遥感图像处理-Spectral–Spatial Weighted Kernel Manifold Embedded Distribution Alignment for Remote Sensing
Spectral–Spatial Weighted Kernel Manifold Embedded Distribution Alignment for Remote Sensing Image Classification光谱-空间加权核流形嵌入分布对齐用于遥感图像分类
-
0.摘要
-
1.概述
-
2.相关工作
-
3.方法
-
- 3.1.空间过滤
- 3.2.嵌入流形
- 3.3.内核结构
- 3.4.分类器构造
-
4.实验
-
- 4.1.数据描述
- 4.2.实验设置
- 4.3.表现
-
5.结论
0.摘要
数据特征失真是遥感图像分类中的一个典型问题,尤其是在迁移学习领域。此外,许多基于迁移学习的方法只关注光谱信息,而没有利用遥感图像的空间信息。为了解决这些问题,我们提出了光谱空间加权核流形嵌入分布对齐(ssk - meda)的遥感图像分类方法。该方法采用一种新的空间信息滤波器,有效地利用附近样本像素之间的相似性,避免了非样本像素的影响。然后,构造不同权重的空间核和光谱核相结合的复核,自适应平衡遥感图像光谱和空间信息的相对重要性。最后,我们利用流形空间中特征的几何结构来解决迁移学习场景中遥感数据的特征失真问题。SSWKMEDA为迁移学习与遥感图像特征相结合提供了一种新的方法。大量实验表明,所提出的方法比几种最新的方法更有效。
1.概述
图像分类是遥感领域的一个重要研究方向;它的目标是将每个像素分类为特定的表面对象[1]–[3]。它可以从标记的像素中获益。因此,当更多标记像素可用时,可以获得更高的分类精度[4],[5]。由于人工操作对遥感图像进行标注非常困难,面对海量的遥感数据,学者们寻求一种自动化、高效的方法来完成这项工作。使用新的分类器对想法进行处理。然而,遥感场景通常是由云和光等不同情况下获得的一系列图像拼接而成。因此,由其中一幅图像训练的分类器不能直接用于其他图像。在用不同时间的两幅图像研究一个区域的变化时,也会发生类似的事情,当它们由不同的传感器产生时,差异可能会更大。
为了解决这个问题,我们考虑了一种转移学习设置,其中来自源域的知识可以转移到目标域,以获得预测标签[6],[7]。迁移学习是对多时或多源遥感图像进行分类的有效途径
因此,迁移学习或领域适应(迁移学习的一种特殊形式)在研究界受到了广泛关注[8]–[10]。人们提出了各种迁移学习方法,并将其分为三类:1)基于实例的方法;2) 基于分类器的方法;3)基于特征的方法[11]–[13]。
基于实例的方法通常为重要样本设置更多权重 。表现不佳的样本通常会根据不同的标准减少权重,甚至移除权重[14],[15]。蒋和翟[16]试图从源域中移除性能较差的样本,并根据两个域的条件分布增加目标域中标记样本的权重。Dai等人[17]提出了一个名为TradaBost的框架,该框架最初训练了一个基本分类器,然后在每次迭代中根据分类错误重新加权源域样本。Persello[18]通过其与同类目标域样本的平均余弦角相似性对每个源域样本重新加权。Long等人[19]、Y ang等人[20]和Peng等人[21]在源域的变换矩阵上添加了l1和l2范数项,以重新加权它们。Shi等人[22]利用概率分布和其他相邻样本重建了每个样本。Li等人[23]提出了一个称为迭代重加权异质迁移学习(IRHTL)的框架。该方法用于根据源域样本与分离超平面的距离重新加权源域样本。
基于分类器的方法通常将源域中训练的分类器调整到目标域[24],[25]。最常用的分类器是支持向量机(SVM)。Bruzzone和Prieto[26]提出了一种最大似然分类器,该分类器由源域训练,可以更新参数以适应目标域。他们在[27]中介绍了另一项工作,该工作最初是在源域上训练SVM分类器。然后,他们迭代地添加具有高置信度的目标域样本,并从源域移除样本,以提高分类器的自适应能力。Yang等人[28]提出了自适应SVM(A-SVM),将SVM的边界从源域调整到目标域,同时最大化类间的边界。郭等人[2 9]将ASVM扩展为时域A-SVM(TASVM),它允许在任何地方定位每个域的SVM。在随后的文章[30]中,他们对多时相遥感图像初始化了一个SVM分类器,然后依次按时间序列添加新图像,并使用TASVM对分类器进行了微调。Xu等人[31]提出了一种称为带参数转移的域自适应方法,该方法通过转移极端学习机的参数,将目标域分类器的参数与源域对齐。Rajan等人[32]在源域训练的分类器的基础上,开发了一种新的分类器,使用二元层次分类器获取其他区域或阶段图像的层次类信息。
