一种纯电动汽车的自动驾驶系统设计

“智能汽车生态群"加微信Time-machine-(备注公司+姓名)
1 前言
在新一代信息技术快速发展的背景下,在智能化、网联化、电动化和共享化方面取得了显著进展并被视为新兴发展方向。无人驾驶技术则逐步从理论迈向实际应用的过程。
无人驾驶汽车通过车载传感系统感知道路环境,并能自主规划行车路线以实现车辆稳定控制并最终抵达预定目的地的智能汽车
伴随着全球汽车电子化趋势的兴起,各国纷纷启动了对自动驾驶战略的研发与布局。在这一过程中
我国高校在自动驾驶领域具有重要地位,在这一领域中开展研究与应用工作。
本文主要介绍了一种自动驾驶系统的整体架构及其开发实现方案,在系统设计过程中,我们充分运用了最新的研究成果来有效降低系统的复杂性,并显著提升了整个系统的开发效率。此外,在实际应用中还成功降低了相关系统的研发成本
2 自动驾驶系统的技术方案
自动驾驶系统的技术方案包括硬件方案和软件方案,如表1所示。
表1 自动驾驶系统技术方案

2.1 硬件方案
基于 Arctic EU5 车型构建了自动驾驶相关软件架构,并根据自动驾驶技术要求对该平台进行优化升级。该平台采用了纯电动架构作为基础设计,在其核心组件均为电动控制系统的情况下运用数字化传感器收集实时数据。通过整合现有数据资源构建统一的数据通信网络,并设计并优化数据传输协议以提高信息处理效率。值得注意的是,在实现智能化驾驶需求方面纯电动架构具有显著优势,在这种架构下快速响应指令且运行平稳能够显著提升整体系统的可靠性和稳定性
自动驾驶硬件设备主要包含四个部分:传感器组负责环境感知;计算平台则处理数据并进行信息整合;安全控制系统确保行车过程中的安全性并实时监控周围环境状态;辅助系统提供额外功能如驾驶员交互界面及车辆运行支持服务等。具体来说,在传感器组中主要包含激光雷达用于障碍物检测以及地形Mapping功能;摄像头用于实时监控车辆周边状况并生成图像数据;GPS天线用于定位追踪功能实现位置信息获取与管理;IMU模块通过加速度计与陀螺仪监测车辆姿态变化并提供运动参数数据支持决策分析过程以确保稳定性和准确性;毫米波雷达与超声波雷达则协同工作实现障碍物探测与距离测量等功能以提高车辆感知能力并支持精确避障操作策略设计与实施以提升整体性能表现水平以及可靠性保障能力

图1 自动驾驶系统硬件布置方案
系统中所涉及的硬件设备类型、数量和相关说明如表2所示。
由自动驾驶域控制器来完成的自动驾驶系统的软件及算法功能模块将实现对该系统的全面管理与监控优化。该控制系统基于车辆分布式电子控制单元这一基础发展而成并经过多次升级优化最终形成了具有功能整合与模块化设计特征的高度智能化自动化控制系统它标志着智能网联汽车电子电气技术的发展方向并为后续的技术创新奠定了重要基础。
该控制系统通过整合技术优势实现了对车载环境数据实时感知与精准计算的功能结合从而显著提升了整车运行效率同时大幅降低了硬件设备的成本并且在实际应用中展现出极强的适应性与可靠性。
本文采用的自动驾驶域控制器有以下4大特点。
(1)高计算性能
双核系统中包含一个用于执行计算的核心单元和一个用于执行控制功能的核心单元;通过高性能计算核心实现感知信息的处理过程;车辆运行中的控制信号经由 Infineon 的 TC387 处理器完成处理;整体采用了多核处理器架构
(2)丰富接口
支持多种车规级GMSL接口集成方案,并集成了高速CAN-FD模块与以太网通信端口
(3)车规级系统设计
具备统一的应用层交互协议支持下,并集成客户自研的应用层自动驾驶功能模块;
符合车规级标准的器件与接口设计,在满足整车电器功能需求的同时具备电磁兼容性要求,并符合材料性能标准以及车辆耐久性测试的要求;该系统具有较低功耗特性的运行模式(典型运行功率为30瓦),支持9至30伏的工作电压范围,并且具备风冷散热系统支持能力
(4)高安全保证:
支持高至ASIL-C(ISO 26262[2])的安全要求;
多种相关技术手段包括:权限管理授权、数据传输加密以及硬件安全机制调用。
关键事件数据自动识别、采集并寄存。
表2 自动驾驶系统的硬件设备信息

