网络空间对抗防御中的智能监测技术研究
这篇论文提出了一种基于流谱理论的新网络安全监测与威胁分析方法(Flow Spect럼),旨在通过构建抽象特征空间来表征和分析复杂的网络威胁行为,并为对抗防御:
抗衡防御及当前安全体系面临的挑战
对抗防御概念:将攻击视为主动行为,并从弱合作、弱合作与非合作防御三个维度构建对抗防御模型。
现有安全体系的问题:
- 分类效率低:现有基于模型及方法创新的安全威胁分析难以满足复杂需求。
- 资源消耗高:复杂算法在实时数据处理中耗时耗内存。
- 适应性差:对新型攻击缺乏有效应对能力。
流谱理论提出
2.1 抗衡防御机制
基于反演思想构建“流谱”概念:
- 网络空间被划分为“时域”、“空域”、“频域”、“空频域”四个维度。
- 流谱是从时域到频域、空域到空频域的特征表示集合。
- 行为谱(flow spectrum)用于描述网络行为序列集合。
2.2 流谱理论的核心
定义:- 网络流谱(Flow Spectrum):将可观测的原始数据映射到新的变换域空间(如傅里叶变换、拉普拉斯变换等)。
- 流谱空间由特征矩阵(flow feature matrix)构成。
核心思想:- 将攻击视为不同特征向量间的差异性问题,在低维数据下进行识别。
- 基于群、环、体等代数结构构建高效特征表示。
流谱理论的应用与验证
3.1 数据来源与实验设置
数据集包含普通流量和常见恶意流量(如暴力 FTP、暴力 SSH 等),以 PCAP 包形式存储。
实验目标:
- 使用多层映射网络对特征进行建模。
- 验证流谱理论在抗衡防御中的有效性。
3.2 实验结果
在500次迭代过程中:- 特征矩阵在新空间中的分离性明显提升(如图2所示)。
- 不同类别网络流量之间的相似度降低,在图中表现为仅对角线上存在相似性。
结语
流谱理论为网络安全监测提供了新的视角和方法论支持:
- 提供了独特的安全态势理解方式。
- 增强对复杂威胁行为的检测能力。
展望未来工作:- 针对未知协议及特定威胁开发应用实例。
- 搭建验证平台对比传统模型效果。
总结
这篇论文通过构建流谱理论,在网络安全监测中引入了新的数学框架(如傅里叶变换等),实现了对复杂网络威胁行为的有效表征与分类。其创新点在于将时间序列数据映射到抽象特征空间中,并结合多层映射模型提升检测性能。尽管部分内容涉及较多数学推导和具体实现细节尚需进一步深入理解,但整体上为网络安全防护提供了一种有潜力的新思路。
摘 要:
网络空间数据流观测与威胁行为分析已成为国家网络安全战略的重要核心领域之一。基于对国家网络空间大规模数据流监测和动态威胁防御的巨大需求,在深入调研现有网络流智能检测技术和公开科学问题的基础上,并结合电磁世界频谱、光谱理论的研究成果,以"域变换"和"谱推导"为核心思想构建了新的研究框架。该框架系统地给出了flow spectrum(流量光谱)及其变换空间的定义,并通过建立network flow feature matrix(网络流量特征矩阵)及flow spectrum transformation(流量光谱转换)的数学表示方法,在可分离性和表征能力的基础上构建了相应的评估体系。通过对实际网络流量数据进行基本可行性的验证分析并取得了初步成果:该理论首次实现了在网络威胁特征提取方面的可行性应用验证。这一创新性探索不仅拓展了网络安全研究的新视角,在对抗性思维指导下的 network security 研究方面也提供了新的解决方案参考
内容目录:
1 对抗防御及当前安全问题描述
2 网络流智能监测技术综述
2.1 基于模型及方法创新的网络流监测研究
2.2 基于特定应用场景的网络流监测研究
2.3 基于学习方式的网络流监测研究
2.4 公开科学问题分析
3 流谱理论提出
3.1 流谱定义及变换域空间
3.2 网络流特征矩阵
3.3 流谱变换
4 面向流谱变换的指标评估体系
5 流谱理论在对抗防御中的可行性验证
作为网络强国而言
