计算机视觉基础知识(七)--立体视觉
发布时间
阅读量:
阅读量
1.立体视觉
立体视觉定义
- 计算机视觉的一种方法;
- 目的是通过多幅图像推导出每个像素点的空间位置信息;
立体视觉应用领域
- 机器人;
- 辅助驾驶/无人驾驶
- 无人机
立体视觉的原理
- 遵循双目深度感知原理;
- 左右眼对物体的位置信息呈现不同;
- 大脑凭借左右眼的信息对比就能判断物体远近。
单目系统

- O为相机的光心;

对应于摄像头的成像平面。
其中,
P和Q分别表示空间中的两个点。
其缺点在于,
当有两个重合的点P和Q时,
该系统无法提供深度信息。
2.双目系统&视差
双目系统

- 极平面:

三个点确定的平面;
- 极点:

连线与像平面

的交点

;
- 基线(baseline):

;
- 极线:极平面与两个像平面之间的交线

。
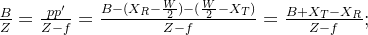
视差推导

- 根据三角形相似定理:

;
*


- 其中D就是我们所说的视差(disparity)
视差Didparity
通过将同一个空间中的物体在不同图像中的影像位置建立对应关系,并用其差异来表征物体的位置变化。


全部评论 (0)
还没有任何评论哟~