基于特征的方法也可以分为三类:1)利用域的分布来对齐域;2) 寻找共同的特征空间;或3)从所有特征中选择特征子集[33]–[35]。以下是关于这三种方法的研究。对于前者,最大平均差(MMD)是应用最广泛的距离函数 。Pan等人[36]和Long等人[37]分别提出了转移成分分析(TCA)和联合分布适应(JDA),它们使用核函数来解决边际分布和条件分布的MMD。然后,Wang等人[38]引入了一种称为流形嵌入分布对齐(MEDA)的方法,该方法利用结构风险最小化(SRM)和拉普拉斯正则化(LR)将JDA扩展到格拉斯曼流形空间[39]。与这些工作不同的是,Tuia等人[40]将质心对齐和图匹配联系起来,而Ma等人[41]考虑了整体质心对齐和类质心和协方差对齐。对于第二类,Frenando等人[42]提出了子空间对齐(SA),它在两个域的主成分分析(PCA)子空间之间构造了一个变换矩阵。基于此,Sun等人[43]将目标域的PCA子空间替换为偏最小二乘相关子空间。在另一篇文章中,Sun等人[44]试图学习变换矩阵,通过最小化MMD和保留原始数据方差,将源域和目标域投影到公共稀疏空间。相反,Gong等人[45]将域自适应视为Grassmann流形中代表源域和目标域PCA子空间的两点之间几何流的积分。此外,Sun等人[46]提出了一种简单但功能强大的方法,称为相关对齐(CORAL),其中目标域和传输源域之间的协方差对齐。对于最后一种,Persello和Bruzzone[47]使用核方法测量特征和分类器之间的相关性以及域不变性;然后,选择特征带。
然而,上述大多数方法都是在原始空间中实现迁移学习,在原始空间中可能会发生特征失真,或者只使用单一内核方法,这可能会导致不理想的性能。因此,消除特征失真并获得更好的性能对于遥感图像来说是一个具有挑战性的问题。并非遥感图像的所有像素都可以视为样本。此外,这些样本像素有一些几何形状或纹理的联系。然而,许多迁移学习方法只关注光谱信息,没有利用遥感图像的空间信息。因此,利用这些连接是遥感图像的另一个挑战性问题。
为了缓解这些问题,我们提出了一种称为光谱-空间加权核MEDA(SSWK-MEDA)的方法。由于空间中的相邻像素更有可能具有相同的属性和标签,我们为每个样本像素应用固定的窗口大小,并计算这些窗口中所有样本像素的平均属性,窗口中心的除外。获得的结果称为 背景样本像素。然后,我们通过每对对应样本像素的平均相关性来平衡背景样本像素和原始样本像素之间的核权重。
我们的主要贡献总结如下:
- 提出了一种新的用于遥感图像分类的空间信息滤波器,该滤波器可以有效地利用相邻样本像素的相似性,避免非样本像素的影响。
- 通过空间核和谱核 的相对重要性度量,我们构造了一个具有不同权重的复核。
- 我们引入Grassmann流形嵌入 ,可以解决迁移学习场景中遥感数据的特征失真问题。
一般情况下,通过空间核和不同权重的光谱核构造复合核,自适应地平衡遥感图像光谱信息和空间信息的重要性 。然后,我们利用流形空间中特征的几何结构来解决迁移学习场景中遥感数据的特征失真问题 。SSWK-MEDA为迁移学习和遥感图像特征的结合提供了一种新的方法。
本文的其余部分组织如下。第二节介绍了拟议方法的步骤。第三节描述了提议的方法。第四部分通过大量实验和讨论验证了本文提出的方法。第五部分总结了本文的研究成果和未来的研究方向。
2.相关工作
滤波窗口 :空间整体质心对齐、类质心对齐和协方差对齐[41]应用滤波窗口提取其中所有样本像素的平均光谱,以获得更可靠的光谱特征并替换原始光谱。与之不同的是,我们只计算每个样本像素周围样本像素的平均光谱,称为空间特征。它可以防止不属于样本的像素的干扰。我们仍然将样本像素的原始光谱放在重要位置,在后续操作中将其与周围样本像素的光谱相结合。
复合核 :提出了深度适应网络(deep adaptation network )[48],通过一些加权核来构造复合核 。在此基础上,我们提出了一种不同的复杂遥感内核。该核由原始光谱特征核和滤波后的空间特征核 组合而成。它可以通过两个分量核的平均相关系数自适应地加权两个分量核之间的相对重要性。
分布对齐 :源域和目标域之间的分布可能非常不同。因此,人们提出了许多方法来最小化差异。最大平均差(MMD)最早是在TCA进行创新,以适应边际分布 。此后,联合分布适应(JDA)尝试使用与转移成分分析(TCA)类似的方法调整边际分布和条件分布。流形嵌入分布对齐(MEDA)度量了边缘分布和条件分布之间的重要性,并通过流形嵌入避免了TCA和JDA的特征失真。然而,它们不是为遥感图像处理而设计的。因此,它们无法利用遥感图像的空间信息。SSWK-MEDA使用空间滤波器获取空间信息,并以加权核方法将其与原始光谱信息相结合。
3.方法