当前针对网络流的主要分析手段是对流动数据的原始分布进行深入探究。通常将具有相同五元组定义的一条特定网络流作为研究对象对象,在单次网络连接传输过程中一条特定的网络流由多个独立的数据包构成。如果该流量特征或统计指标与大部分背景流量存在显著差异则可判定其为异常流量;反之如果其分布特征或行为模式符合先验知识则可以通过现有模型进行有效识别处理可以看到现有的方法主要集中在基于时空域空间的流量分布特性分析若在时空域上无法充分揭示流量的分离特性和行为表征性则基于时序训练的学习模型难以达到预期的效果亟待加强基础理论研究并提出新的理论框架来系统表征和分析各类复杂流动行为特别是在大带宽小样本频演化以及加密条件下威胁检测方面面临诸多技术难题
我们坚信,在现有的防御体系上运用对抗性思维对网络空间防御进行审视,并提出"流谱"这一概念。其定义如下:在网络空间中可观测的复杂网络流按照特定的时域至变换域映射方法能够分解为可辨识、可解析以及可计算的特征集合称之为网络流谱简称流谱。具体而言,在网络空间防御应用领域"流谱"概念则具体化为"行为谱"即以网络行为作为表征向量所形成的特征集合。若将网络正常行为作为基准则可以直接推导出对应的"威胁谱"从而建立有效的网络安全威胁分析框架。
具体来说,本研究聚焦于网络空间防御中的智能检测技术和流谱空间中的表征技术,其研究架构如下:首先阐述对抗防御理念并深入探讨其实质;其次,系统地从方法论、应用场景以及应用效果等维度对现有网络流智能检测技术的发展现状展开比较分析;接着构建流谱基础理论体系,明确提出了相关的定义,并以数学形式给出了相应的表达式;随后基于可分离性和表征性的特性展开讨论,建立了指标评估体系;最后以公开可用的CICIDS2017数据集为实验平台进行了仿真实验验证;最后总结全文内容。
01对抗防御及当前安全问题描述
从安全机理的角度来看, 网络空间防御可被划分为内生防御、保护防御和对抗防御三种类型. 其中, 内生防御是指基于网络自身构造和运行机制所生成和发展出来的安全效应与能力, 以抵御并对抗网络威胁或破坏行为. 保护防御则是通过在网络空间中实施访问控制、入侵检测以及应急响应等手段, 来遏制并对抗可能存在的网络空间威胁或破坏行为. 对抗性防御则是在网络安全事件发生时, 采取发现威胁源、定位攻击位置、追溯攻击链路来源、发出预警信息并采取处置措施, 同时对敌方可能发起的攻击或通过网络空间引发的威胁进行有效遏制与反击的一系列防护手段与行动. 特别是针对国家级及以上的集中式高隐蔽性攻击威胁, 对抗性防御具有显著的优势: 首先能够快速识别敌方意图并实施精准拦截; 其次具备强大的多层次防护体系; 最后能够提供完整的事件分析报告作为溯源依据.
(1)非协作型或部分协作型防护策略。其中,“协作程度”特指参与防护过程中的主动配合水平。就当前情况而言,在政策环境、体制架构及思维方式等多方面的制约因素下,“主动提供”相应的技术保障和支持显得力不从心;而过分强调“主动提供”相关保障措施,则可能会影响防护主体在常规业务活动中的正常运行。因此,在实际操作中,在网络空间中实施非协作型或部分协作型防护策略时,“数量庞大的”被动应对措施可能会占据主导地位。这是建立对抗性国防理论体系的基础性认知观点。
(2)可对网络空间的状态进行观测。在弱化合作和完全非合作的环境下展开对抗防御行动,则必须掌握这一领域的状态信息;实现有效感知与数据处理的关键在于:应在现有的监测框架内提出一种新型的数据采集与分析方法,在线获取并处理海量的空间数据流。
(3)被纳入网络空间防御庞大的系统架构之中。面对新型威胁时出现的新型防御思维和策略是一种全新的防护理念,在应对新型威胁的过程中自然发展和完善出来,并在原有防护架构的基础上进行补充和完善,在应对新型威胁中形成合力
因此,在网络空间中需要构建健全的对抗防御体系,并对网络攻击、威胁事件以及恶意行为进行分类识别,在低协作环境下实现异常行为检测。
02网络流智能监测技术综述
当前多种机器学习深度学习技术和统计分析方法被广泛应用于开发各种入侵检测系统以保障网络安全基于研究关注的不同焦点现有研究大致可分为三种类型第一类关注于改进模型或算法设计以提高数据分类精度和检测效能第二类则聚焦于特定应用场景的优化与研究包括小样本检测非平衡数据处理网络流数据增强以及特征提取与筛选等技术手段第三类主要探讨采用无监督半监督自监督等非传统监督式方法进行入侵检测的技术方案并详细内容可参考表格1
表 1 现有网络流监测研究工作汇总

