Visual Domain Adaptation with Manifold Embedded Distribution Alignment 阅读MEDA
流形嵌入式分布对齐
现有研究中提出的迁移方法主要致力于实现跨域分布间的对齐过程,并采用共享子空间学习策略以降低潜在维度差异带来的负面影响。然而,在这一过程中存在两个主要问题:一是该过程通常基于原始数据特征的空间展开操作而导致的数据变形难以解决;二是该过程未充分考虑边缘分布与条件分布各自所占的重要性而进行统一配准处理。因此本研究通过引入Manifold Embedded Distribution Alignment (MEDA)框架系统性地解决上述关键难点
基于结构风险最小化准则,在Grassmann流形上,MEDA成功构建了具有领域不变性的分类器模型,并通过动态调整边缘分布与条件分布之间的关系来系统地量化评估它们的重要性。该方法为多领域适应性边缘分布协调提供了首个系统的探索框架。
仅能一定程度上降低分布差距。
通过执行子space转换来提升特征表现。
然而,在完成subspace转换后仍未能消除特征偏差。
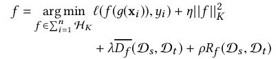
structural risk minimization (SRM):
f =

其中 arg 代表自变量(argument), arg min 表示使该式取得最小值所需的变量取值。第一项代表数据样本对应的损失程度。第二项起到正则化作用。Hk 作为希尔伯特空间(Hilbert space)

g(.)特征学习函数
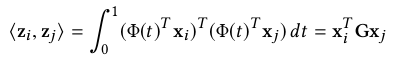
Zj、Zi引起流形空间核

动态调节变量定义:

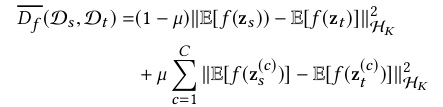
u是一个动态调节参数,在趋向于0时表明源域与目标域之间的距离较大,在这种情况下边缘分布的作用较为显著;而当u趋向于1时则表明源域与目标域之间的差距较小,并且此时条件概率的拟合作用较为关键。
动态分布对其可以被描述为:

A-distance 被定义为线性分类器两个域之间的误差。

u可以估计为:

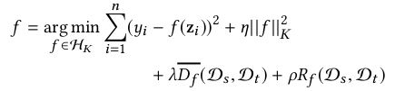
结合结构化风险最小和l2loss分类函数可以被定义为:

源域结构化风险最小f补充:



根据核函数性质:动态分布对齐等价于:



算法流程

添加拉普拉斯正则化项:

the dynamic distribution alignment (DA)
Laplacian regularization (Lap)
结果:

在本研究中, 我们开发出一种新型Manifold嵌入式分布对齐(MEDA)方法, 旨在应用于视域适应问题。与现有技术相比,MEDA首次探索了退化特征转换与未被评估分布对齐这两个关键挑战。该方法能够同时被利用来进行动态分布对齐, 并通过结构风险最小化原则学习到域不变分类器这一核心任务。此外, 我们还开发出一种切实可行的方法来定量计算自适应因子。为了验证该方法的有效性, 我们进行了系统性实验研究, 对多个大型公开可用图像分类数据集进行了全面评估, 最终结果显示,MEDA在性能上显著优于现有的传统及深度领域适应技术
