【推荐算法论文阅读】Deep Matrix Factorization Models for Recommender Systems∗
发布时间
阅读量:
阅读量
简介
这是一篇很简单的论文,论文说仅对观察到的评分进行建模不足以做出良好的 top-N 推荐。 隐式反馈,例如购买历史和未观察到的评级,应用于推荐系统会更好。但是其实,作者所说的隐式反馈就是那些user未评分item的rating设置为0.
然后本文提出了两个亮点:
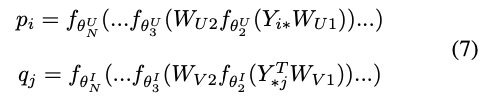
- 我们首先构建了一个包含显式评分和非偏好隐式反馈的用户项目矩阵,这与仅使用显式评分或仅使用隐式评分的其他相关方法不同。 以这个完整的矩阵(显式评分和零隐式反馈)作为输入,提出了一种神经网络架构来学习一个通用的潜在低维空间来表示用户和项目。(其实就是直接使用交互矩阵作为表示学习的输入。 正如我们之前提到的,Yi* 代表用户对所有项目的评分。 它可以在一定程度上表明用户的全局偏好。 Y∗j 表示所有用户对项目的评分。 它可以在一定程度上表明一个项目的概况。 我们相信这些用户和物品的表示对于他们最终的低维表示非常有用。)
- 此外,我们设计了一个基于交叉熵的新损失函数,其中包括显式评级和隐式反馈的考虑。
模型结构





在我们的架构中,除了多层表示学习之外,我们想再次强调,据我们所知,这是第一次直接使用交互矩阵作为表示学习的输入。 正如我们之前提到的,Yi* 代表用户对所有项目的评分。 它可以在一定程度上表明用户的全局偏好。 Y∗j 表示所有用户对项目的评分。 它可以在一定程度上表明一个项目的概况。 我们相信这些用户和物品的表示对于他们最终的低维表示非常有用。
平方损失关注显性评级,而交叉熵损失关注隐性评级。 在本文中,我们设计了一个新的损失函数,将显式评级纳入交叉熵损失,从而可以将显式和隐式信息一起用于优化。 我们将新损失命名为归一化交叉熵损失(简称为 nce):
全部评论 (0)
还没有任何评论哟~