续表

注:带 * 具有物联网等特殊应用特点,带 # 为多次测试的平均结果。
2.1 基于模型及方法创新的网络流监测研究
针对网络流检测技术的关注点及其创新方法的研究往往基于模型结构的设计理念,在这一领域内对现有的机器学习和深度学习算法进行了改进工作,并通过系统性的优化策略实现了性能提升旨在增强模型的鲁棒性和泛化能力,并最终实现了检测性能与精度的显著提升
Yin 等人基于递归神经网络构建的入侵检测系统,在二元分类和多元分类任务中展现出明显优势,较传统分类方法取得了显著提升,在入侵检测领域提供了新的研究思路。Wang 等人则首次将端到端方法应用于加密网络流量的分类域,并提出了一种基于一维卷积神经网络架构(One-Dimensional Convolutional Neural Network, 1D-CNN)的端到端加密网络流分类模型,在公开数据集上进行了有效性验证。
文献 [3] 和文献 [4] 利用支持向量机和贝叶斯等 方法,对支持向量机的参数进行优化, 提高了 异常检测的精度和准确度。文献 [5] 和文献 [6] 通过深度学习的方法提升了入侵检测的准确 性。Waskle 等人 提出了一种利用主成分分析 和随机森林分类算法来开发高效入侵检测系统 (Intrusion Detection System,IDS) 的 方 法。其 中,主成分分析(Principal Component Analysis, PCA)将通过减少数据集的维数来帮助组织数 据集,可以获得更高的精度。Bassene 等人 设 计了基于图的物联网流分类方法(Group-based Internet of Things Classification,GBC-IoT), 能 够通过网络流分析识别连接的物联网设备,处理 开销更小,准确率更高。Kwon 等人 给出了基于深度神经网络(Deep Neural Network,DNN) 的网络数据自动分类的初步结果,验证了 DNN 对网络数据分类的潜在有效性。文献 [10] 和文 献 [11] 分别提出了基于稀疏自编码的随机森林 检 测 方 法 和 优 化 卷 积 神 经 网 络(Convolutional Neural Network,CNN) 和分层多尺度长短期记 忆网络(Long Short-Term Memory,LSTM) 统一 模型,提高了检测的准确率。
基于模型及方法的网络监测系统普遍展现出较高的分类准确率和召回率等分类评估指标的结果。然而,在实际应用中仍面临资源消耗过高、模型存在过拟合现象以及应用场景受限等挑战。例如,Yin等人所提出的递归神经网络架构需要较长的训练时长,通过GPU加速技术才能有效降低训练成本;而文献[3]和文献[4]在确定支持向量机参数时需要进行大量迭代计算,这些方法在应用于不同场景时往往缺乏良好的可迁移性,并且对数据的需求较为严格,导致其可迁移性的提升空间有限
2.2 基于特定应用场景的网络流监测研究
基于现有研究的方法在特定数据集和应用场景中表现良好,在处理大规模网络流量时存在局限性。鉴于此,在针对特定场景及应用问题的研究领域中也衍生出了相关工作。
有研究对物联网网络流进行了深入分析,并提出了包括新型网络流分类技术(Network Traffic Classification, NTC)、改进型合成少数类技术(Synthetic Minority Over-sampling Technique, SMOTE)以及进化型神经网络模型(Evolutionary Neural Networks, ENN)等在内的多项创新性解决方案,在经过数据集测试后发现这些方法显著提升了检测准确率和精确度。针对网络流分类问题,在经过深入研究后提出了一系列创新性技术方案:包括基于分组字节构建的两层结构卷积神经网络、采用PERT框架实现的任务评估机制、利用Mininet平台搭建的简单网络拓扑仿真框架、基于虚拟连接构建的智能系统原型、深度学习优化算法以及二值化分类方法等;所有方法均经过实际测试并取得了优异的结果,在相关数据集上的准确率均保持在较高水平以上。Xu等人提出了一种基于混合深度神经网络的新LDoS攻击检测方法;实验表明该方法仅需对流量进行时间统计即可实现波动HTTP流量下的LDoS攻击有效检测;同时Raikar实现了对网络资源进行自动化的管理以减少人工流量表征与分析干预的影响
针对不同应用场景分析,
网络流监测模型及方法在实验仿真环境中均展现出良好的分类能力,
然而,在实际应用场景中的表现仍需进一步优化。
上述方法大多是在实验室环境下基于公共数据集进行验证与测试,
对于其在真实应用场景的表现尚不明确。
例如,Zhou等人明确指出面对更加复杂的应用环境,
需要在真实场景中进行进一步的测试与调整。
如Yu等人所述,
某些特定类型的低频攻击在实际场景中可能导致更大的威胁,
目前大部分检测方法对此类攻击的处理效果仍有待提升
2.3 基于学习方式的网络流监测研究
网络流精准检测主要依赖于丰富的先验知识。这使得需要收集大量的标注数据才能获得较好的识别效果。因此,许多研究者纷纷采用无监督、半监督和自监督等非全 supervision学习方法来处理对数据流的监控分析
