计算机毕业设计springboot健康监测管理系统7f3049【附源码+数据库+部署+LW】
本项目涵盖程序、源代码、数据库以及LW和调试部署环境等内容;在文末处提供了一份完整的本项目的Java源代码和数据库参考文档。
系统的选题背景和意义
选题背景:现代生活的快速推进以及工作压力的持续增加使得人们对于健康的关注度不断攀升。尽管如此,在传统健康管理方式中仍存在着诸多局限性:信息获取不够全面、数据管理不够集中以及监测效率有待提升等问题亟待解决。因此,在改善现有问题的基础上建立一个全方位的健康监测管理系统显得尤为关键。
意义: 健康监测管理系统经过精心设计并成功开发与构建,在其应用领域内发挥着不可替代的重要作用。从个人角度来看,在当今医疗时代背景下运用这一系统应用能够帮助个人实时掌握各项生理指标数据,并从中获取有益的身体评估信息。通过这一系统应用还可以记录并追踪各项核心生理数据如体重、血压、血糖、心率等关键指标,并生成全面的数据报告以及趋势分析图表以支持健康管理工作的有效开展
其次,在医疗机构领域内设立健康监测管理系统,则可为其提供一个整合化管理与分析健康数据的专业平台。借助这一系统后,则能更好地掌握患者的健康状况与病情演变情况。通过这一系统后,则能随时查看患者的数据及报告信息,并实现远程监护与诊断工作。此外,在功能上还提供了智能预警、风险评估以及个性化治疗方案推荐等多种辅助服务项目;这些功能则有助于帮助医护人员制定更为精准的治疗方案并提升服务质量;同时该系统还能支持医疗机构间的高效数据共享与协同合作机制;这将有助于进一步提高医疗资源的使用效率以及医疗服务质量
从功能设计角度来看,在实际应用中开发出一种新型的健康监测系统对于提升个人健康管理能力以及医疗机构的数据处理水平都具有积极意义。该系统为用户提供了一个高效便捷的操作界面,在日常生活中通过这一系统的应用能够让用户及时获取自身各项生理指标数据,并根据这些信息采取相应的健康管理措施。在实际使用过程中,在日常生活中通过这一系统的应用能够让用户及时掌握自身身体健康状况,并据此调整生活节奏以改善生活质量。同时,在这一过程中医院可以通过这一系统对患者的生理数据进行实时追踪评估,并据此制定个性化诊疗方案从而实现精准化的医疗方案制定。
此份选题背景及意义内容是基于本选题撰写的综述性介绍,并不代表本作品的实际研究背景及意义或功能
技术栈:
前端Vue:用于构建交互式用户界面。
后端Java开发语言:使用Java作为后端开发语言。
Spring Boot 框架系统:旨在加速开发进程,并取代了传统 SSM 架构,在智能配置管理、模块化设计以及高效的开发体验方面提供了独特的优势。
MySQL 5.7数据库:用于数据存储和管理。
借助Spring Boot的技术支持与自动化配置机制, 你可以显著减少手动配置工作的负担. 不仅具备依赖管理与自动配置功能, 还包含依赖注入与面向切面编程等多种强大功能. 此外还配备了构建RESTful API、进行测试集成以及部署的辅助工具与插件, 从而提升开发效率与便利性.
3.2****系统用例图
使用场景图即是基于用户角度对健康监测管理系统功能模块的具体描述方式。此前我们已就该系统总体架构展开了详细分析,并探讨了各类核心需求点。在此基础上下文将选取管理员、普通用户及医生等典型角色作为具体示例
管理员的用例图,如图3-1所示。

图3-1管理员用例图
用户的用例图,如图3-2所示。

图3-2 用户用例图
医生的用例图,如图3-3所示。

图3-3医生用例图
3.3****系统流程设计
3.3.1系统开发流程
健康监测管理系统的设计与开发过程主要包括以下几个方面:首先是对用户实际使用需求及具体情况的深入分析;随后明确系统所需实现的核心功能;接着是对系统的各个功能模块进行整体规划;最后经过测试验证后确保系统的稳定运行。该系统的整体开发流程如图3-3所示。