2.2 软件方案
自动驾驶软件被安装于Autonomous Domain Controller(ADC),该软件基于ROS平台进行开发。Autonomous Domain Controller用于实现自动驾驶功能;ROS平台则提供了丰富的开发工具和框架;软件架构如图2所示。

图2 自动驾驶软件架构
软件功能模块由四个主要部分构成:环境感知、车辆定位、决策规划以及车辆控制系统。其中,环境感知模块通过对外部环境数据的采集与分析识别来完成对周围环境信息的获取与判断;基于激光雷达与GPS信号的解析计算来确定自身位置;通过环境感知信息计算确定车辆行为,并进一步规划出目标行驶路线及对应的速度与转向参数;基于决策规划得出的信息按照加速指令或转向指令或制动指令驱动执行机构完成相应动作以实现自动驾驶功能。
该系统的环境感知模块依靠多传感器融合系统[4]得以实现。该系统有效地运用了激光雷达与摄像头所提供的多元数据资源。最大值地采集稳定且准确的道路障碍物与交通信息。
3 自动驾驶系统开发的技术路线
自动驾驶系统的技术方案如图3所示。基于新型域控制器的框架下,研制自动驾驶软件架构和策略。从硬件布置与控制集成两个维度着手设计与车辆融合的解决方案。在硬件布置方面,则是基于L3、L4级场景的需求展开分析与规划工作:一方面确定传感器预装位置及普适性支架的设计方案;另一方面则是对传感器布置方案进行优化与完善,并完成支架的开发以及传感器与支架的安装工作;同时也要根据传感器与域控制器之间的接口信息以及供电需求来制定线束连接方案以及辅助电源配置等技术细节工作。在控制集成方面,则是围绕着VCU(车辆控制单元)、线控底盘以及灯光控制需求展开设计:包括定义自动驾驶控制功能的具体实现方式;并由车辆平台负责整合通信信号资源;同时还要对VCU、线控底盘与其他自动驾驶系统之间的交互关系进行详细规划;最后完成对整车改装任务的具体实施,并结合软硬件协同优化来完成系统的功能集成调试工作:在整个调试过程中发现并解决开源平台基础平台建设中的相关问题;最终验证并形成第三方测试报告

图3 自动驾驶系统开发的技术路线
在实现过程中会形成一系列既具有科学价值又具备应用前景的技术方法,在本文中我们展示了四种能够有效提升自动驾驶系统性能的研究成果
3.1 自动驾驶车辆改制方法和普适性预装结构
自动驾驶系统涉及的车辆改制空间主要有前机舱、驾驶舱和后备箱。
车辆改制前对辅助电源进行规划开发,并为相关电气设备提供相应的连接解决方案。与此同时,则需要对线束的连接方式进行详细规划以确保系统的正常运作。与此同时,则需要对线束的连接方式进行详细规划以确保系统的正常运作。与此同时,则需要对线束的连接方式进行详细规划以确保系统的正常运作
在自动驾驶车辆改制实施之前阶段,应充分准备好数量充足的车辆以及相关的硬件设备.其中,包括但不限于锥套筒工具组、焊接专用设备组、打磨与切削综合工装组以及打胶配套用具组等.此外,还需对车身各零部件进行逐一拆卸,以确保后续改制工作的顺利开展.
(1)车辆前端布置设备有毫米波雷达及超声波雷达;
(2)车顶布置设备为激光雷达、GPS天线及高清摄像头;
(3)车辆后端布置毫米波雷达、超声波雷达、域控制器、DC辅助电源、路由器等;
(4)前机舱改制线束从车辆防火墙穿过进入驾驶舱,再到后备箱;
(5)车顶传感器线束从车顶钣金孔穿过,按天窗排水管布置方案引至后备箱;
(6)副仪表板按钮开关线束引到车辆左侧与前机舱线束一同引至后备箱。
在实施车辆改制过程中,需要对传感器及硬件设备进行安装固定工作;同时完成线束的改装及布置工作。经过系统优化后已建立完整的自动驾驶车辆改装流程规范;该规范的有效应用显著提升了自动驾驶系统规模化生产的改装效率
在实现自动驾驶车辆之前