文献 [22]、文献 [23] 和文献 [24] 分别各自提出了一种半监督方案;这些方案可以根据协议、应用程序和攻击类型等角度对网络流量进行检测与分类。Yang 等人将改进的条件变分自编码器(ICVAE)与深度神经网络相结合;该方法在少数攻击和未知攻击场景下表现优异,在检测率方面具有显著优势。此外,在文献 [26]、文献 [27] 和文献 [28] 中也提出了多种基于卷积神经网络的有效载荷分类方法以及基于递归神经网络的另一种分类方法;同时还有DeepMAL模型和无监督学习聚类方法BiGkmeans;这些方法无需依赖特征方程或专家的手工干预即可实现高效的网络入侵检测功能。此外有研究分别采用了基于信息增益的轻量级网络IDS、基于相似度计算的模糊熵加权K-近邻(KNN)算法以及深度神经网络等多种技术;通过有监督学习方式对网络流量进行分类;从而显著提升了网络入侵检测的准确性与可靠性。另外还有基于关联分析技术的深度神经网络模型以及并行网中网模型等;通过结合多种深度学习算法实现了更加精准的网络攻击行为识别功能。此外还有基于深度聚类算法与BIRCH聚类算法相结合的方法;以及深度学习技术与其他深度学习模型融合的应用;这些创新性研究进一步推动了网络安全领域对复杂网络攻击行为的智能化识别能力
基于网络流量特征分析了有监督、半监督和无监督学习的不同模式。在模型训练过程中需对数据集进行严格测试与验证。为了提高分类效果,在模型训练阶段需对数据集进行严格测试与验证。为了提高分类效果,在模型训练阶段需对数据集进行严格测试与验证。为了提高分类效果,在模型训练阶段需对数据集进行严格测试与验证。为了提高分类效果,在模型训练阶段需对数据集进行严格测试与验证. 在该过程中, 需要对数 据集进行测试和验证,要求模型采用的数据集 尽可能完善,包含所有的攻击类型,这将直接 影响其分类效果.然而,当前面临的主要挑战是获取高质量、全面的数据集较为困难.在模型测试中,研究者如Li等(参考文献[34])以及Yang等均采用了多样化的数据集来训练与测试其模型.然而,全面数据集的构建往往需要大量的人力物力投入以及专业的技术支持.此外,现有的NSL-KDD数据库虽然较为完善,但在某些领域仍显不足.尽管如此,构建一个全面的数据库仍面临诸多技术难题.
基于当前研究内容与方法的探索可知,在处理网络流数据时相较于图像、语音等其他类型的数据需要展现更高的理解深度;不仅要求具备更强的数据表征能力以及泛化性能,在刻画特定行为模式方面也具有更高的技术需求;这些特点共同构成了开发新型网络流表征与监控方案的技术挑战。
2.4 公开科学问题分析
作为网络安全防护的核心环节之一, 网络流威胁检测不仅关乎网络安全事件的及时识别, 更为重要的在于其对于网络安全态势感知的能力提升. 其中, 对网络流量特征的精准表征构成了威胁检测的基础. 具有高区分度和强代表性特征的网络行为在分类分析中发挥着基础作用. 基于规则模型构建的方法在数据复杂性处理上存在明显局限性. 针对当前主流的智能监测系统展开分析研究发现, 当前一些智能化监测技术虽然能在特定数据集上展现出色表现, 但在原始数据流量上的优化改进效果较为有限. 因此, 本文将重点探索从频域与空频域变换域的角度出发, 建立新的理论框架——流谱理论, 以实现更深层次的流量特征刻画. 该理论框架将围绕以下三个科学问题提供解决方案: (1) 构建不同威胁行为下的统一化特征模板体系, 面对多变场景下的复杂威胁形态;(2) 提升多场景应用中的表征矩阵构建能力, 实现从本质层面更全面的理解与表征;(3) 建立新型的行为检测分类策略, 减少对训练数据依赖的同时又能有效降低标注需求.
03流谱理论提出
3.1 流谱定义及变换域空间
在网络安全领域中,可通过某种时域到变换域的映射方法实现对可观测复杂网络流特征的提取与分析。这些特征能够被分解为相互独立且具有明确意义的部分,并通过数学模型进行描述和计算操作所形成的集合体系被称为网 络流谱(Spectrum of Network Flow),简称为流 谱(Flow Spectrum)。其中的具体表现形式即为 行为谱(Behavior Spectrum),它基于正常网 络行为作为基准线来识别出异常网 络行为的表现形式和威胁模式(Threat Spectrum)。在构建这一空间体系时,则需要考虑到如何将原始数据中的网 络 流信息映射至新的变换空间,并通过该空间中的分析手段揭示更加本质性的网 络 空间行为特性。基于上述理论框架,则能够对网 络 行为谱和威胁谱进行系统化的建模和刻画
通常称为数域。它是一个由复数组成的集合系统,并且特别地包含数字0和1。这个集合满足以下性质:任意两个元素相加、相减、相乘以及相除(除数不为零)后得到的结果仍属于该集合。常见的实例包括复数集、实数集以及有理数集等基本数系。基于此概念,在理论研究中衍生出许多其他类型的代数系统。
在实际应用领域中,则广泛应用于多个科学工程分支中。
例如:
- 用于分析物理信号随时间变化特性的时频分析域;
- 用于描述图像空间分布特征的空间频域分析;
- 用于研究信号频率特性变化规律的技术研究领域;
- 进一步发展出综合时空信息处理的相关理论体系。
本研究团队开发了一种新的网络流特征表达方法,并在此基础上构建了完整的时频空间分析模型。