图3-3系统开发流程图
3.3.2****用户登录流程
采用登录流程让所有用户包括管理员进行身份认证,在登录页面上要求用户提供必要的个人信息。随后前端系统将收集到的用户信息发送至后端服务端进行身份验证。随后系统调用数据库进行身份验证并确认无误后完成登录操作;如果身份验证失败,则提示用户输入错误并要求其重新输入相关信息以便重新确认;如图3-4所示

图3-4登录流程图
3.3.3****系统操作流程
在软件开发过程中进行系统操作流程分析是一个关键环节,在整个系统的运行过程中指的是每个步骤都明确无误地进行。通过这样的规范流程图能够帮助开发者更好地理解并迅速投入接口开发工作,从而提升系统开发效率。
同时

图3-5系统操作流程图
3.3.4****添加信息流程
系统的正常运行离不开数据作为基础支撑,在本系统中增加了数据插入功能以提高系统的灵活性与实用性。具体而言,在数据库中存在数据缺失情况时将会直接影响到对数据进行查询的结果质量;如果查询结果出现错误,则可能导致后续逻辑处理出现偏差进而引发系统性错误或故障;为此,在执行对系统进行的数据添加操作时必须确保所输入的数据具有唯一性主关键字属性并满足各字段非空约束条件等严格要求;如果数据库表中的某个字段不允许为空而程序未对该字段进行非空性校验则可能导致无法完成存储操作并可能引发严重的系统性问题。如图3-6所示信息添加流程图展示了整个操作流程

图3-6添加信息流程图
3.3.5****修改信息流程
由于系统的使用者是人因此必然会产生疏忽从而可能导致系统输入的信息出现错误或是由于其他原因导致数据发生变化因而要求我们必须对系统内的数据进行相应的调整以便及时发现并纠正错误在程序运行过程中这使得数据的修改操作成为不可或缺的重要环节
当进行数据更新操作时

图3-7修改信息流程图
3.3.6****删除信息流程
删减功能并非系统运行所必选项。根据用户的实际需求及系统的功能特点决定删减功能的有无。实现删减操作的方式主要是通过执行delete语句以实现从数据库中取出符合条件的数据记录。由于执行删减操作可能会导致用户的原始数据被永久移除,因此为了防止用户无意中触发删减操作从而造成数据损失,应在用户提供删减请求时应当弹出确认对话框以防止误操作的发生。当用户提供确认指令后,系统将在完成相关事务处理后向相关人员发送成功通知,并在处理结束后向相关人员反馈相应的处理结果情况。有关该流程的具体说明可参考附图3-8

图3-8 删除信息流程图
4.1****系统功能结构图
在系统设计阶段绘制的系统功能结构图仅作为该阶段的基础性作用存在,并且其架构直接决定了整个系统的运行模式。基于此,在本章中我们主要探讨健康监测管理系统的设计架构及其相关特性分析。

图4-1系统功能结构图
4.2****系统数据库设计
在健康监测管理系统中,默认地将核心信息作为关键基础存储于数据库内,并伴随有诸多相关属性信息一同被记录下来。随着时间的流逝,在本系统中将不断发布大量信息,并使数据库内累积海量数据。一个优质的数据库设计方案能够在确保系统高效处理海量信息的同时实现系统的安全性稳定运行。因此,在本健康监测管理系统设计方案中,默认地将数据库的设计置于核心地位,并将其视为系统整体架构的关键要素之一。
4.2.1数据库E-R图
实体-关系图(ER Diagram)是一种通过用户的思路将数据组织成一种实体-关系结构的方式,在这一过程中所形成的模式也可被视为一个概念模型。基于此构建的概念模型能够直观地反映出数据库的数据处理过程。由于这种图形化表示方法是基于用户视角构建的概念模型,在实际应用中展现出较强的实用价值。
用户信息实体图如图4-2所示:
图4-2用户信息实体图

医生信息实体图如图4-3所示:

图4-3医生信息实体图
健康知识实体图如图4-4所示:

图4-4健康知识实体图
健康评估实体图如图4-5所示:

图4-5健康评估实体图
5.2****前台首页功能模块
游客打开系统网址后会立即进入主页面。在主页面上, 依次呈现: 系统主页、健康知识专区、资讯公告区、后台管理模块、专业咨询台以及个人服务区域等信息, 如图5-1所示:

图5-1 系统首页界面
该系统提供了一个独立的用户体验界面供新用户访问并完成账号创建过程,默认情况下如果一个新用户尚未拥有账号,则可以直接通过完成注册流程来进行登录操作。为了方便使用该服务的所有者需要按照以下步骤进行操作:首先在系统中找到并点击"注册"按钮进入填写个人信息页面随后依次输入用户名密码确认密码姓名性别头像年龄以及邮箱地址等必要信息最后提交并完成验证步骤即可实现成功登录功能如图5-2所示展示了完整的账号创建界面

图5-2 用户注册界面
此为用户提供了一个登录界面,在此页面用户需输入账号或密码以完成登录操作。如图5-3所示。

图5-3用户登录页面
当用户点击健康知识页面的搜索栏时

图5-4健康知识页面
个人中心页面允许用户输入并完成其详细信息的收集与管理过程;此外该平台还提供了对个人收藏内容的管理和调整功能如图5-5所示

图5-5个人中心界面
5.3****管理员功能模块
系统管理员登录,在登录页面设置需要的登录角色,在准确输入用户名和密码后,请执行登录操作;如图5-6所示

图5-6 后台管理员登录界面
管理员登录系统主界面后可执行以下核心操作权限:针对系统首页进行信息发布、个人资料编辑、用户数据维护、医疗专家信息配置、知识分类模块的管理和显示、健康知识模块的管理和显示、健康信息模块的管理和显示以及健康评估功能的实现等多方面工作;其中具体包含如下操作:发布与获取最新资讯、查看与更新个人资料信息、添加与修改用户档案记录、配置医疗专家详细资料、组织与展示知识分类体系以及实施健康的评估指标;同时支持发布与调用健康的提醒信息以及提供饮食建议方案并生成相应的食谱计划;此外还具备制定与执行运动方案的能力。

图5-7 管理员主界面
管理员点击进入用户管理模块:在该界面中支持对用户名、姓名等字段的信息实现查询功能以及新增和删除操作,请参见图5-8以获取详细的操作步骤

图5-8用户管理界面
管理员点击医生管理功能,在医生管理页面中,可以对账号、医生姓名、性别、头像、年龄、邮箱、电话等信息进行查询信息或新增或删除相关医生数据(如图5-9所示):

图5-9医生管理界面
管理员进入健康知识管理系统后,在该页面上可对所列信息实施搜索、添加或删除操作(如图5-10所示)

图5-10健康知识管理界面
系统管理员在健康信息管理界面点击相关按钮后会进入该页面

图5-11健康信息管理界面
系统管理员点击进入健康评估管理模块,在该页面中可对用户名、姓名、评估结果、账号、医生姓名以及评估时间等信息实现信息查询与记录的删除操作,请参考图5-12

图5-12健康评估管理界面
管理员点击"remeber info management" functionality: on the "remeber info management" page,
support query and delete operations on username, name, project name, result, account name, doctor name, and reminder time fields;
users can perform query and delete operations on data within these fields;
see Figure 5-13 for reference

图5-13提醒信息管理界面
系统管理员点击进入"饮食建议管理"页面后,在右侧功能栏中可执行信息查询与记录删除操作。如图5-14所示:

图5-14饮食建议管理界面
系统管理员点击进入'饮食计划管理'模块,在该页面提供丰富的功能选项:包括查看和删除各条饮食计划的具体信息(如名称、类别、开始时间和结束时间等),以及用户名和相关负责人数据项。这些操作均通过友好的界面实现(见图5-15)。

图5-15饮食计划管理界面
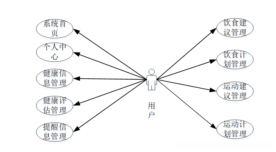
5.4****用户功能模块
当用户进入后台管理系统后
随后会自动转至系统主页
该系统包含多个核心功能模块
主要为用户提供便捷的操作界面
包括但不限于首页浏览
个人中心设置
健康信息记录
健康评估报告
提醒服务查询
饮食建议获取
饮食计划安排
运动建议查阅以及运动计划定制等内容
以图5-16为例展示了用户的主界面布局

图5-16 用户主界面
在文章结束部分可分享源代码及数据库方案,并提供Java毕业设计的开发支持。此外,在调试与部署方面也提供了优化服务。