图4 自动驾驶普适性支架
自动驾驶普适性支架的特点如下:
(1)车顶支架可以通过定制转接支架实现多种传感器配置方案的搭载;
(2)支持各种规格的传感器产品应用,并具备高度灵活性,在任意环境下均可精确调节安装姿态(姿态指包括安装角度与方位),同时可自由设置传感器布局方案(包括布置密度与覆盖范围),有效降低相关传感器设备的部署成本
在对车辆进行格式改造的过程中,在该普适性支架上能够灵活地增减自动驾驶感知传感器
3.2 自动驾驶感知传感器的自动化标定
传统的自动驾驶感知传感器校准过程通常涉及大量的人工干预,并非高效可靠的解决方案。由于测量精度的影响,在外参校准过程中会产生额外误差进而影响整体系统性能。本文提出了一种无需人工干预的自动生成化校准方案,在完成传感器布置与安装后基于天然基准区域及配备的专业校准工具通过采集与分析具有代表意义的数据信息将各子系统的坐标系统一转换至车辆坐标系下实现多维度感知设备间的精确联机

图5 自动驾驶感知传感器标定流程
传感器标定的步骤如下:
利用32线激光雷达进行车顶标定:首先设定并建立车体坐标系;随后通过使用圆锥体标定物测定车辆在该坐标系下的空间位置关系;随后测定空间中的三维几何误差包括横向偏移量δx和δy以及纵向偏移量δz;接着分别确定翻滚角α(即车辆翻滚的角度)、俯仰角β以及滚动角度γ;最后通过融合点云数据中的目标物体识别信息并结合优化算法确定最优的空间旋转参数组合
(2)对两个16线激光雷达标定:首先按照与32线激光雷达相同的步骤进行操作,通过精确计算这些参数来确定Δx, Δy, a, b以及Δz的具体值.接着,以基于32线激光雷达生成的点云数据作为基准,运用优化算法来确定最优的g值.这样能够使两种不同数量的激光雷达系统在目标识别上达成一致.
(3)摄像头标定过程涉及内参数与外参数的测定。其中内参数测定主要采用张氏标准板法;外参数测定则采用了激光雷达与相机联合定位的技术。基于激光雷达定位数据,并配合使用标准棋盘格与四角码盘等基准模板,在分析了激光点云与图像数据中的特征对应关系后,计算得到相机与激光雷达之间的相对姿态。从而建立车机相机坐标系与车辆坐标系之间的姿态转换关系
(4)采用毫米波雷达进行标定:在安装过程中需要对翻滚角、仰角以及高度进行精确设置,在这些参数未被确定的情况下无需对这三个参数进行定点定位。基于车辆结构特性计算得到x轴和y轴方向上的位置偏差,并主要依赖于毫米波反射器捕捉的目标特征点与激光点云法探测到的目标特征点之间的重合关系作为基准条件。通过优化算法求解出最佳的方位角参数g。
(5)超声波雷达标定:随后布置并确定起始位置坐标后,在动态定位目标区域的过程中进行实时数据采集与对比分析。具体而言,在对比激光雷达与超声波雷达测得的目标坐标数据差异的基础上进行误差反馈调节以实现精准标定
自动化的标定技术避免了传统感知传感器在标定过程中的复杂性与繁琐性,在实施步骤上做了大幅简化,在实际应用中减少了大量的人工干预程度,并显著提升了定位效率的同时也保证了较高的定位精度
3.3 自动驾驶系统的感知融合方法
自动驾驶感知技术主要使用激光雷达、摄像头以及毫米波雷达等几种常用类型的传感器。每种传感器都有其特点和局限性,在特性上存在显著差异。因此必须结合多种传感器融合技术使其功能能够相互补充从而有效提升感知功能的精确度与稳定性。通过多传感器融合技术基础之上本文构建了一套完整的自动驾驶系统感知处理流程如图6所示并提出了一种基于多组别目标信息的数据融合方法。
多种类别传感器的数据通过通信网络传输,在完成协议解析的同时实现了时间和空间上的同步配准,并顺利进入目标检测与识别的功能模块
激光点云数据通过点云分割技术得到初步分组结果,并采用聚类算法对同类空间单元进行归并处理。系统最终生成目标类型信息及其三维坐标数据,并根据物体形态特征提取其长度参数值及宽度参数值。
该摄像头的目标检测识别功能模块借助YOLO V3深度学习算法对图像数据中的目标类型进行识别。该算法基于具有53个卷积层和大量残差层的Darknet-53基础架构设计。这一架构包含53个卷积层以及丰富的残差连接结构。这种设计通过模拟深度神经网络中各层间'直接连接'的方式有效降低了梯度爆炸和梯度弥散的问题,并显著提升了模型的整体性能。随后系统完成目标识别后会结合图像特征匹配技术实现对摄像头位姿的估计并运用三角测量法计算出动态物体的运动参数。通过将物体运动参数与摄像头位置信息相结合的方法确定物体在水平方向上的坐标位置移动速度以及尺寸参数等关键信息
毫米波雷达在经过数据转化后,在之后通过聚类处理的过程中计算并输出目标的横向和纵向位置坐标以及速度信息。
通过目标检测识别后实施的目标数据融合追踪处理中对传感器检测到的目标进行全局匹配,并将摄像头、激光雷达以及毫米波雷达的目标数据进行融合;最终完成目标匹配追踪处理,并对未匹配的跟踪对象进行更新操作的同时清理丢失追踪对象并初始化新目标