图 1 流谱理论中的网络流分析域变换框架
网络流通常由若干网络包构成,在信息处理领域中它与信号、光和图像的表现存在显著差异,并且在此处我们定义了网络流的基本空间形式——原域空间(D)。该空间代表了网络流的基本表现形式;而流谱空间则为其原始形态经过特定变换后的结果区域(F)。值得注意的是,在这种变换下,我们不仅能够揭示数据的本质特征(f_1, f_2, \dots, f_n),还能对其在不同维度下的分布特性进行分析(t, x, y等维度)。针对各种复杂的网络安全威胁(如t_1, t_2,\dots,t_m)以及攻击行为(如a_1,a_2,\dots,a_p),本文提出的流谱空间转换方法能够有效地提取关键特征信息;具体而言,在时间维度上对其进行分析(对应输入f(t)),并在二维空域上进行研究(对应输入f(x,y))。通过这种多维度的空间转换分析方法(如图2所示),我们可以全面把握数据的本质特征。
表 2 流谱空间变换描述

其中,
f(t) 代表网络流时间特征的一维向量,
f(x,y) 表示网络流空域特征矩阵,
r(t,v) 和 r(x,y,u,v) 为正变换核函数,
s(x,y,u,v) 为反变换核函数,
t 表示网络流特征的时间序列变化,
v 是变换域上的映射序列,
N 是离散时间序列的最大数目。
基于 f(x,y) 的正变换定义为 T(u,v)=\mathcal{F}\{f(x,y)\},
一旦获得 T(u,v) 后,
即可利用其反变换公式 \mathcal{F}^{-1}\{T(u,v)\} 来恢复原函数 f(x,y)。
在此基础上, 其结果即可实现不同情况下的网络流在原域空间到变换域空间的转换过程; 如果存在这样的场景:

则变换过程是可分的,同时,如果有:

那么变换过程就是对称的。
3.2 网络流特征矩阵
经过对网络流数据的清洗和切片等预处理步骤,在此基础上针对不同类型的攻击手段进行特征分析,并最终实现了对网络威胁特征矩阵F的构建过程。
针对攻击手段矩阵a而言:为了实现该矩阵的设计目标,在完成网络威胁分类分析的基础上, 建立相应的行向量结构. 将涉及的关键 attack 策略标记为1, 并设置其他未涉及策略为0, 则能够生成该矩阵对应的 attack 向量a.
其次,在分析阶段中进行攻击技术和策略的关联性分析,并在此基础上构建相应的攻击技术矩阵结构。通过参照《攻击战术》和《攻击技术表》两张表格信息进行对比分析工作,在系统中对所有涉及的技术参数赋值标记为"1"(即标记其存在),而对于那些未被包含在内的影响参数则赋值标记为"0"(即排除其影响),最终即可获得完整的系统输出结果——即获得最终确定的结果矩阵t
通过对收集到的数据集 进行分析研究,在每一阶段中系统性地识别出网络流量中的五元组、包大小及持续时间特征,并对这些特征进行标准化处理。随后通过建立完整的数据清洗模型,在这一过程中剔除非关键信息,并对剩余数据按照预设的时间粒度进行分阶段处理。在每一阶段结束后会生成一个独立的原子攻击行为特征集合,并将这些特征集合整合成完整的网络流特征矩阵 s。最后通过建立统一的时间划分标准,在整个数据集中生成一个完整的时序特征矩阵 s,在此过程中观察各个时间段内的熵变情况等指标变化趋势,并据此提取出相应的威胁行为特征序列。
整合了攻击战术行向量 α 以及与 该技术相关的 攻击技术 矩阵 t 和 网络流 特征 矩阵 s,并基于 网络威胁 表征 矩阵 的 计算 公式 构建 最终 的 目标 矩阵。