图1:拟议SSWK-MEDA方法的流程图。
给定一个有m个样本的未标记域Xt={xti}mi=1,对其样本进行分类很困难,因为没有可用的标记信息。存在一个类似但不同的域Xs={xsi,Ysi}m+ni=m+1,有n个样本,具有相同类型的标记信息Y和Xt。我们的目标是找到一个分类器f,它可以使用来自源域Xs的知识来预测目标域Xt的标签。
拟议SSWK-MEDA方法的流程图如图1所示。源域和目标域图像最初通过空间滤波器获得其空间特征。然后,将光谱和空间特征分别投影到流形空间。然后,通过自适应加权光谱和空间流形特征的核来构造复合核。最后,可以通过总结SRM、动态分布对齐(DDA)和LR来学习分类器,LR利用数据样本之间的几何特性。为了获得相对较高的精度,可以对分类器进行T次迭代。
3.1.空间过滤

图2:像素示例。
对于l波段和C类的遥感图像Ispe,像素越近,通常越相似。然而,不同类别的像素可能彼此非常接近。在这种情况下,我们对Ispe中的所有样本像素应用一个k×k大小的窗口过滤器。对于每个频带中的每个采样像素,计算窗口中每个相邻采样像素的平均光谱值 。假设窗口中的这些像素与中心像素具有相同的类别。过滤的结果称为Ispa。图2示出了样本像素的示例。其中的每个单元都是一个采样像素。带有坐标(i,j)的黄色单元格是当前定位和标记的样本像素。绿色单元格是相邻的采样像素,灰色单元格是非采样相邻像素 。中心像素Ispei,j的空间滤波光谱Ispai,j等于绿色像素的所有光谱的平均值 。对于样本像素Ispei,j,我们在每个波段都有以下等式:

其中h为Ispei,j下窗口内样本像素个数,Yp,q∈R为像素Ispep,q的标签。P和q是相对于(i, j)的坐标,它们由窗口大小决定。例如,当窗口大小设置为3×3时,p和q的取值范围为i−1到i+1。在目标域图像中标记这些样本时,我们可以临时为这些样本分配一个类,因为目标域没有标签信息 。例如,这些样本标记为1类,而非样本标记为0类(表示没有标签信息)。该类仅用于暂时区分样本和非样本,不用于后续的迁移学习分类。
3.2.嵌入流形
为了避免原始特征空间中的特征失真,我们使用测地线流核(GFK)方法将所有样本嵌入到格拉斯曼流形空间中 ,利用流形空间中特征的几何结构 。该方法将源域和目标域的PCA子空间假设为流形中的两个不同点,它们之间的测地线流动可以看作是流形空间中源域到目标域的转移。子空间维数设为d,P s和Pt∈Rl×d分别表示源域和目标域的PCA子空间。R s∈Rl×(l−d)表示Ps的正交补,则投影核G∈R l×l可由以下获得:

其中U1∈Rd×d和U2∈R(l−d)×d是由奇异值分解对PTsPt = U1ΓVT和RTsPt =−U2ΓVT。Λ1、Λ2和Λ3∈Rd×d是关于主角θi(i = 1,2,…d)的对角矩阵。, 在P和Pt之间。对角线元素如下:

当光谱特征被嵌入到Grassmann流形空间时,我们使用光谱特征来构造核Gspe。当空间特征被嵌入到Grassmann流形空间时,我们使用这些空间特征来构造核G spa。然后我们用Z = X√Gspe将Xspe和Xspet投影到流形空间中,分别得到源域Zspe∈Rn×l和目标域Zspet∈Rm×l对应的流形光谱特征 。同样,对Xspa、Xspat分别应用Z = X√Gspa,可以得到源域Zspa∈Rn×l、目标域Zspat∈Rm×l的流形空间特征。
3.3.内核结构
核方法被广泛应用于迁移学习中,用于解决原始空间中线性不可分割的问题,如MMD。许多内核方法只使用一个内核。然而,一些研究证明,由多个内核组合而成的内核可能比单个内核[48],[49]工作得更好 。问题是选择和组合这些内核。一些方法考虑集成不同的核函数,如径向基函数(RBF)核和线性核,或联合一个不同参数的核序列。在本文中,我们假设流形空间特征Zspa = [Zspa, Zspat]∈R(n+m)×l为流形光谱特征Zspe= [zspes, Zspet]∈R(n+m)×l的相同数据,因为它们是相似的。然而,它们仍然有一些区别。因此,它们的核可以看作是同一数据的两个不同核 ,加权核Kss∈R(n+m)×(n+m)可以写成:

其中Kspe∈R(n+m)×(n+m)是Zspe的核。K(·,·)表示所选核函数;对于每两个样本zspei和zspej我们有Kspeij = K(zspei, zspej)。同样,Kspa∈R(n+m)×(n+m)是Zspa的核,对于Zspa的每两个样本zspai, zspaj Kspaij = K(zspai, zspaj)。α是两个核之间的权重,因为它们的重要性不同 ,由Zspei和Zspai的所有对应样本对的平均相关系数定义。因此,α可估算为:

式中Cov(·,·)为数据对的协方差,σ为标准差。该方法充分利用了光谱和空间信息,构建了更有效的核。
3.4.分类器构造
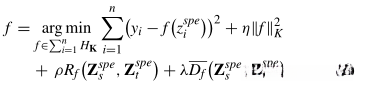
综合流形数据的SRM、DDA和拉普拉斯矩阵,分类器f可以表示为:

其中HK为核函数Kss诱导的希尔伯特空间,yi为第i个流形谱特征zspei的标记,||f||2k为f的平方模。前两项是SRM在源域的应用。SRM只能在源域上使用,因为目标域上没有可用的标记信息 。Rf(·,·)是利用流形几何结构的正则化项。D—f(·,·)为分布对齐项。λ, η和ρ是每一项的正则化系数。
在表示定理[50]的上下文中,(6)中的f可以表示为:

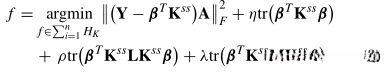
其中βi为构造核元Ksszi,z的系数。β = (β1, β2,…)T∈R(n+m)×C为Kss的系数矩阵。则(6)可以改写为:

(8)中的每一项都与(6)中的每一项一一对应。具体情况如下:
前两项表示最小化分类误差的SRM,其中Y = [y1,… yn+m]∈RC×(n+m)是Zspe对应的标签信息。因为目标域Zspet的标签信息是未知的,所以只能对源域Zspe应用SRM。因此,我们设A∈R(n+m)×(n+m)为一个指标矩阵,其元素为0,只是主对角线的前n个元素为1。Tr(·)是对角元素之和。第三个术语是LR,旨在探索流形几何结构在迁移学习中的作用 。因此,拉普拉斯矩阵L可以引入如下:

其中W为数据对的相似矩阵。如果Zspei是预定的Zspej的相邻N点,或者相反,那么Wij是它们的余弦相似度;否则Wij为0。D是一个对角矩阵元素Dij= ∑n+mj=1Wij。
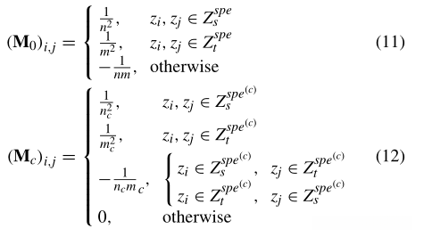
最后一项是分布对齐项,其中M是边际分布M0和条件分布的MMD矩阵合并的MMD矩阵∑Cc=1Mc,即

M0和Mc的元素如下:

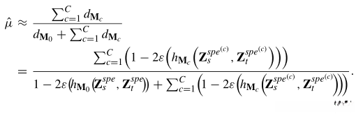
其中n c和mc为c类在源域和目标域中的样本数。我们训练一个简单的分类器来获取目标域的软标签 ,因为目标域的标签是未知的。因此,条件分布可以由软标签估计。由于两个域之间的边缘分布和条件分布的重要性并不总是相同的,因此有必要对它们进行加权。在此基础上,我们训练了一个简单的二元分类器h来区分源域样本和目标样本,并引入了由分类器ε(h)误差定义的A距离d A = 2(1−2ε(h))。则M0与Mc之间的权衡参数μ可表示为:

通过计算(13)的β的偏导数并将其设为0,我们可以得到β的解。那么,最终的解决方案可以总结如下:

其中I∈R(n+m)×(n+m)是单位矩阵,f是(n+m)× C矩阵。每行代表一个样本,每列代表一个类。矩阵中的元素表示对应样本属于该类的可能性。我们考虑每个样本的最高可能类别作为其标签,并实现目标域的预测标签