图6 自动驾驶系统的感知处理流程
目标数据融合处理的步骤如下:
构建系统的状态和观测模型,并设定其初始条件以实现无迹卡尔曼滤波算法的有效运行;在该框架下探讨无迹卡尔曼滤波中Sigma点选取方法的具体实现策略;通过设定状态向量Xk=[px, py, vx, vy, ax, ay, W, L]^T来表征目标运动参数;计算对应的Sigma点分布并完成滤波器初始化步骤
(2)预测各个Sigma点,加权计算状态量和协方差矩阵的预测值;
对比各传感器的目标与已追踪的目标,并采用基于全局最邻近(GNN)的方法进行整体匹配;
(4)对于已经匹配和跟踪的目标,基于各个传感器的观测值进行更新;
(5)删除跟踪丢失的目标;
识别非配对目标与现有追踪对象的匹配关系,并通过整合处理流程实现新增追踪项目的纳入。
3.4 自动驾驶系统测试
自动驾驶系统的实车测试过程如图7所示。

图7 自动驾驶系统测试过程
为了实现自动驾驶技术的有效应用,在执行自动驾驶功能测试之前制定并确立自动驾驶测试管理规范
依据政府部门发布的相关测试技术规范、测试管理规定以及测试场地要求, 具体实施以下测试项目: 一认知与遵守道路交通规则的能力(主要考察交通标线识别能力); 二执行驾驶技能(包含: 直线行驶; 曲线行驶; 直角转弯行驶); 三应急处置与人工介入能力(涵盖: 紧急情况应对措施; 人工介入后的操作可行性; 紧急停车操作); 四综合驾驶技能(包括: 起步与停车; 跟车行驶; 变道行驶; 路口直行; 曲线转弯; 倒车入库等各项基本操作)等, 并对各项测试结果进行记录并分析。
另外,在自动驾驶域控制器特点的基础上,在系统设计开发过程中结合其特性创造性地提出了一种技术评估方法
4 技术验证情况
4.1 环境感知技术验证
(1)感知传感器标定
在实车上开展感知传感器的标定,标定效果如图8所示。


图8 自动驾驶感知传感器标定效果
图8(a)展示了32线激光雷达的标定结果;基于32线激光雷达作为基准,在16线激光雷达的标定过程中发现其标志点与32线设备完全吻合;经过摄像头校准后的图像与生成的点云数据高度一致度良好;根据图8(d)所示结果分析得出,在该场景下使用毫米波雷达进行目标探测能够实现基本吻合,并且通过校准验证其测量精度高且可靠性强
通过对比激光雷达自动标定与人工标定的结果分析其差异性,在此基础上进行标定参数偏差的评估,并记录处理时间数据如表3所示。
表3 激光雷达标定结果比较和处理时间统计