上述求解过程中,在a·t中t表示网络安全事件与其应对策略之间的关联程度,在s中s则体现网络安全事件与执行行为之间的关系,在F中F用于表征网络安全事件的技术特征。为了实现网络安全事件与应对策略的有效关联,在现有可扩展性技术库的基础上建立一个能够关联攻击战术与技术手段的模型。通过分析现有的可扩展性技术库中的数据信息并结合动态变化的安全事件属性,在构建基于映射关系的技术特征矩阵时实现了对安全事件特性的精准描述。通过逐步构建该矩阵不仅能够实现对安全事件特性的精准描述而且能有效识别出不同安全事件间的共同特性以及它们所具有的独特属性。综合以上分析后得出的结果表明该方法能够全面而细致地反映网络安全事件所具有的多种特性以及这些特性所对应的响应策略
3.3 流谱变换
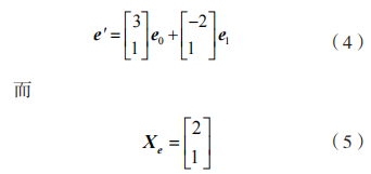
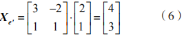
首先阐述流谱转换的具体步骤与原理。设在原始数据域中存在一个网络流特征向量X_e,在当前的空间域内通过平移、翻转或其他形式的操作将该特征映射至一个新的子域中,在该新子域内此特征被标识为X_e'。则称该映射过程为基底转换。进一步地,在变换后的子域中对应的基底向量E’可以用原始二维数据域中的基本单位E来描述:

则可以通过基向量的映射关系,求得:

该变换过程可通过(公式)来表达;它涵盖了从原空间至变换域的空间映射过程,并可被称作从原域到变换域的转换矩阵。这表明,在二维空间中进行某种特定类型的线性变化时,我们可以通过相应的(公式)来进行描述和计算。其中的核心概念是将原始数据分解为两个基向量所构成的系数集合(即所谓的系数矩阵或特征表征矩阵)。
同理

其中, pi 被视为一行向量, 表示在新变换域空间中的第 i 个基向量; qj 组成了原始矩阵中的列向量. 这样一来, 在新的变换域空间中完成了一个从原始域到目标域的转换过程, 矩阵 F 就实现了式 (8) 所描述的关系.

该算法的核心在于利用乘法运算实现矩阵在线性空间中的映射关系,在原域空间中定义一个矩阵M∈ℝ^{n×n}时, 可分解为n个列向量的集合{v₁, v₂, ..., vₙ}⊂ℝⁿ。这种情况下, 矩阵的变换映射实质上是将每个基向量v_i独立地施加到新的基底空间E'中进行转换操作: T(v_i) = Σ_{j=1}^m a_ij w_j ∈E', 其中w_j∈ℝ^m是目标空间E'的标准基向量, 而a_ij ∈ℝ表示新的线性变换关系系数。对于任意一个网络流(以矩阵形式表示)都能在另一个空间中得到表示; 但在更为复杂的情形下, 需要引入一个新的线性算子K∈ℝ^{m×n}, 这种情况下原始的空间关系将被重新定义为K·M∈ℝ^{m×n}的形式, 从而建立两个不同维度信号之间的映射关联。