4.实验
4.1.数据描述
第一个数据集是grss_dfc_2013[24],[41],大小为349 × 1905,光谱范围为380-1050 nm,共有144个波段。它由美国国家机载激光测绘中心(NCALM)获得,覆盖休斯顿大学的一片区域,空间分辨率为2.5米。图像分为两部分,即亮部和暗部。亮部有4143个样品,暗部有824个样品。休斯顿数据集的图像和地面真实性如图3所示。尽管数据集有12个类,但只有4个类被这两个部分共享。因此,我们只使用了12个类中的4个。这些类别包括健康草、压力草、高速公路和铁路。为了方便起见,我们将此数据集命名为Houston数据集。
第二个数据集是印第安松树数据集[51]-[53],它是由美国国家航空航天局的机载可见光红外成像光谱仪(A VIRIS)传感器产生的。它包括145 × 145像素,覆盖375-2200 nm带宽的200个波段,空间分辨率为20 m。我们把它分为两个部分,即大的和小的部分。大零件有4966个样品,小零件有1446个样品。Indian Pines数据集的图像和地面真实性如图4所示。该实验使用了16个类中的7个,即玉米-薄荷,玉米,大豆-不耕,大豆-薄荷,燕麦,bldg-grass-树-drives和干草-windrowed。
第三个数据集由Worldview-2卫星获得,其空间分辨率为1.8 m[41]。我们称之为Worldview数据集。它包括来自武汉一个地区两个不同时期的两幅图像,即2011年图像和2012年图像。每个图像包含200 × 200像素。它是一个多光谱数据,包括8个波段(蓝、绿、黄、红、沿海、近红外、近红外和红边)。四类分别为:1)红色建筑;2)森林;3)灰色建筑;4)白色的建筑。图像2011有5317个样本,图像2012有5425个样本。Worldview数据集的图像和地面真值如图5所示。
4.2.实验设置

图3所示。(a)休斯顿数据集明亮部分的图像(R:50, G:30, B:20)。(b)休斯顿数据集阴影部分的图像(R:50, G:30, b:20)。©光明部分的地面真理。(d)阴影部分的地面真实性。

我们构建了“shadow→bright,” “bright→shadow,” “small→big,” “big→small,” “2011→2012,” and “2012→2011.”六个实验任务。在每个任务中,源域出现在“→”箭头之前,目标域出现在“→”箭头之后。每个任务的域属于同一个数据集。实验考虑了1-最近邻(1NN)、SVM、SA、GFK、TCA、JDA、CORAL和MEDA算法进行比较。综合准确率(OA)和kappa系数[22]、[54]、[55]作为评价指标。
为了获得目标域的软标签,我们训练了一个基于源域的1NN分类器。我们选择四个最近的点作为相邻点来计算矩阵W,可以达到很好的效果。选择的核函数为RBF核函数,其带宽由输入的方差决定。因此,流形光谱特征的RBF核的带宽由流形光谱特征的方差决定。流形空间特征的RBF核带宽由流形空间特征的方差决定。图6(a)清楚地表明,当T = 5时,大多数任务的准确性趋于收敛。因此,我们设置所有重复次数T为5。
**1)正则化参数:**为了评估正则化参数λ, η和ρ的灵敏度,我们运行SSWK-MEDA,它们的值从0.0001到8。为了方便起见,每个任务的相同正则化系数在所有迭代中都设置为相同的值。图6(b) - (d)中的结果表明,性能并不稳健。当η和ρ值较小时,其性能是稳健的。然而,λ的性能没有规律可循。因此,应根据实际应用对参数进行设置。
根据图6的结果,选择了这些参数的值。对于Houston数据集,流形子空间设为d = 60, λ = 1, η = 0.1, ρ = 4。对于Indian Pines数据集,这两个任务表现出了一些差异。因此,我们设d = 50, λ = 4, η = 0.0001,对于“大→小”,ρ = 0.001, λ = 0.1, η = 0.001,对于“小→大”,ρ = 0.0001。与Indian Pines数据集相似,Worldview数据集子集的两个任务的参数设置不同,分别为:“2011→2012”的d = 4, λ = 4, η = 0.001, ρ = 0.1;“2012→2011”的λ = 4, η = 0.01, ρ = 0.001。
SSWK-MEDA包括SRM、DDA和LR三个组件。在参数设置下,我们进行实验,分析SSWK-MEDA各成分的贡献。显然,表一所示的结果表明,这些组件在大多数任务中都是有效的。这些结果也表明我们需要根据实际情况设置参数。
2)窗口大小 :不同的窗口大小的空间过滤器可能会导致不同的结果。我们在3 × 3、5 × 5、7 × 7和9 × 9四种不同的窗口大小下进行SSWKMEDA,探讨其影响。表2的结果清楚地表明,不同窗口大小的OA趋势在三个数据集中并不具有相同的规律性。不同窗口大小的所有结果仍然比其他方法好,这将在后面展示。这些结果验证了空间滤波器的有效性。较大的窗口大小在某些任务中可能获得更好的精度,但在大多数情况下可能包含更多不同的像素,从而降低精度。此外,更大的窗口大小需要更多的时间。综合考虑这些因素,我们将所有数据集的窗口大小设置为3 × 3。
3) α的有效性 :显然,不同的任务具有不同的最佳α值。由于α的数目是无限的,我们从0到1每0.1个区间取α的值来观察相应的OA趋势。图7显示了不同α值对应的oa值。我们可以清楚地看到,只有休斯顿数据集上的任务才能实现健壮性能。这一发现说明了自适应权重的必要性。自适应权值可以在很大程度上保证SSWK-MEDA对不同应用的准确性。
在某些情况下,不同的α值可能导致相同的OA,例如“2011→2012”。因此,我们只比较对应的OA。设α为α,表示在上述设置下得到的最优OA, α为swk - meda的预测α。从表3的结果可以看出,除了Indian Pines数据集的小部分→大部分外,αopt与αpre之间的误差基本在±2.5%以内。这些结果证明了SSWK-MEDA的有效性。
4.3.表现