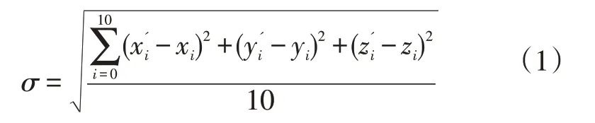
在摄像头标定过程中,从图像中提取了10个特征点作为校验点。利用标定参数计算各特征点在激光雷达坐标系中的x、y、z分量,并对这些计算值与激光雷达测得的三维坐标进行偏差统计。通过该误差指标评估摄像头的标定精度。

在公式中,在激光雷达坐标系中,x'_i,y'_i,z'_i分别表示为第i个图像特征点的三维坐标;而在激光点云坐标系中,则x_i,y_i,z_i分别表示为第i个特征点的三维坐标;σ代表计算误差.
对于毫米波雷达的标定工作,在自动标定与人工标定两种方式下分别计算其g值偏差。成像设备、毫米波雷达标定结果以及标定所需时间的具体数据均可见于表4。
表4 摄像头和毫米波雷达标定评价和处理时间统计

(2)多传感器的目标融合
采用配备有差分GPS定位设备的技术手段,在被测车辆自身建立的车身坐标系中进行了相关测试研究,并通过本文开发的多传感器目标数据融合算法进行计算分析。实验结果表明,在不同速度条件下采集到的目标位置均方误差(RMSE)如图9所示;同时对比分析了各组数据与实际GPS测量值之间的差异关系(如表5所示)。

图9 典型目标的多传感器融合数据
表5 融合目标的位置偏差统计

设计不同场景并进行多轮测试后,在全部的测试目标中未能检出一部分目标;通过计算未能检出目标数量占总目标数量的比例(即漏检率),结果约为1.893%。结果显示该方法证实了多传感器融合的有效性。
4.2 系统测试验证
为了实现自动驾驶功能验证,在试验场环境中进行系统性测试工作。通过多轮次运行感知模块核心算法功能单元,在不同场景下验证其性能。计算并记录各次测量数据的算术平均值。实验结果数据详细罗列于表6中。
表6 自动驾驶系统测试结果

在实车环境下进行了系统的功能验证,并且所有涉及本文感知技术的功能均达到了预期标准;结果表明该感知模块运行稳定且可靠性高
5 结束语
本文深入探讨了纯电动汽车自动驾驶系统的实现方法,并构建了一种技术支持方案来解决这一问题。同时通过探索实现这一目标的技术路径,在自动驾驶实施过程中形成了具有科学价值与应用前景的研究成果。主要技术成果与创新点如下:
硬件方案中采用自动驾驶域控制器取代传统的工控机及ECU,在此过程中能够降低线束连接的成本,并且减少大量信息交互所导致的技术瓶颈。在此基础上,建议进一步探索自动驾驶域控制器的车规化应用路径。
(2)通用预装架构能够兼容多种布置方案、降低传感器安装费用,并有效提升车辆改装效率。
(3)通过整合和分析多种传感器数据,并结合目标识别等相关技术手段,在实现不同坐标系间位姿转换的过程中(即完成不同 sensors 坐标系到车辆坐标系的数据转化),我们能够有效提升自动驾驶环境下多 个传感 感器标定 的自 动化 水平 ,并 确保 多源 感知 信 息的有效 融合 ,使 得定位 精度 显著提高。
(4)研发一种基于多传感器的目标融合方案,并构建一个完整的自动驾驶感知处理体系,在该体系下实现较低的目标漏检率,并显著提升目标检测与跟踪效果。
实证研究显示, 本文提出了一种自动驾驶系统的实现方案及相應的研究進展, 成功地將這些成果應用於提高該系統的實現效率, 并進一步增強了其性能
展望未来,在智能驾驶领域中, 感知能力作为核心技术,仍然是制约发展的主要瓶颈.特别是在数据融合环节, 运用人工智能技术和基于并行计算的前沿预处理算法, 能够显著提升传感器融合的效果;同时, 将单体感知技术和车路协同技术相结合, 不仅增强了整体感知水平, 而且有效降低了单体智能感知的成本投入;这也是实现自动驾驶安全可靠运行的重要研究领域之一.
本文作者张婷