其中F代表原始网络流特征矩阵,在新空间S上的一组基由Score表示。S即为该矩阵在变换域中的系数矩阵。通过系数矩阵可实现对其原域空间行为的描述与刻画。
在现有网络流监测研究领域中,在时频变换方面的研究占据主导地位的是时域变换相关的技术。当采用卷积神经网络进行网络流状态感知时,在多数情况下会基于二维时域空间展开特征提取工作,并依赖于二维卷积核来捕获数据特征信息。文献[20]提出了一种分层特征提取架构:第一层通过多通道卷积池模块从分组数据中提取基础特征;第二层则采用单个二维卷积核在包维度上执行滑动操作以获取包级别的特征表示。文献[26]则提出了一个高效的载荷分类方法:该模型由三层卷积结构构成,在原始数据输入下依次完成底层特征、高级特征以及精细特征的提取过程;其中第一层卷积模块负责从输入信号中提取初始层次的信息;第二层逐渐减小卷积核尺寸以聚焦于更高层次的抽象特征;第三层再次优化卷积核尺寸以进一步提炼细节层面的信息特性。由此可见,在不同深度的卷积过程中均采用了尺寸各异的二维卷积组件来实现逐层特性的逐步细化提取
04面向流谱变换的指标评估体系
在流程构建过程中涉及变换映射时,为了建立一套合理有效的评估体系,确保该过程的可靠性,从而进一步提高其表征能力,同时能够减少冗余信息。本节将深入探讨该理论指标评价体系的设计与优化,主要从可分离性和表征性两个方面展开讨论
可分离性表征了拓扑空间中任意点及其子集之间可通过不相交开集进行区分的程度。在流谱理论研究中,则聚焦于基底表征矩阵的可分离性问题,并将其划分为数据导向型与结果导向型两大类研究方向。
基于数据的可分离性方面展开讨论:对于高维数据集而言,在经过维度缩减处理后将其映射至更低维度的空间中进行分析会更加直观。这种属性可以从两个维度来进行考量:首先,在同一类别内部的数据点应尽可能靠近(即类内距离最小化);其次,在不同类别之间应尽量远离(即类间距离最大化)。为了衡量这些特征在空间中的分布程度,则可以通过编码长度公式来进行评估。具体而言,请参阅表 3 的相关内容。其中,A 和 B 代表任意两点,并且它们的位置坐标分别为A(x₁, y₁)和B(x₂, y₂)。
表 3 常见编码长度测量方法

基于结果的可分离属性:基于结果的可分离属性是指将基底矩阵数据输入到单层感知机、循环网络等可分类网络中,并通过精确率与准确率等度量指标从分类结果中评估数据是否存在可分性。其中常见的分类度量指标如表 4 所示。
表 4 常见分类度量指标

其中,在分类系统中TP代表的是被正确识别为正类的实际正例数量。FP则衡量了那些实际为负类但被错误分类为正类的数据量。FN则记录了那些实际应为正类却被错误地划分为负类的情况。TN则代表着那些真实属于负类并且被正确识别出来的样本数量。
该方法中的精确度(Precision)用于衡量基于向量化处理后的特征集合中被正确识别为正类样本的比例。而召回度(Recall)则是计算原始数据集中所有真实存在的正类样本在经过特征提取和向量化处理后仍能被正确识别的概率。分类器的有效性可通过准确度(Accuracy)指标来评估,在测试数据集上对所有样本进行正确分类的数量与总样本数量之间的比例即为准确度指标值。F1分数则综合考虑了精确度与召回度两者的平衡关系。
在机器学习与深度学习领域中常用作评估指标的有精确率、召回率以及准确率。Anish等人[4]对比了入侵检测系统在采用不同分类方法时的检测性能,并采用了准确率作为评价标准。分析结果表明,在识别恶意网络流量方面支持向量机(Support Vector Machines, SVM)的表现优于朴素贝叶斯算法。Bendiab等人则提出了一种新的物联网恶意软件流量分析方法。
在流谱理论框架下展开研究时, 基底矩阵的分 离效果能够显著地制约空域维度对网络流行为 的表征能力, 这一发现具有重要的理论意义. 通过分 离结果分析, 可以将基底矩阵输入至分类模型, 并根 据精确度指标(包括精确率、召回率)、完整度指 标(涉及准确率)以及平衡性指标(F1得分)等 多维度评估标准综合考量系统的可分隔性特征.
(2)表征性:特性是指在将原始数据转变为目标数据的过程中,目标数据有助于分析和利用的便捷程度。
流谱理论主要通过将网络空间中的"流"从"时域" 转换到"频域"来研究不同类型的行为特征,在新的表示形式即"谱"中进行抽象和分类工作。这种分析方法能够实现对网络流量的系统性观测与深入解析,在这一转换过程中, 流谱空间中的信息特征表现会直接影响到各类行为归类的准确性, 进而需要综合评估这些特征是否能够被清晰理解和用直观的方法加以解释, 这种可解释性的高低直接决定了特征表现的质量
从机器学习算法的角度来看,在构建过程中可以将其视为一种隐式机制。训练数据经由该隐式机制输入后,在内部生成相应的函数或数学表达式(即构建了相应的数学表达式)。当输入新的测试样本时,在此生成的功能中获得相应的预测结果。对于提升其可解释性而言,则可以通过引入特定辅助工具或框架。这些辅助工具或框架能够帮助我们更好地理解原始复杂的行为模式,并通过引入特定辅助工具或框架的方式,在这一过程中完成对原始机制的关键解读工作。从而构建了一套完整的性能评估体系,请参考表 5 的具体说明部分。
表 5 常见可解释评估方法

