GPS卫星信号(三):载波与其调制、解调
GPS卫星信号由基准频率f0(10.23MHz)直接产生,并通过载波进行传输。载波用于将低频信号加载到高频无线电波上,并采用特高频(UHF)中的L1(1575.42MHz, 19cm)和L2(1227.60MHz, 24.4cm)频率。伪码C/A和数据码分别用于编码和传输导航信息,并与载波结合实现测距和导航功能。通过调相技术将二进制信号编码到载 wave上,并利用相位跃迁实现信号传输。接收端通过平方解调技术分离出数据流并恢复导航电文信息。
GPS卫星信号(三):载波与其调制、解调

一.GPS卫星的基准频率f0
定义:基准频率是由卫星上的原子钟直接产生的精确到10.23兆赫兹的信号基础。基于此基准频率的倍频和分频组成的空间定位系统采用了独特的信号编码方式以确保高度的定位精度。

二.载波信号
定义:载波信号是由特定频率构成的一种无线电传输介质。这种信号能够通过调制伪码与数据码,并将其以正弦波动的形式传递给接收端。这使得我们可以将其视为GPS卫星信号的基础组成部分。
每颗GPS卫星均采用两个L波段频率(即L1和L2),分别发送载波无线电信号。其中,载波L1的频率f₁定为1575.42MHz,
而载波L2的频率f₂则设定为1227.60MHz。这两个载波频率归类于特高频(UHF)频段,
其位置可在图中查看。对于任一载波而言,
它的频率与其对应的f wave length λ之间存在如下关系:
其中λ表示该载波的电磁 wave 传播路径长度。
λ = c/f
以c表示光在真空中的速度,其数值大约是3×10⁸ m/s.基于这一关系式可以计算得出载波L₁的波长λ₁大约为19厘米,而L₂的波长λ₂约为24.4厘米,则与上述基准频率计算结果相符合.

2.为什么要用到载波
该类别的测距与导航信息均属低频电磁波特征,
而GPS卫星由于运行于较高的轨道位置,
其运行时能量不足的状态使得难以将捕获的信息传递至地面接收端,
因此必须采用调制技术,在高频载波上加载这些低频信息。
3.载波的优点:
**减少拥挤,避免干扰
**适用于扩频,传送宽带信号
**卫星高轨运行,能获得较大的多普勒频移
**大气衰减小,有益于研制用户设备
三.伪码、数据码与载波的长度关系
C/A编码(亦称P代码)作为GPS信号的关键组成部分,在多个应用场景中发挥着重要作用。其中一个重要功能是为了实现代码分集multiplexing技术;另一个主要用途则是用于测距测量。然而由于这种固定模式下的伪代码不具备灵活性特征,在导航电文信息传输方面存在明显限制。数据编码作为GPS信号的重要组成部分,则是一串承载导航电文信息的二进制代码序列。该系统中采用不归零状态下的二进制编码技术来生成主峰频率带宽达100Hz以上的连续编码脉冲序列以保证通信质量
为了避免混淆二进制的同时存在数据编码和伪编码,在本节中,默认采用"比特"作为数据编码的基本单位(即每一位二进制值),而采用" chips"作为伪编码的基本单位。其中每个"比特"实际上携带了有效信息,并且其持续时间比" chips"要长得多。然而,在比较单个"比特"和单个 " chips"时会发现它们之间仅存在一个关键差异——持续时间不同即可。具体而言,在 50bps 的系统中,默认带宽 Td 被设定为 20ms,在此情境下对应的波长约为 6 km 左右。需要注意的是,在每个 " bit "期间内,C/A code会完成 20 周的周期性变化特性。值得注意的是,每一个 " bit "发生沿时刻都必然对应着 C/A code 的第一个 " chip "发生沿时刻重合的现象,如图所示阐述了伪代码、 数据编码以及载波之间的关系

四.卫星信号的调制
在数字通讯技术领域中,为了实现有效信息的传递与扩散,在高频载波上通常加载低频调制信号。其中,原低频信号被定义为调制信号;经过叠加处理后的高频载波则被称为已调波。
然而,GPS信号调制,是采用调相技术实现的。
2.GPS测距编码信号与数据编码信号均为基于二进制数码的时间序列。存在时间函数u(t)与符号序列{u}这两种不同的表示方法。它们分别采用符号状态±1与数值集合{0,1}来表示:若当符号取0时对应的数值为+1,则当符号取1时对应的数值则变为-1。在此基础上引入模二运算
运算规则:1 + 1 = 0; 1 + 0 = 1; 0 + 1 = 1;0 + 0 = 0
二进制信号:“1”表示二进制“0”,“-1”表示二进制“1”,则
-1 × -1 = 1;-1 × 1 = -1; 1 × -1 = -1 ;1 × 1 = 1
3.相位跃迁
通过将码状态与载波信号进行乘法运算即可完成调制过程。在码状态为加一时进行运算后不会影响到载波的相位;而当码状态为减一时进行运算后,则会使得载波的相位发生翻转。由此可知,在编码信息变化的过程中(即从一个比特转换到另一个比特),例如从低电平转换到高电平或相反的情况下,“跳变”或者“跳变现象”会发生。

4.卫星信号调制原理
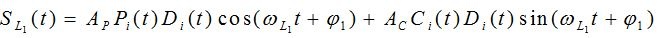
在L1载波上,调制有C/A码、P码(或Y码)的数据码,完整的信号结构为:

在L2载波上,只用P码进行双相调制,其信号结构为:

在上述式子中,
AP、BP、AC分别代表P-Code与C/A-Code的振幅;
Pi(t)和Ci(t)分别代表精测距码(P-Code)与粗测距码(C/A-Code);
Di(t)表示卫星电文数据流;
ωL1与ωL2分别表示载波频率。
φ1,φ2为信号的起始相位。
根据这一理论,在图形上生成所需信号后发送出去

五.GPS卫星信号的解调
在GPS定位过程中, 接收机接收的GPS卫星信号被识别为一种调制波. 将接收到的调制波中的测距码信号. 导航电文信号以及纯净载波进行分离, 并给予相应的称谓. 通过码相关技术和平方解调技术对这些信号进行处理和分析.
1.码相关解调技术
通过接收器产生的复用编码信号,在同步条件下与卫星发射的定位编码信号进行相乘运算。复用编码和定位编码在经历相关性延迟后可实现彻底同步。原先通过乘以-1引起的相位变化,在再次乘以-1后得以恢复。由于GPS接收器无法生成原始导航数据信息,在采用相关解调技术处理后得到的载波中仍残留有数据代码D(t)。
在GPS信号接收机中常被配置的相关式波道内会安装伪噪声跟踪电路该电路的主要功能是通过应用码相关解调技术实现对接收信号的处理。为了进一步提取数据码信号D(t)在接收机内部还需要配置一个载波跟踪环路这个环路的作用是使得由石英振荡器产生的本地载波与前面所述的解调过程所得的信号相互配合从而获取纯净的数据码随后经过后续处理就能得到导航相关的电文信息
2.平方解调技术
当处于±1状态时,在经过平方运算后的结果统一为+1,并且不会影响载波相位。因此可以通过对卫星信号进行平方运算来实现解调目的。
当接收端接收GPS卫星发射的电磁波后,在此基础上运用变频技术获取一个具有相同频率特性的中频信号。随后利用该中频信号自乘的方式能够有效消除载波中的测距码及数据码信息以实现解调功能。由此可知这种解调方法不具备恢复原始导航数据的能力