表一sswk-meda各分量分类精度



表二不同尺寸的窗口在不同数据集上的分类精度


表三预测α与可选α之间的误差



表iv oa(%)与1nn分类器在不同数据集上的分类准确率

表v oa (%) SVM分类器在不同数据集上的分类准确率

表vi kappa分类精度与1nn分类器在不同的目标集

表7 SVM分类器在不同数据集上的kappa分类精度
1) OA和Kappa :在三个数据集上,使用1NN和SVM分类器的OA和Kappa分类精度如表4 - 7所示。我们可以明显地观察到,在几乎所有的任务中,swk -MEDA的表现都优于使用1NN或SVM分类器的任何其他方法,包括MEDA。与次优方法相比,swk - meda最多可提高16.38%的OA。
这些任务的分类结果如图8-10所示。我们可以清楚地看到,swk - meda的预测图像比其他方法的预测图像更接近于ground-truth图像。在休斯顿的数据集中,健康草和受力草是两个非常相似的类别。公路和铁路是休斯敦数据集中的另一个类似类别。与其他方法相比,SSWK-MEDA可以极大地区分它们。对于印度松树数据集,SSWK-MEDA获得了最高的干草采集精度。对于Worldview数据集,大多数方法不能准确地将森林划分为灰色建筑,或者不能区分灰色建筑和白色建筑。swk - meda可以优雅地处理这方面的问题。这些结果证明了SSWK-MEDA的有效性。
2)时间复杂度 :我们还在Intel Core i7-8700 CPU和16gb RAM的环境下,对swk -MEDA的时间复杂度进行了实证测试,并与MEDA进行了比较。表VIII中的结果显示,由于少量的额外工作负载,ssk -MEDA消耗的时间比MEDA稍长。然而,时间消耗方面的差异不大。显然,当空间滤波器的窗口大小设置得越大,SSWK-MEDA消耗的时间就越长。然而,与总的时间消耗相比,额外的时间是微不足道的。SSWK-MEDA只比其他方法多消耗一点时间,但精度有了很大的提高,说明我们的方法是值得的
5.结论
本文提出了一种新的遥感图像分类方法——SSWKMEDA。swk - meda利用滤波器提取每个样本像素的相邻样本像素的平均光谱。将背景样本的核视为原始样本的另一个核,对它们进行自适应加权并集成到混合核中。因此,该方法允许利用空间信息来提高分类精度。该方法还可以利用流形嵌入数据的几何结构消除特征失真的影响。我们对高光谱数据和多光谱数据进行了多次实验。结果表明,无论是使用1NN分类器还是SVM分类器,我们的方法都比现有的方法更有效。未来的工作将集中在利用像素之间的其他关系,同时最小化分布的差异
