地偏离理想状态;整个入瞳区域可视为由无数个不同尺寸同心圆环组成的复合结构;其中从各个同心圆环上发出的所有空间分布特异的大光束集合体会经过系统后在高斯像面上产生一系列大小不等形状各异且沿垂轴方向错开分布的空间投射体最终汇聚形成一个具有复杂空间特征但始终维持子午面对称特性的二维离散斑图
孔径光阑对慧差的影响
慧差源于轴外点宽光束在其所在位置上的主光束与其像面几何轴线不一致所造成的像差现象。当入瞳置于像面几何中心时,在该位置上的主光束必与其辅助光轴共线这种情况下沿辅助光轴方向上的边缘物点与中央物点的位置关系相同其出射方向必相对于辅助光轴呈对称分布不会产生慧差现象。然而若出现视场偏移即当入瞳偏离几何中心时...其导致的空间分布变化会引起像差随偏离程度增加而增大

将同心的球面物镜Q与折射镜R对齐放置。经分析可知,在主平面内的物点无法在其理想共轭平面上形成清晰像。当视场范围扩大时,这种偏差程度逐渐加剧,在垂直于主光轴的方向上更为明显。沿光轴方向倾斜的平面物体会在经过球面折射后呈现出弯曲形态。
与物高平方及入射光瞳直径成正比的像是空间频率响应的一部分。当系统仅存在场曲时,在物平面每一点都对应着一个像点,并均匀分布在球面位置上;而若将底片设计成此特定形状,则能实现系统完全校直。在此理想情况下,在图像平面各处都能得到清晰的圆盘形影像。

当轴外物点发射出一束极细的光线穿过入瞳进入系统时
当仅存在像散现象时,在轴外物点处通过光学系统折射后会聚焦于两个焦点,在两个焦点连线的中垂线上方的位置处光束会聚合成一个最小规模的弥散圆。若将底片弯曲至所有位置均位于上述所述的位置时,则可以使得每个像点都形成一个半径一致且形状为圆形的最佳扩散斑。在此情况下,在理想状态下图像平面处将呈现出椭圆形扩散斑。畸变

歪曲像差
在理想光学系统中,在物像共轭面上的轴向(垂轴)放大率是一个常数值,在这种情况下(理想条件下),物体与图像总是高度相似的。然而,在实际应用中的光学系统中其特性仅限于近轴区域。通常情况下不同位置处的一对共轭面上(或同一位置处的不同光束)上的放大率并非恒定数值——随着观察场域范围(视场)的变化而变化。这导致了一种特殊的形变现象——图像相对于物体产生形变的现象被定义为畸变
仅取决于物高立方值的一次幂之比率值为像差。如果只有轻微畸变,则会得到清晰呈现,并且形状与实物并不相符。
单色像差点仅取决于物高及其入射光瞳径的幂次总和达到三次方的程度, 即为一级像差(亦称初阶球形 chromatic\ aberration)。除此之外还存在与其高度及入射光瞳径幂次总和超过三次方相关联的比例关系
通常情况下,在光学系统中使用的都是复合光(如白光),这种光线是由多种单色光组成的。由于光学材料对不同频率光线(即不同波长)具有不同的折射特性,在第三章所阐述的各种透镜设计中可以看出:透镜的工作距离不仅取决于其表面形状参数(曲率半径),还与所采用介质材料的折射特性密切相关;一旦曲率半径被确定下来,则该参数会随着所选用介质折射值的变化而产生相应的变动规律。对于进入该光学系统的复合光而言,在经过系统的精妙设计后会呈现出一种特殊的性质:系统对于不同波长的空间频率具有不同的聚焦特性;因此,在空间中各分量光线将分别在各自对应的焦点位置附近形成独立于主焦点的位置;这种现象导致同一物点在不同波长下会产生多个独立于主焦点的位置及放缩比例;我们将其统称为色散现象或者色差效应
由于透射材料折射率随着波长的变化而变化,在光学系统中会导致物点发射出不同波长的光束经过该系统后不再聚焦于同一点而形成带有色散性的斑点现象这种现象只会在含有透射元件的光学系统中产生按照理想图像平面上像差大小与物高之间的关系可将其分类讨论

色差
轴向色差(亦称作轴向色差)与物体高度无关的像差现象表明:不同波长的光线经过光学系统后会在空间中形成不同的焦点位置。
轴向色差(也被称作倍率色差)与物高的一次幂成正比地变化着。这种现象使得不同波长的光线在图像中呈现出不同的高度位置,在理想化的图像平面上,经过该轴向色差点处理后的一个物点会表现为一条微小的光谱带
这些是最基本的两种色差类型,在不同的波长下会产生相应的单色像差效果。这些差异现象统称为色像差现象,在光学领域有重要的研究意义。
当物体位于无限远处时,在这种情况下物体的高度应该被转换为物点相对于光轴的角度(即其与光轴之间的夹角)。而关于波像差异的现象,则是光学系统设计中的一个关键考量因素。
由物点出发的平面波通过理想光学系统后 ,其出射光束应为平行光束 。然而因实际光学系统存在像差而使实际波面对应的理想波面向出瞳处相切 。当入射光线在入瞳处与理论入射方向成一微小夹角时 ,其经过该光学系统后的实像位置偏离理论位置的程度即为该系统的像差 。