a(i)表示为样本i与其同类别的其余样本间的均值距离,
b(i)代表了样本i与其他类别中所有样本之间的均值间距,
在过拟合情况下的交叉验证代价函数定义为Jcv(θ),
而测试集上的代价函数则定义为Jtrain(θ),
其中M代表基于树模型分析中的决策树数量。
05流谱理论在对抗防御中的可行性验证
在网络安全数据集上, 首先验证了流谱理论在特定场景下的有效性. 具体而言, 在实验中, 选取了不同类型的网络流量数据集, 并进行了相应的映射分析.
通过采用可行性分析的方法验证利用流谱理论构建网络安全系统的有效性。 数据集中包含了常见的恶意网络流量,并以PCAP包的形式存储。这些攻击涵盖了 brute-force attacks on FTP, brute-force attacks on SSH, DoS攻击, Heartbleed漏洞, Web 攻击, 内鬼入侵,僵尸网络以及DDoS事件。每个样本数据包含超过80个详细特征信息。
基于优化目标的角度,在划分后的训练数据集上明确构建多层映射网络,并通过正面构建可解释性模型,并将原始特征投射至新的变换空间中;经过500次迭代运算后完成整个算法流程。
完成多层映射网络模型之后, 将特征矩阵映射至新的变换域中, 其可分程度呈现显著增强趋势, 如图 2 所示.

图 2 流谱热力图
在原始热力图中描绘了各类别间流动关系的不同程度,在应用流谱同构映射后各类别间流动关系强度得到显著降低(仅在图2所示对角线上仍存在同类间相关性)。该模型基于优化目标导向通过显著提升异类间间距并缩小同类内距离等方式实现了网络流量特征向量分布于一个相互独立的子空间,在此空间中各类型流动呈现极低的相关性状态。本研究工作不仅验证了流谱理论在原始数据域的基本变换特性也为后续频域及时空频域变换研究奠定了基础。此外还就该方法的应用可行性进行了探讨并明确了未来主要研究方向:
(1)完成网络流在时域上的特征提取,并生成相应的特征向量或矩阵。(2)对特征矩阵进行空域映射,并确定一组空域变换基底矩阵。同时评估基底的表征性并分析其正交性和完备性。(3)研究时频转换理论中的一维与二维空间转换模型及其应用。详细阐述傅里叶、拉普拉斯和小波变换的性质及其在流谱空间中的有效性。(4)基于群论框架下的代数结构分析方法,在研究流谱理论的基本性质。
06结 语
面对错综复杂的网络环境,在流谱理论框架下致力于构建全新的防御视角,并聚焦于发展类平行空间的视角维度。该理论旨在实现对网络空间威胁的全流程智能监测与表征。具体而言:首先依据攻击类型对网络威胁进行科学分类,并通过矩阵化方法将特征相互关联起来以建立映射关系;其次从原子攻击行为、文本内容特征、网络流统计特征及协议连接特征四个维度深入解析网络威胁的技术表征特性,并完成相关技术指标矩阵的构建;在此基础上任意攻击均可表征为攻击战术行向量与技术矩阵等多维表征信息的综合体现;通过流谱理论中的矩阵运算得到完整的威胁表征结果并实现可视化展示;最后在完成网络流行为表征后对时域、空域、频域及空频域等多维空间进行变换映射并将威胁行为映射至流谱空间中以提升表征效果并完成目标威胁与攻击行为模板刻画以满足不同场景下的实时监测需求
未来工作主要包括以下几方面:首先,在未知协议领域进行探索与实践研究,在真实对抗场景下构建基于流谱特征关联分析的体系框架,并显著提升流谱理论的应用效能;其次,在复杂安全协议领域展开深入研究,在实际应用中推进流谱实例化建设,在具体威胁案例中制定威胁检测模板,并系统刻画其特征重要性、威胁演化脉络及热力分布;最后,在理论验证层面持续深化研究能力,在典型网络空间防御应用场景下完善流谱理论验证平台,并通过对比实验验证现有模型的有效性与先进性
