Total Variation Regularized Reweighted Sparse Nonnegative Matrix Factorization for Hyperspectral
该研究提出了一种改进的非负矩阵分解(NMF)方法——全变分正则化重加权稀疏NMF(TV-RSNMF),用于高光谱无先验无监督解混任务。该方法通过引入加权稀疏正则化器增强丰度图的稀疏性,并采用TV正则化器捕获丰度图的分段平滑结构,从而提高对噪声的鲁棒性。与传统RSNMF相比,TV-RSNMF在优化过程中引入了迭代重权策略,并通过计算当前解更新权重矩阵;从理论上分析表明,当τ设置为0时,RSNMF模型是TV-RSNMF的一个特例。该方法在保持计算效率的同时显著提升了对HSI数据的空间信息表达能力。
该方法被发表在IEEE Transactions on Geoscience and Remote Sensing journal中
摘要:
盲解混作为高光谱分析的核心内容之一,在实际应用中具有重要意义。该过程主要涉及估计端元及其对应的丰度分数。近年来,在人工智能领域中非负矩阵分解(NMF)及其扩展方法得到了广泛应用。遗憾的是,由于NMF模型存在的非凸性和噪声干扰等因素的影响,在实际应用中基于NMF的方法往往难以获得理想的结果。为了克服这一缺陷,在本研究中我们充分考虑了丰度图的空间结构特征,并提出了一种新的盲HU方法——全变分正则化重加权稀疏NMF (TV-RSNMF)算法框架。具体而言:首先假设丰度矩阵具有稀疏性,并在NMF模型中引入加权稀疏正则化项;其次在固定端元的情况下,则要求各丰度映射需呈现分段平滑的特点;因此选择TV正则化器来捕获各个丰度图中的分段平滑特性;针对我们提出的TV-RSNMF乘法迭代算法设计中,则将TV正则化器视为一种有效的去噪机制;通过这种方式不仅能够显著提升算法对噪声数据的鲁棒性能;而且还能更好地满足实际应用需求
对丰度矩阵进行约束时,通常考虑两种先验:
首先,在丰度矩阵中的每一列(对应于端元字典中单个固定像素所占的比例系数)应该表现出稀疏性特征。这一现象的主要原因在于HSI图像中大多数像素都是由端元的一个子集混合而成,而不是全部使用的所有端元类型。其次,在丰度矩阵中的每一行(对应于与一种固定材料相关的丰度图)都应呈现分段平滑特性;这是因为相邻像素在与同一端元[17]相关联的区域中更可能具有相似的丰度比例。
本文介绍:
本文对丰度映射的特性进行了深入研究,并开发出一种全新的盲HU算法——基于全变分正则化的重加权稀疏非负矩阵分解方法(TV-RSNMF)。
从丰度矩阵的列方向分析,在NMF模型中仅采用端元的一个子集用于生成固定像素。本研究通过引入加权稀疏正则化手段来提升NMF模型中丰度图的稀疏程度。在监督学习领域[34]-[36]中已有相关研究采用了加权稀疏模型进行处理。而本研究创新性地提出了基于迭代法求解加权稀疏模型的方法,并在此过程中动态更新权重参数以优化空间特性建模过程:具体而言,在每一次迭代计算当前解对应的丰度矩阵后会更新权重参数以指导下一次迭代运算。基于固定材料对应的空间特性分析:我们假设与一种固定材料相关的丰度映射呈现分段平滑特性,并采用TV正则化方法优化其分段平滑性表现:其中TV正则化被视为一种有效的噪声抑制手段,在提升算法鲁棒性方面发挥了重要作用。综上所述:本研究的主要贡献体现在以下几个方面:
在NMF模型中采用重加权稀疏正则化算子以增强丰度矩阵的稀疏特性。这种重加权稀疏规则项实际上等同于一种对数求和并施加惩罚的函数形式,并且相较于L1范数更能促进解的稀疏性。
在基于重加权稀疏约束的NMF框架中引入总变分(TV)正则项有助于形成丰度矩阵的空间一致性结构。通过施加重变分规则项能够提升HSI区域内的空间一致性特征表现,并使得HSI区域内的像素能够被同一材料类型所覆盖。
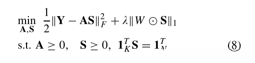
传统模型RSNMF:



值得注意的是,对数和惩罚函数相比L1范数更能增强数据的稀疏特性。这一特点也体现在所提出的重加权稀疏模型中。关于模型(8)与log-sum惩罚函数之间的关系及其详细讨论,请参阅文献[34]。就计算而言,在采用算法1中的迭代重权策略后,能够通过一系列凸优化问题逐步实现求解目标,并动态更新权重矩阵以最终达到与其精确解呈反比例关系的结果。
本文 TV-RSNMF:

从理论层面分析可知,在τ取值为0的情况下,RSNMF模型(8)作为TV-RSNMF模型(14)的一个特例具有其理论基础。相较于基于nmf的其他HU方法而言,TV-RSNMF体系主要体现在以下两个显著优势方面:首先,在NMF模型框架内采用加权稀疏正则化项的方式较传统L1范式更能提升稀疏度;其次通过引入TV去噪丰度图这一技术手段能够更直观地揭示HSI数据中分段光滑特性。
